Numerical Study Regarding the Seismic Response of a Moment-Resisting (MR) Reinforced Concrete (RC) Frame Structure with Reduced Cross-Sections of the RC Slabs
Abstract
1. Introduction
2. Methodology
- The research and the presentation of the issues regarding the non-ductile mechanism developed by reinforced concrete frame structures which undergo dynamic loading;
- The registering and the presentation of the local seismic energy dissipation mechanisms, which appear in the lateral elements of the said type of structural system, and the highlighting of the rigidization effect of the RC beams upon the RC slab;
- The development and the presentation of a possible solution for the concentration of plastic deformations in the marginal areas of the beams and the corner areas of the slabs, by means of reducing the transversal section of the slabs;
- The analytical (numerical) validation of the proposed solution.
3. Pushover Analysis of the GF + 1F Moment-Resisting (MR) Reinforced Concrete (RC) Frame Model
3.1. General Aspects
| NSC | CSC | LSRT | TSRT | LSR RC C [CS:15 × 15 cm] | LSR RC LB [CS:15 × 20 cm] | LSR RC TB [CS:15 × 20 cm] | TSR RC C | TSR RC LB and TB | R RC S [hs = 7 cm] | GR |
|---|---|---|---|---|---|---|---|---|---|---|
| K_7 | C20/25 | Bst 500S | Bst 500M | 4ϕ14 | 4ϕ8 | 4ϕ8 | 1ϕ4/1 CS | 1ϕ4/1 CS | ϕ6 | Figure 1b |
| K_7_S_2 | Figure 2(a2) | |||||||||
| K_7_S_1 | Figure 2(b2) | |||||||||
| K_7_S_B_1 | Figure 2(c2) |

3.2. Input Data Considered in Research Study
- They should not compromise the structural integrity of the welded wire nets, therefore the holes are placed in-between the wires;
- They should be emplaced at a minimum distance from the reinforced concrete frame nodes and columns. Said distance was established taking into account the first gaps in the welded wire nets, which could be found outside of the beam–column frame node;
4. Analytical Results and Complementary Comments
4.1. Analytical Results
| NSC | Fu [kN] | du [m] | F*y [kN] | d*y [m] | SPO CB | TSE (CF) | TSE (TF) | GR TSE (CF/TF) | PFSM | GR PFSM |
|---|---|---|---|---|---|---|---|---|---|---|
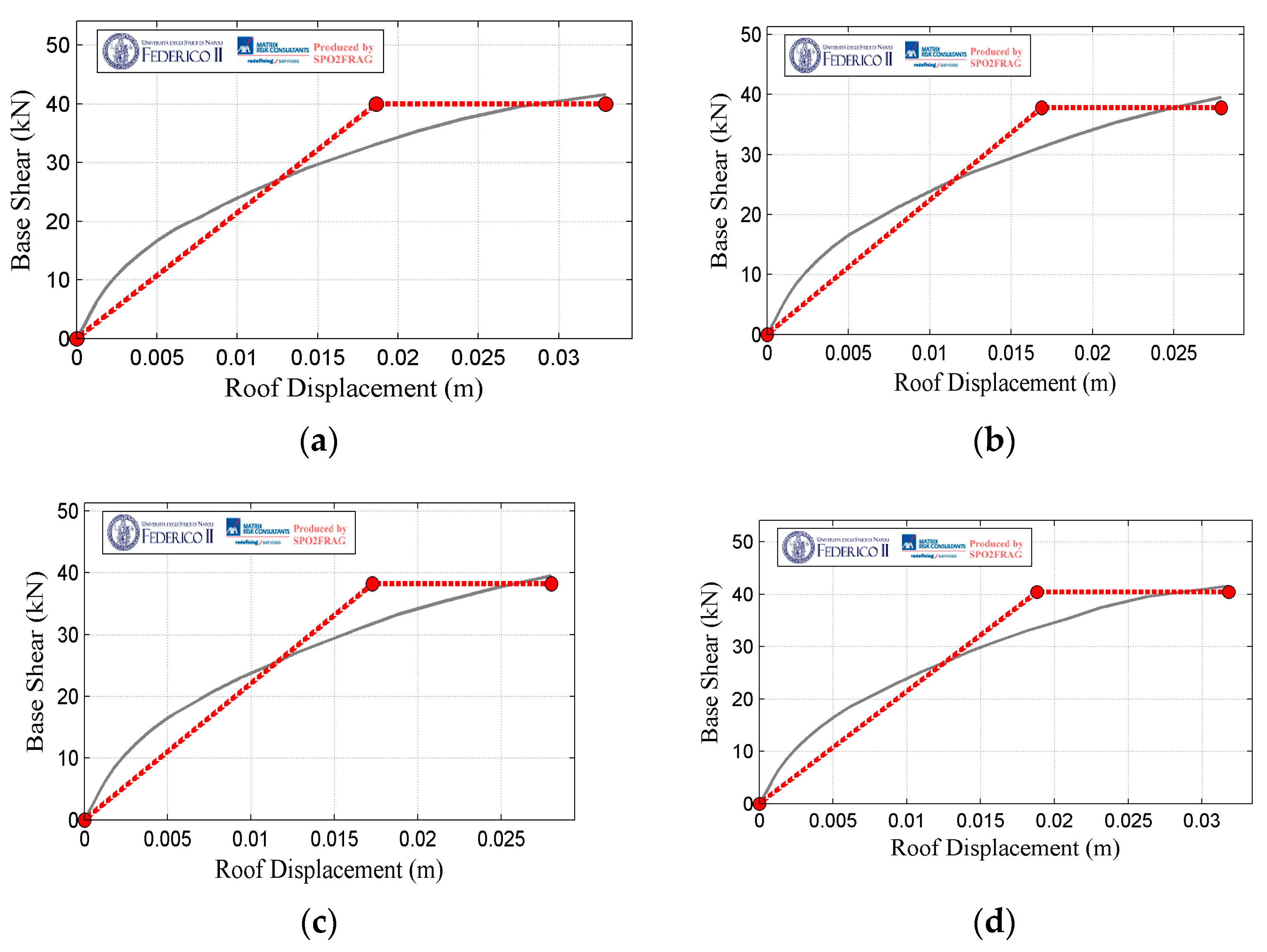
| K_7 | 41.575 | 0.03288 | 40 | 0.0187 | Figure 4a | 0.002789 | 0.006118 | Figure 5(a5),(a6) | 0.0413 | Figure 5(a1)–(a4) |
| K_7_S_2 | 39.49625 | 0.02785 | 37.8 | 0.0169 | Figure 4b | 0.002267 | 0.003946 | Figure 5(b5),(b6) | 0.02573 | Figure 5(b1)–(b4) |
| K_7_S_1 | 39.49625 | 0.028 | 38.2 | 0.0173 | Figure 4c | 0.002295 | 0.003982 | Figure 5(c5),(c6) | 0.01905 | Figure 5(c1)–(c4) |
| K_7_S_B_1 | 41.575 | 0.03179 | 40.4 | 0.0188 | Figure 4d | 0.002693 | 0.00576 | Figure 5(d5),(d6) | 0.02913 | Figure 5(d1)–(d4) |








4.2. Complementary Comments
- A reduction in the bending stiffness of the reinforced concrete slabs transversally drilled in the corner areas was registered; thus, a partial rotation of the beams was possible, together with their deformation in the marginal zones (see Figure 5(b3),(b4),(c3),(c4));
- Active cracking was registered for an important surface in the reinforced concrete slabs (transversally drilled in the corner areas), in the long and especially in the short direction of the structure;
- The cracking length of the reinforced concrete plates (transversally drilled in the corner areas) in the long direction of the structure establishes the deformation length of the longitudinal beams, as well as the value Lpl;
- The cracking length of the reinforced concrete slabs (transversally drilled in the corner areas) in the short direction of the structure establishes the deformation length of the transversal beams, as well as the value Lpl; they deform intensively, actively participating in the rotation of the longitudinal beams, forming a common body together with them;
- The beam–column frame joint actively contributes to the dissipation of the seismic energy, through intensive deformation. A conservation mechanism for the said node can be observed for the K_7_S_1, K_7_S_2, and K_7_S_B_1 reinforced concrete frame models;
- The reinforced concrete beams actively contribute to the dissipation of the seismic energy for the K_7_S_1, K_7_S_2, and K_7_S_B_1 reinforced concrete frame models. The transversal drilling (which translates to a mechanical weakening) in the corner areas of the plates (and in the marginal zones of the beams for the K_7_S_B_1 model) significantly reduces the bending stiffness influence of the plates upon the beams, which, nevertheless, form a common body with the plates and the beam–column frame nodes;
- The RC beams will rotate as much as the RC slab will rotate;
- The reinforced concrete columns actively contribute to the dissipation of the seismic energy for all the analytical models, but there is noted conservation of their deformation degree in the end zones for the K_7_S_1, K_7_S_2, and K_7_S_B_1 models;
- The maximum considered number of transversal holes in the corner zones of the RC slabs for the K_7_S_1 analytical model leads to the deformation and maximum rotation of the beams in the marginal areas;
- The maximum considered number of transversal holes in the corner zones of the RC slabs for the K_7_S_1 analytical model leads to the deformation, cracking, and maximum rotation of the plates, both in the weakened areas and in the remaining in-between areas, favoring the occurrence of deformations and the yielding of the reinforcement bars;
- The maximum considered number of transversal holes in the corner zones of the RC slabs for the K_7_S_1 leads to the partial conservation of the beam–column frame joint, which, for all the studied situations, forms a common body with the RC slab and RC beams;
- The maximum considered number of transversal holes in the corner zones of the RC plates for the K_7_S_1 leads to the partial conservation of the marginal zones of the reinforced concrete columns, which contribute to the dissipation of the seismic energy;
- “The curves represented in Figure 6, Figure 7 and Figure 8 prove the incapacity for a complete visualisation of the global seismic response mode of the structures and can even lead to the obtainment of wrong conclusions. Thus, by analyzing the bilinearised SPO curves from Figure 4, a conclusion that the unaffected model K_7 presents a global seismic response superior to the other analytical models may be reached” [28].
5. Conclusions
- The validation of the method for improving the global seismic response and the local seismic response by means of reducing the transversal section of the reinforced concrete slabs via vertical drilling in their corner areas was accomplished;
- The guiding and concentration of the principal fracture strains (PFSM) of the concrete in the marginal (“weakened”) areas of the slabs with a reduced section (through the employment of vertically drilled holes) was achieved;
- The migration of cracks from the marginal areas of the longitudinal beams to the transversal ones along the path of the corner zones of the drilled slabs was observed; as such, a partial “conservation” of the structural integrity of the beam–column frame node was attained;
- The intense cracking of the RC slabs in the in-between areas was observed;
- The imposing length of the plastic rotation of the beams by the deformation length of the reinforced concrete slabs was noted;
- The yielding of the reinforcement located in the tensed (end) areas of the longitudinal and transversal beams was observed;
- The cracking and intense deformation of the concrete in the marginal areas of the reinforced concrete beams was noted;
- The partial development of the ”beams-slab-frame nodes” common rigid block was achieved;
- The reduction of the influence of the bending stiffness of the slabs upon the reinforced concrete beams was achieved;
- The partial development of the marginal deformation zones of the reinforced concrete columns was detected;
- The development of a complex seismic energy dissipation mechanism, in which all the structural elements contribute to the plastic deformation (but which also has positive implications regarding the reduction in the deformability of the columns at the end areas and the partial conservation of the structural integrity of the beam–column frame nodes), was achieved.
Author Contributions
Funding
Institutional Review Board Statement
Informed Consent Statement
Data Availability Statement
Conflicts of Interest
References
- Mizushima, Y.; Kinoshita, T. Blind analysis on the shaking table test of a 7-story reinforced concrete building using a detailed finite element model. J. Build. Eng. 2022, 52, 104368. [Google Scholar] [CrossRef]
- Nagender, T.; Parulekar, Y.M.; Selvam, P.; Chattopadhyay, J. Experimental study and numerical simulation of seismic behaviour of corroded reinforced concrete frames. Structures 2022, 35, 1256–1269. [Google Scholar] [CrossRef]
- Colangelo, F. Effect of earthquake statistically correlated vertical component on inelastic demand to regular reinforced-concrete frames. Eng. Struct. 2020, 211, 110492. [Google Scholar] [CrossRef]
- Mkrtychev, O.V.; Busalova, M.S. Calculation of reinforced concrete structures with a set seismic stability level on an earthquake. Procedia Eng. 2016, 153, 475–482. [Google Scholar] [CrossRef][Green Version]
- Sococol, I.; Olteanu-Donțov, I.; Mihai, P.; Iftode, V.-I. Seismic response of ½ scaled two storey reinforced concrete moment resisting frame system using nonlinear static analysis, Computational Civil Engineering (CCE 2021). IOP Conf. Ser. Mater. Sci. Eng. 2021, 1141, 012009. [Google Scholar] [CrossRef]
- Sococol, I.; Mihai, P.; Toma, I.-O.; Venghiac, V.-M.; Olteanu-Dontov, I. Influence of Concrete Strength Class on the Plastic Hinges Location for a Reinforced Concrete Moment-Resisting Frame Structure with Consideration of the Horizontal Stiffening Effect of the Slab. Bull. Polytech. Inst. Jassy Constr. Archit. Sect. 2020, 66, 95–108. [Google Scholar]
- Sococol, I.; Mihai, P.; Toma, I.-O.; Venghiac, V.-M.; Olteanu-Dontov, I. Static Non-linear Analysis of an RC Moment Resisting Frame by Considering Different Values for the Longitudinal Reinforcement Ratio in the Columns. Bull. Polytech. Inst. Jassy Constr. Archit. Sect. 2020, 66, 91–106. [Google Scholar]
- Sococol, I.; Mihai, P.; Toma, I.-O.; Olteanu-Dontov, I.; Venghiac, V.-M. The Influence of the RC Beams Cross Section on the Dissipative Seismic Response of a Moment Resisting RC Frame System. Bull. Polytech. Inst. Jassy Constr. Archit. Sect. 2020, 66, 21–38. [Google Scholar]
- Sococol, I.; Petrescu, T.C.; Mihai, P.; Babor, D.T. Influence of the longitudinal steel ration in RC beams and steel reinforcement ration in RC slabs on the seismic energy dissipation mechanisms for a MR RC frame structure, Civil Engineering Conference (CEC 2022). IOP Conf. Ser. Mater. Sci. Eng. 2022. Unpublished results-pending publication. [Google Scholar]
- Baloevic, G.; Radnic, J.; Grgic, N.; Grubisic, I. Shake-table study on the effect of masonry infill on the seismic response of reinforced concrete frames. Soil Dyn. Earthq. Eng. 2022, 161, 107404. [Google Scholar] [CrossRef]
- Engineering Aspects of the 1971 San Fernando Earthquake; Building Science Series 40; U.S. Department of Commerce: Washington, DC, USA, 1971.
- An Investigation of the Miyagi-ken-oki, Japan, Earthquake of June 12, 1978; NBS Special Publication 592; U.S. Department of Commerce: Washington, DC, USA, 1980.
- The Imperial Valley, California, Earthquake of October 15, 1979; Geological Survey Professional Paper 1254; U.S. Government Printing Office: Washington, DC, USA,, 1982.
- 1994 Northridge Earthquake, Performance of Structures, Lifelines, and Fire Protection Systems; NIST Special Publication 862; U.S. Department of Commerce Technology Administration: Washington, DC, USA, 1994.
- The January 17, 1995 Hyogoken-Nanbu (Kobe) Earthquake; NIST Special Publication 901; U.S. Government Printing Office: Washington, DC, USA, 1996.
- The Aegean Earthquake and Tsunami of 30 October 2020; A Field Report; EEFIT (Earthquake Engineering Field Investigation Team): London, UK, 2021.
- Liu, Y.; Zhao, Z.; Cheng, X.; Li, Y.; Diao, M.; Sun, H. Experimental and numerical investigation of the progressive collapse of precast reinforced concrete frame substructures with wet connections. Eng. Struct. 2022, 256, 114010. [Google Scholar] [CrossRef]
- Kokot, S. Response spectrum of a reinforced concrete frame structure under various column removal scenarios. J. Build. Eng. 2022, 49, 103992. [Google Scholar] [CrossRef]
- Yu, D.-H.; Li, G.; Dong, Z.-Q.; Li, H.-N. A fast and accurate method for the seismic response analysis of reinforced concrete frame structures considering Beam-Column joint deformation. Eng. Struct. 2022, 251, 113401. [Google Scholar] [CrossRef]
- Perceka, W.; Djayaprabha, H.S.; Laurensia, C.; Wirawan, R.M. Seismic performance evaluation for 20-story RC special moment frame structure made of highly flowable-strain hardening fiber reinforced concrete (HF-SHFRC). Mater. Today Proc. 2022, 65, 983–987. [Google Scholar] [CrossRef]
- Rajeev, A.; Parsi, S.S.; Raman, S.N.; Ngo, T.; Shelke, A. Experimental and numerical investigation of an exterior reinforced concrete beam-column joint subjected to shock loading. Int. J. Impact Eng. 2020, 137, 103473. [Google Scholar] [CrossRef]
- Jiang, P.; Zheng, H.; Xiong, J.; Wen, P. Nonlinear elastic-plastic analysis of reinforced concrete column-steel beam connection by RBF-FD method. Eng. Anal. Bound. Elem. 2021, 128, 188–194. [Google Scholar] [CrossRef]
- Alavi-Dehkordi, S.; Mostofinejad, D.; Alaee, P. Effects of high-strength reinforcing bars and concrete on seismic behavior of RC beam-column joints. Eng. Struct. 2019, 183, 702–719. [Google Scholar] [CrossRef]
- Karthik, M.M.; Mander, J.B.; Hurlebaus, S. Simulating behaviour of large reinforced concrete beam-column joints subject to ASR/DEF deterioration and influence of corrosion. Eng. Struct. 2020, 222, 111064. [Google Scholar] [CrossRef]
- Allam, S.M.; Elbakry, H.M.F.; Arab, I.S.E. Exterior reinforced concrete beam column joint subjected to monotonic loading. Alex. Eng. J. 2018, 57, 4133–4144. [Google Scholar] [CrossRef]
- Zhang, J.; Pei, Z.; Rong, X. Experimental seismic study of an innovative precast steel-concrete composite beam-column joint. Soil Dyn. Earthq. Eng. 2022, 161, 107420. [Google Scholar] [CrossRef]
- Zhang, Y.; Li, B.; Li, Z.; Ma, G.; Liu, Y. Seismic performance of interior beam-column joints in reinforced glazed hollow bead insulation concrete frames. Eng. Struct. 2021, 228, 111494. [Google Scholar] [CrossRef]
- Sococol, I.; Mihai, P.; Petrescu, T.-C.; Nedeff, F.; Nedeff, V.; Agop, M. Analytical Study Regarding the Seismic Response of a Moment-Resisting (MR) Reinforced Concrete (RC) Frame System with Reduced Cross Sections of the RC Beams. Buildings 2020, 12, 983. [Google Scholar] [CrossRef]
- Cod de proiectare seismică”, Partea I, Prevederi de proiectare pentru clădiri, Indicativ P100-1; Ministerul Dezvoltării Regionale și Administrației Publice, UTCB: București, Romania, 2013.
- Eurocod 8: Proiectarea structurilor pentru rezistența la cutremur, Partea 1: Reguli generale, acțiuni seismice și reguli pentru clădiri, Indicativ SR EN 1998-1; ASRO: București, Romania, 2004. (In Romanian)
- ATENA Software. Available online: https://www.cervenka.cz (accessed on 17 January 2021).
- Mihai, P.; Hirhui, I.; Rosca, B. Numerical Analysis of Bonding Between Concrete and Reinforcement using the Finite Element Method. J. Appl. Sci. 2010, 10, 738–744. [Google Scholar] [CrossRef]
- Siempu, R.; Pancharathi, R.K. Numerical study on the bond behaviour of plain and ribbed bars in self-compacting concrete. Mater. Today Proc. 2022, 51, 2587–2591. [Google Scholar] [CrossRef]
- Don, W.; Suryanto, B.; Tambusay, A.; Suprobo, P. Forensic assessments of the influence of reinforcement detailing in reinforced concrete half-joints: A nonlinear finite element study. Structures 2022, 38, 689–703. [Google Scholar] [CrossRef]
- Paz, G.L.G.; Marques, M.G.; Ruas, S.R.C. Numerical analysis of reinforced concrete columns strengthened with sleeve wedge bolts and a self compacting concrete layer. Structures 2022, 43, 726–737. [Google Scholar] [CrossRef]
- Kannam, P.; Sarella, V.R. A study on validation of shear behaviour of steel fibrous SCC based on numerical modelling (ATENA). J. Build. Eng. 2018, 19, 69–79. [Google Scholar] [CrossRef]
- Hoang, A.L.; Fehling, E. Numerical study of circular steel tube confined concrete (STCC) stub columns. J. Constr. Steel Res. 2017, 136, 238–255. [Google Scholar] [CrossRef]
- Safdar, M.; Sheikh, M.N.; Hadi, M.N.S. Numerical study on shear strength of GFRP-RC T-Joints. Structures 2022, 43, 926–943. [Google Scholar] [CrossRef]
- Sanabria Diaz, R.A.; Sarmiento Nova, S.J.; Teixeira da Silva, M.C.A.; Trautwein, L.M.; Almeida, L.C. Reliability analysis of shear strength of reinforced concrete deep beams using NLFEA. Eng. Struct. 2020, 203, 109760. [Google Scholar] [CrossRef]
- Faria, R.; Marreiros, R.; Ramos, A.P.; Jesus, C. Influence of the top reinforcement detailing in the behaviour of flat slabs. Structures 2020, 23, 718–730. [Google Scholar] [CrossRef]
- Mousavi, S.S.; Dehestani, M. Influence of mixture composition on the structural behaviour of reinforced concrete beam-column joints: A review. Structures 2022, 42, 29–52. [Google Scholar] [CrossRef]
- Men, J.; Xiong, L.; Wang, J.; Fan, G. Effect of different RC slab widths on the behavior of reinforced concrete column and steel beam-slab subassemblies. Eng. Struct. 2021, 229, 111639. [Google Scholar] [CrossRef]
- Chu, L.; Tian, Y.; Li, D.; He, Y.; Feng, H. Shear behavior of steel reinforced concrete column-steel beam joints with or without reinforced concrete slab. J. Build. Eng. 2021, 35, 102063. [Google Scholar] [CrossRef]
- El-Attar, A.G.; White, R.N.; Gergely, P. Shake Table Test of a 1/6 Scale Two-Story Lightly Reinforced Concrete Building; Cornell University: New York, NY, USA, 1991. [Google Scholar]
- Harris, H.G.; Sabnis, G.M. Structural Modeling and Experimental Techniques, 2nd ed.; CRC Press: Boca Raton, FA, USA, 1999. [Google Scholar]
- Moncarz, P.D.; Krawinkler, H. Theory and Application of Experimental Model Analysis in Earthquake Engineering; Stanford University: San Jose, FA, USA, 1981. [Google Scholar]
- Zwart, S.D. Scale Modelling in Engineering: Froude’s Case. In Handbook of the Philosophy of Science; Elsevier: Amsterdam, The Netherlands, 2009; pp. 759–798. [Google Scholar] [CrossRef]
- Kenan, H.; Azeloglu, O. Design of scaled down model of a tower crane mast by using silimitude theory. Eng. Struct. 2020, 220, 110985. [Google Scholar] [CrossRef]
- Wang, Z.; Li, S.; Lu, S.; Yu, S. Model investigations for seismic responses of a scaled polar crane at a nuclear power station. Nucl. Eng. Des. 2021, 381, 111330. [Google Scholar] [CrossRef]
- Yazdandoust, M.; Samee, A.A.; Ghalandarzadeh, A. Assessment of seismic behavior of back-to-back mechanically stabilized earth walls using 1g shaking table tests. Soil Dyn. Earthq. Eng. 2022, 155, 106078. [Google Scholar] [CrossRef]
- Richard, B.; Ile, N.; Frau, A.; Ma, A.; Loiseau, O.; Giry, C.; Ragueneau, F. Experimental and numerical study of a half-scaled reinforced concrete building equipped with thermal break components subjected to seismic loading up to severe damage state. Eng. Struct. 2015, 92, 29–45. [Google Scholar] [CrossRef]
- Richard, B.; Martinelli, P.; Voldoire, F.; Corus, M.; Chaudat, T.; Abouri, S.; Bonfils, N. SMART 2008: Shaking table tests on an asymmetrical reinforced concrete structure and seismic margins assessment. Eng. Struct. 2015, 105, 48–61. [Google Scholar] [CrossRef]
- Bitencourt, L.A.G., Jr.; Manzoli, O.L.; Trindade, Y.T.; Rodrigues, E.A.; Dias-da-Costa, D. Modeling reinforced concrete structures using coupling finite elements for discrete representation of reinforcements. Finite Elem. Anal. Des. 2018, 149, 32–44. [Google Scholar] [CrossRef]
- Sousa, J.B.M., Jr.; Muniz, C.F.D.G. Analytical integration of cross section properties for numerical analysis of reinforced concrete, steel and composite frames. Eng. Struct. 2007, 29, 618–625. [Google Scholar] [CrossRef]
- Sococol, I.; Mihai, P.; Toma, I.-O.; Olteanu-Dontov, I.; Venghiac, V.-M. Stress-Strain Relation Laws for Concrete and Steel Reinforcement Used in Non-linear Static Analytical Studies of the Moment Resisting Reinforced Concrete (RC) Frame Models. Bull. Polytech. Inst. Jassy Constr. Archit. Sect. 2021, 67, 17–29. [Google Scholar] [CrossRef]
- Shiming, S.; Yupu, S. Dynamic biaxial tensile-compressive strength and failure criterion of plain concrete. Constr. Build. Mater. 2013, 40, 322–329. [Google Scholar] [CrossRef]
- Ivashenko, Y.; Ferder, A. Experimental studies on the impacts of strain and loading modes on the formation of concrete “stress-strain” relations. Constr. Build. Mater. 2019, 209, 234–239. [Google Scholar] [CrossRef]
- Bi, J.; Huo, L.; Zhao, Y.; Qiao, H. Modified the smeared crack constitutive model of fiber reinforced concrete under uniaxial loading. Constr. Build. Mater. 2020, 250, 118916. [Google Scholar] [CrossRef]
- Wei, H.; Wu, T.; Liu, X.; Zhang, R. Investigation of stress-strain relationship for confined lightweight aggregate concrete. Constr. Build. Mater. 2020, 256, 119432. [Google Scholar] [CrossRef]
- Dong, S.; Wang, Y.; Ashour, A.; Han, B.; Ou, J. Uniaxial compressive fatigue behavior of ultra-high performance concrete reinforced with super-fine stainless wires. Int. J. Fatigue 2021, 142, 105959. [Google Scholar] [CrossRef]
- Xu, T.; Castel, A.; Gilbert, R.I.; Murray, A. Modeling the tensile steel reinforcement strain in RC-beams subjected to cycles of loading and unloading. Eng. Struct. 2016, 126, 92–105. [Google Scholar] [CrossRef]
- Wang, Z.-H.; Li, L.; Zhang, Y.-X.; Zheng, S.-S. Reinforcement model considering slip effect. Eng. Struct. 2019, 198, 109493. [Google Scholar] [CrossRef]
- Long, X.; Wang, C.-Y.; Zhao, P.-Z.; Kang, S.-B. Bond strength of steel reinforcement under different loading rates. Constr. Build. Mater. 2020, 238, 117749. [Google Scholar] [CrossRef]
- Sabău, M. Simulated data on bond of steel reinforcement in self-compacting concrete. Data Brief 2020, 30, 105594. [Google Scholar] [CrossRef] [PubMed]
- Baltzopoulos, G.; Baraschino, R.; Iervolino, I.; Vamvatsikos, D. SPO2FRAG: Software for seismic fragility assessment based on static pushover. Bull Earthq. Eng. 2017, 15, 4399–4425. [Google Scholar] [CrossRef]
- Baltzopoulos, G.; Baraschino, R.; Iervolino, I.; Vamvatsikos, D. SPO2FRAG [Computer Software]; AXA-DiSt (Universita degli Studi di Napoli Federico II): Naples, Italy, 2017. [Google Scholar]
- Eurocod 8: Proiectarea Structurilor pentru Rezistența la Cutremur, Partea 1: Reguli Generale, Acțiuni Seismice și Reguli Pentru Clădiri, Anexa Națională, Indicativ SR EN 1998-1; ASRO: București, Romania, 2008. (In Romanian)
- Paulay, T.; Priestley, M.J.N. Seismic Design of Reinforced Concrete and Masonry Buildings; John Wiley & Sons: Hoboken, NJ, USA, 1992. [Google Scholar]
- Anas, S.M.; Alam, M.; Shariq, M. Damage Response of Conventionally Reinforced Two-Way Spanning Concrete Slab under Eccentric Impacting Drop Weight Loading. In Defence Technology; Elsevier: Amsterdam, The Netherlands, 2022; ISSN 2214–9147. [Google Scholar] [CrossRef]
- Anas, S.M.; Shariq, M.; Alam, M. Evaluation of critical damage location of contact blast on conventionally reinforced one-way square concrete slab applying CEL-FEM blast modelling technique. Int. J. Prot. Struct. 2022. [Google Scholar] [CrossRef]
- Anas, S.M.; Alam, M.; Umair, M. Experimental and numerical investigations on performance of reinforced concrete slabs under explosive-induced air-blast loading: A state-of-the-art review. Structures 2021, 31, 428–461. [Google Scholar] [CrossRef]
- Eurocod 2: Proiectarea structurilor de beton, Partea 1-1: Reguli generale și reguli pentru clădiri, Indicativ SR EN 1992-1-1; ASRO: București, Romania, 2006. (In Romanian)


| NSC | RC Drilled Element Type in the Potentially Plastic Zone | Holes’ Type Depends on the Geometric Shape (Form) | Variable (V)/Constant (C) Size Holes | Number of Holes | Number of Rows of Holes | Constant (C)/Variable (V) Distance between Holes | Constant (C)/Variable (V) Distance between Rows of Holes | Minimum (Min)/Maximum (Max) Distance between Holes and RC B-C Joint/RC Column | Rows of Vertical Holes Positioning (Zig-Zag, Parallel, etc.) | Transverse Reinforcement Mode of the RC Columns | GR |
|---|---|---|---|---|---|---|---|---|---|---|---|
| K_7 | - | - | - | - | - | - | - | - | - | 1ϕ4/1 CS | Figure 1a,c |
| K_7_S_2 | slab | square holes | C | 3 | 1 | C | - | Min. | - | 1ϕ4/1 CS | Figure 2(a1),(a3) |
| K_7_S_1 | slab | square holes | C | 6 | 2 | C | C | Min. | parallel | 1ϕ4/1 CS | Figure 2(b1),(b3) |
| K_7_S_B_1 | beam and slab | square holes | C | 4 for LB 3 for TB 6 for RC slab | 1 for LB 1 for TB 2 for RC slab | C | - - C | Min. | - - parallel | 1ϕ4/1 CS | Figure 2(c1),(c3) |
| NSC | htopstory [m] | du [m] | dr,aSLU [m] | htopstory [m] | υ | du [m] | dr [m] | du [m] | d*y [m] | μd | μdadm |
|---|---|---|---|---|---|---|---|---|---|---|---|
| P100-1 [29] | EN 1998-1:2004 [30] | Paulay and Priestley [68] | |||||||||
| K_7 | 2.8 | 0.03288 | 0.07 | 2.8 | 0.4 | 0.03288 | 0.07 | 0.03288 | 0.0187 | 1.7582 | 2.5 |
| K_7_S_2 | 0.02785 | 0.02785 | 0.02785 | 0.0169 | 1.6479 | ||||||
| K_7_S_1 | 0.028 | 0.028 | 0.028 | 0.0173 | 1.6184 | ||||||
| K_7_S_B_1 | 0.03179 | 0.03179 | 0.03179 | 0.0188 | 1.6909 | ||||||
| NSC | RC Beams Cracking Process | RC Columns Cracking Process | RC Slabs Cracking Process | RC Column-Beam Joint Cracking | Final Rupture -RC Structural Element/Elements | Zone/Zones of Final Rupture | RC Beam Cracking Length Limiting by RC Slab Cracking Area | Risk of the Common Rigid Block RC “Beam-slab-Frame Node” Formation | Concrete Cracks Migration Process from the Longitudinal Beams to the Transverse Beams in the Adjacent Area of the Frame Node | GR | |||
|---|---|---|---|---|---|---|---|---|---|---|---|---|---|
| Local—in Potential Plastic Zones | on Entire Length | Local—in Marginal Areas | on Entire Height | Local Area | Extended Area | ||||||||
| K_7 | low | - | intense | low | low | medium to intense | intense | columns and nodes | marginal zones of the columns; entire volume of the nodes | yes | high with practical formation | low to insignificant | Figure 5a |
| K_7_S_2 | low to medium | - | medium | low | low | medium | medium to intense | beams, slabs and nodes | corner area with reduced cross-section of the slabs; minor marginal zones of the beams; partial volume of the nodes | yes | medium to high with partial formation | low to medium | Figure 5b |
| K_7_S_1 | medium | - | medium | low | medium | medium | medium to intense | beams, slabs and nodes | corner area with reduced cross-section of the slabs; minor marginal zones of the beams | yes | medium to high with partial formation | low to medium | Figure 5c |
| K_7_S_B_1 | medium to intense | - | medium | low | medium to intense | medium to intense | medium | beams, slabs and nodes | marginal zones of the beams in reduced cross-sections; corner area for reduced cross-section of the slabs; partial volume of the beam–column joints | partial with limited influence | medium with low process formation | medium to high | Figure 5d |
Publisher’s Note: MDPI stays neutral with regard to jurisdictional claims in published maps and institutional affiliations. |
© 2022 by the authors. Licensee MDPI, Basel, Switzerland. This article is an open access article distributed under the terms and conditions of the Creative Commons Attribution (CC BY) license (https://creativecommons.org/licenses/by/4.0/).
Share and Cite
Sococol, I.; Mihai, P.; Petrescu, T.-C.; Nedeff, F.; Nedeff, V.; Agop, M.; Luca, B.-I. Numerical Study Regarding the Seismic Response of a Moment-Resisting (MR) Reinforced Concrete (RC) Frame Structure with Reduced Cross-Sections of the RC Slabs. Buildings 2022, 12, 1525. https://doi.org/10.3390/buildings12101525
Sococol I, Mihai P, Petrescu T-C, Nedeff F, Nedeff V, Agop M, Luca B-I. Numerical Study Regarding the Seismic Response of a Moment-Resisting (MR) Reinforced Concrete (RC) Frame Structure with Reduced Cross-Sections of the RC Slabs. Buildings. 2022; 12(10):1525. https://doi.org/10.3390/buildings12101525
Chicago/Turabian StyleSococol, Ion, Petru Mihai, Tudor-Cristian Petrescu, Florin Nedeff, Valentin Nedeff, Maricel Agop, and Bogdan-Ionel Luca. 2022. "Numerical Study Regarding the Seismic Response of a Moment-Resisting (MR) Reinforced Concrete (RC) Frame Structure with Reduced Cross-Sections of the RC Slabs" Buildings 12, no. 10: 1525. https://doi.org/10.3390/buildings12101525
APA StyleSococol, I., Mihai, P., Petrescu, T.-C., Nedeff, F., Nedeff, V., Agop, M., & Luca, B.-I. (2022). Numerical Study Regarding the Seismic Response of a Moment-Resisting (MR) Reinforced Concrete (RC) Frame Structure with Reduced Cross-Sections of the RC Slabs. Buildings, 12(10), 1525. https://doi.org/10.3390/buildings12101525

