Assessment of Earth Retaining Performance for Long-Short Piles Composite Structures from Field Experiments and Numerical Analysis
Abstract
:1. Introduction
2. Field Test Configuration and Procedures
2.1. Field Test Site Engineering Overview
2.2. Field Test Scheme Design
3. Test Results and Analysis
3.1. Bending Moment of the Pile under Different Excavation Depth
3.2. Horizontal Displacement of the Pile under Different Excavation Depth
4. Numerical Investigation
4.1. Finite Element Model
4.2. Comparison and Verification
5. Numerical Results and Discussion
5.1. Effect of Short Pile Length
5.1.1. Bending Moment of Piles under Different Short Pile Lengths
5.1.2. Horizontal Displacement under Different Short Pile Lengths
5.1.3. Surface Settlement and Excavation Bottom Heave under Different Short Pile Lengths
5.2. Effect of Pile Spacing
5.2.1. Bending Moment of Piles under Different Pile Spacing
5.2.2. Horizontal Displacement under Different Pile Spacing
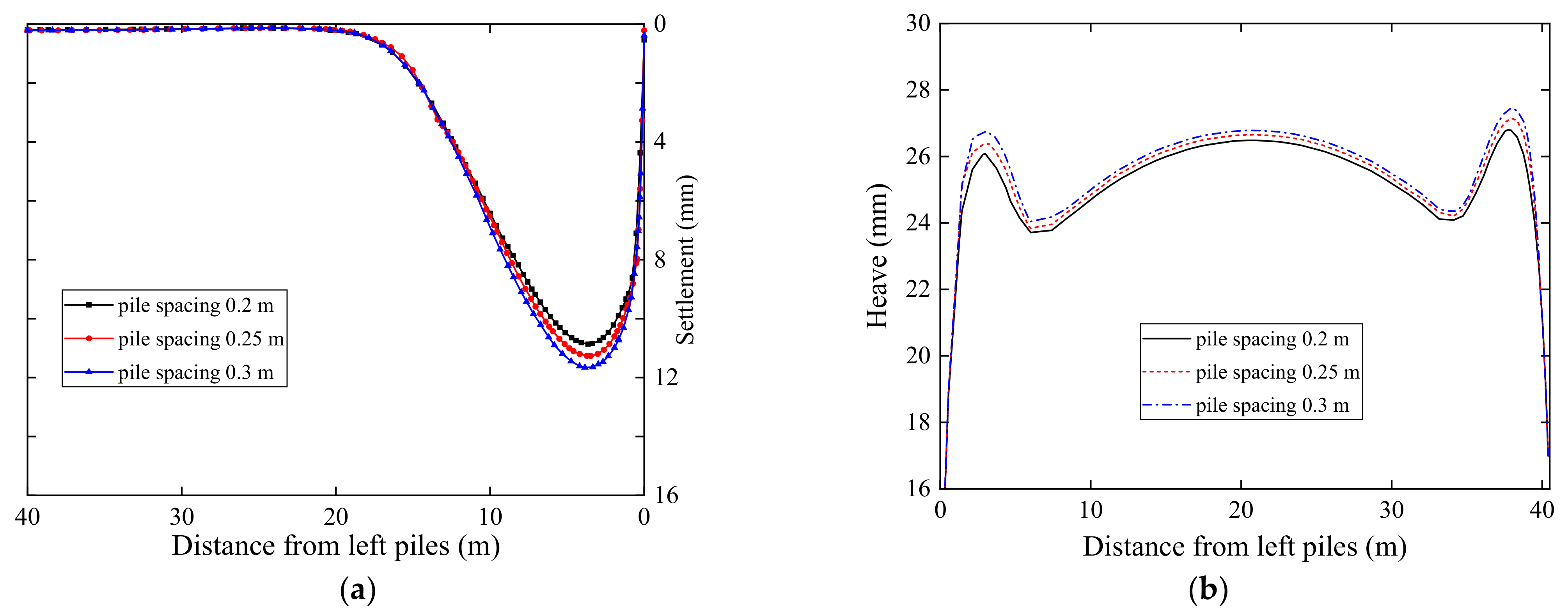
5.2.3. Surface Settlement and Heave of Excavation Bottom under Different Pile Spacing
6. Conclusions
- In the long-short combined retaining piles, long piles share more bending moment than short piles; the larger the number of short piles, the larger the bending moment of long piles and short piles, when the combination changes from combination 1 to 3, the peak bending moment of the long pile and short pile increases by 15.8% and 15.2%, respectively.
- The maximum displacement is near the pile top, combination 3 has the largest horizontal displacement, and the peak displacement of the long pile and the short pile is 17.21 mm and 17.87 mm, respectively, but almost no effect exists on the horizontal displacement below the excavation bottom. Disregarding the combination for the long and short piles, the horizontal displacements between long and short piles have few gaps.
- Generally speaking, the influence of short pile length and pile spacing on surface settlement and excavation bottom uplift can be ignored.
- In the retaining structure of long-short pile, the bending moment and horizontal displacement of long and short piles will be increased to a certain extent by decreasing the short pile length and increasing the pile spacing, and this phenomenon is mainly concentrated above the excavation bottom. Therefore, the length of the short pile, the ratio of the short pile and pile spacing can be appropriately reduced to save the project cost on the premise that the bending moment and deformation of pile meet the engineering requirements.
Author Contributions
Funding
Institutional Review Board Statement
Informed Consent Statement
Data Availability Statement
Conflicts of Interest
Abbreviations
| cohesion; | |
| ds | distance between two steel bars at the same section; |
| Ec | elastic modulus of concrete; |
| Es | elastic modulus of steel bar; |
| secant referential stiffness; | |
| unloading/reloading referential stiffness; | |
| tangent referential stiffness for a primary oedometer loading; | |
| small-strain shear modulus; | |
| I0 | moment of inertia of the whole section against the neutral axis; |
| initial resting lateral pressure coefficient; | |
| M | bending moment of the pile; |
| m | modulus stress level correlation power exponent; |
| reference stress; | |
| failure ratio determined by triaxial drainage shear; | |
| friction angle; | |
| soil unit weight; | |
| shear strain when the shear modulus attenuation to 70% of the initial shear modulus; | |
| Poisson’s ratio; | |
| stress of steel bar outside of retaining pile; | |
| stress of steel bar inside of retaining pile. |
References
- Tan, Y.; Li, M.W. Measured performance of a 26 m deep top-down excavation in downtown Shanghai. Can. Geotech. J. 2011, 48, 704–719. [Google Scholar] [CrossRef]
- Cheng, K.; Xu, R.Q.; Ying, H.W.; Gan, X.L.; Zhang, L.S.; Liu, S.J. Observed performance of a 30.2 m deep-large basement excavation in Hangzhou soft clay. Tunn. Undergr. Space Technol. 2021, 111, 103872. [Google Scholar] [CrossRef]
- Lim, A.; Ou, C.Y. Performance and three-dimensional analyses of a wide excavation in soft soil with strut-free retaining system. Int. J. Geomech. 2018, 18, 05018007. [Google Scholar] [CrossRef]
- Lim, A.; Ou, C.Y.; Hsieh, P.G. A novel strut-free retaining wall system for deep excavation in soft clay: Numerical study. Acta Geotech. 2020, 15, 1557–1576. [Google Scholar] [CrossRef]
- Liu, T.Y.; Ho, S.J.; Tserng, H.P.; Tzou, H.K. Using a unique retaining method for building foundation excavation: A case study on sustainable construction methods and circular economy. Buildings 2022, 12, 298. [Google Scholar] [CrossRef]
- Farzi, M.; Pakbaz, M.S.; Aminpour, H.A. Selection of support system for urban deep excavations: A case study in Ahvaz geology. Case Stud. Constr. Mater. 2018, 8, 131–138. [Google Scholar] [CrossRef]
- Gil-Martín, L.M.; Hernández-Montes, E.; Shin, M.; Aschheim, M. Developments in excavation bracing systems. Tunn. Undergr. Space Technol. 2012, 31, 107–116. [Google Scholar] [CrossRef]
- Moormann, C. Analysis of wall and ground movements due to deep excavations in soft soil based on a new worldwide database. Soils Found. 2004, 44, 87–98. [Google Scholar] [CrossRef]
- Tan, Y.; Wei, B. Observed behaviors of a long and deep excavation constructed by cut-and-cover technique in shanghai soft clay. J. Geotech. Geoenviron. Eng. 2012, 138, 69–88. [Google Scholar] [CrossRef]
- Dong, Y.P.; Burd, H.J.; Houlsby, G.T. Finite-element analysis of a deep excavation case history. Géotechnique 2016, 66, 1–15. [Google Scholar] [CrossRef]
- Chen, H.H.; Li, J.P.; Yang, C.Y.; Feng, C. A theoretical study on ground surface settlement induced by a braced deep excavation. Eur. J. Environ. Civ. Eng. 2020, 26, 1897–1916. [Google Scholar] [CrossRef]
- Ying, H.W.; Cheng, K.; Liu, S.J.; Xu, R.Q.; Lin, C.G.; Zhu, C.W.; Gan, X.L. An efficient method for evaluating the ground surface settlement of Hangzhou metro deep basement considering the excavation process. Acta Geotech. 2022, 1–13. [Google Scholar] [CrossRef]
- Ding, Y.C.; Zhou, S.X.; Wang, J.H. Three-dimensional numerical analysis of soil nailing for deep excavation. J. Shanghai Jiaotong Univ. 2011, 45, 547–552. (In Chinese) [Google Scholar]
- Zolqadr, E.; Yasrobi, S.S.; Norouz Olyaei, M. Analysis of soil nail walls performance—Case study. Geomech. Geoengin. 2016, 11, 1–12. [Google Scholar] [CrossRef]
- Chavan, D.; Mondal, G.; Prashant, A. Seismic analysis of nailed soil slope considering interface effects. Soil Dyn. Earthq. Eng. 2017, 100, 480–491. [Google Scholar] [CrossRef]
- Zhang, M.; Wang, X.H.; Yang, G.C.; Wang, Y. Numerical investigation of the convex effect on the behavior of crossing excavations. J. Zhejiang Univ. Sci. A 2011, 12, 747–757. [Google Scholar] [CrossRef]
- Xu, C.J.; Yang, K.F.; Fan, X.Z.; Ge, J.J.; Jin, L. Numerical investigation on instability of buildings caused by adjacent deep excavation. J. Perform. Constr. Facil. 2021, 35, 04021040. [Google Scholar] [CrossRef]
- Hong, S.H.; Lee, F.H.; Yong, K.Y. Three-dimensional pile-soil interaction in soldier-piled excavations. Comput. Geotech. 2003, 30, 81–107. [Google Scholar] [CrossRef]
- Cheng, X.S.; Zheng, G.; Diao, Y.; Huang, T.M.; Deng, C.H.; Lei, Y.W.; Zhou, H.Z. Study of the progressive collapse mechanism of excavations retained by cantilever contiguous piles. Eng. Fail. Anal. 2017, 71, 72–89. [Google Scholar] [CrossRef]
- Hassiotis, S.; Chameau, J.L.; Gunaratne, M. Design method for stabilization of slopes with piles. J. Geotech. Geoenviron. Eng. 1997, 123, 314–323. [Google Scholar] [CrossRef]
- Guo, W.D.; Lee, F.H. Load transfer approach for laterally loaded piles. Int. J. Numer. Anal. Methods Geomech. 2001, 25, 1101–1129. [Google Scholar] [CrossRef]
- Basu, D.; Salgado, R.; Prezzi, M.A. Continuum-based model for analysis of laterally loaded piles in layered soils. Géotechnique 2009, 59, 127–140. [Google Scholar] [CrossRef]
- Liang, F.Y.; Li, Y.C.; Li, L.; Wang, J.L. Analytical solution for laterally loaded long piles based on Fourier–Laplace integral. Appl. Math. Model. 2014, 38, 5198–5216. [Google Scholar] [CrossRef]
- Wong, S.C.; Poulos, H.G. Approximate pile-to-pile interaction factors between two dissimilar piles. Comput. Geotech. 2005, 32, 613–618. [Google Scholar] [CrossRef]
- Liyanapathirana, D.S.; Nishanthan, R. Influence of deep excavation induced ground movements on adjacent piles. Tunn. Undergr. Space Technol. 2016, 52, 168–181. [Google Scholar] [CrossRef]
- Cui, X.Y.; Ye, M.G.; Zhuang, Y. Performance of a foundation pit supported by bored piles and steel struts: A case study. Soils Found. 2018, 58, 1016–1027. [Google Scholar] [CrossRef]
- Chen, A.; Wang, Q.; Chen, Z.D.; Chen, J.P.; Chen, Z.; Yang, J.G. Investigating pile anchor support system for deep foundation pit in a congested area of Changchun. Bull. Eng. Geol. Environ. 2021, 80, 1125–1136. [Google Scholar] [CrossRef]
- Zhang, C.L.; Su, L.J.; Chen, W.Z.; Jiang, G.L. Full-scale performance testing of bored piles with retaining walls in high cutting slope. Transp. Geotech. 2021, 29, 100563. [Google Scholar] [CrossRef]
- Leung, C.F.; Chow, Y.K.; Shen, R.F. Behavior of pile subject to excavation-induced soil movement. J. Geotech. Geoenvironmental Eng. 2000, 126, 947–954. [Google Scholar] [CrossRef]
- Zhang, R.J.; Zheng, J.J.; Pu, H.F.; Zhang, L.M. Analysis of excavation-induced responses of loaded pile foundations considering unloading effect. Tunn. Undergr. Space Technol. 2011, 26, 320–335. [Google Scholar] [CrossRef]
- Yang, H. Research on the Working Performance and Designing Problem of the Long-Short Pile Foundation. Ph.D. Thesis, Tongji University, Shanghai, China, 2006. [Google Scholar]
- Zhao, M.H.; Zhang, L.; Yang, M.H. Settlement calculation for long-short composite piled raft foundation. J. Cent. South Univ. 2006, 13, 749–754. [Google Scholar] [CrossRef]
- Guo, Y.C.; Lv, C.Y.; Hou, S.Q.; Liu, Y.L.; Garcea, G. Experimental study on the pile-soil synergistic mechanism of composite foundation with rigid long and short piles. Math. Probl. Eng. 2021, 2021, 6657116. [Google Scholar] [CrossRef]
- Zheng, G.; Cheng, X.S. Experimental study on cantilever contiguous retaining piles with different lengths. Chin. J. Geotech. Eng. 2008, 30, 410–415. (In Chinese) [Google Scholar]
- Xu, C.J.; Xu, Y.L.; Sun, H.L. Application of long-short pile retaining system in braced excavation. Int. J. Civ. Eng. 2015, 13, 81–89. [Google Scholar]
- Xu, C.J.; Ding, H.B.; Luo, W.J.; Tong, L.H.; Chen, Q.S.; Deng, J.L. Experimental and numerical study on performance of long-short combined retaining. Geomech. Eng. 2020, 20, 255–265. [Google Scholar] [CrossRef]
- Brinkgreve, R.B.J.; Kumarswamy, S.; Swolfs, W.M.; Waterman, D.; Chesaru, A.; Bonnier, P.G. PLAXIS 2016; Brinkgreve Delft University of Technology & PLAXIS bv: Delft, The Netherlands, 2016. [Google Scholar]
- Chheng, C.; Likitlersuang, S. Underground excavation behaviour in Bangkok using three-dimensional finite element method. Comput. Geotech. 2018, 95, 68–81. [Google Scholar] [CrossRef]
- Nejjar, K.; Dias, D.; Cuira, F.; Chapron, G.; Le Bissonnais, H. Numerical modelling of a 32 m deep excavation in the suburbs of Paris. Eng. Struct. 2022, 268, 114727. [Google Scholar] [CrossRef]
- Clayton, C.R.I. Stiffness at small strain: Research and practice. Géotechnique 2011, 61, 5–37. [Google Scholar] [CrossRef]
- Gu, X.Q.; Lu, L.T.; Li, X.W.; Ju, S.W. Experimental study of small strain stiffness properties of soil. J. Tongji Univ. 2018, 46, 312–317. (In Chinese) [Google Scholar]
- Schanz, T.; Vermeer, P.A.; Bonnier, P.G. The hardening soil model-formulation and verification. In Beyond 2000 in Computational Geotechnics 1999; Balkema: Amsterdam, The Netherlands, 2019; pp. 281–296. [Google Scholar]
- Benz, T. Small-Strain Stiffness of Soils and Its Numerical Consequences. Ph.D. Thesis, University of Stuttgart, Stuttgart, Germany, 2007. [Google Scholar]
- Wang, W.D.; Wang, H.R.; Xu, Z.H. Study of parameters of HS-Small model used in numerical analysis of excavations in Shanghai area. Rock Soil Mech. 2013, 34, 1766–1774. (In Chinese) [Google Scholar]
- Gu, X.Q.; Wu, R.T.; Liang, F.Y.; Gao, G.Y. On HSS model parameters for Shanghai soils with engineering verification. Rock Soil Mech. 2021, 42, 833–845. (In Chinese) [Google Scholar]
- Huynh, Q.T.; Lai, V.Q.; Boonyatee, T.; Keawsawasvong, S. Verification of soil parameters of hardening soil model with small-strain stiffness for deep excavations in medium dense sand in Ho Chi Minh City, Vietnam. Innov. Infrastruct. Solut. 2022, 7, 15. [Google Scholar] [CrossRef]





















| Type | Cross-Sectional Area (m2) | Thickness (m) | Young’s Modulus (GPa) | Unit Weight (kN/m3) | Poisson’s Ratio |
|---|---|---|---|---|---|
| Bored pile | 0.785 | - | 30 | 24 | 0.18 |
| Lateral bracing | 0.8 | - | 28 | 24 | 0.18 |
| Crown beam | 0.8 | - | 28 | 24 | 0.18 |
| Waterproof curtain | - | 0.8 | 28 | 20 | 0.18 |
| Lattice column | - | - | 200 | 78.5 | 0.25 |
| Column pile | 0.7 | - | 30 | 23 | 0.18 |
| Soil Stratum | (kPa) | () | (kN/m3) | K0 | m | |||||||
|---|---|---|---|---|---|---|---|---|---|---|---|---|
| Clay | 8.6 | 29.2 | 18.00 | 0.51 | 0.8 | 0.2 | 4.8 | 38.6 | 3.8 | 80 | 1 | 0.95 |
| Mucky silty clay | 6.5 | 25.6 | 17.10 | 0.57 | 0.8 | 0.2 | 3.8 | 34.2 | 2.3 | 60 | 1 | 0.90 |
| Silty clay | 25.8 | 28.2 | 20.30 | 0.53 | 0.8 | 0.2 | 4.9 | 39.3 | 5.2 | 50 | 1 | 0.92 |
| Sandy silt | 2.0 | 36.8 | 20.50 | 0.40 | 0.8 | 0.2 | 9.1 | 59.1 | 8.0 | 100 | 1 | 0.96 |
| Round gravel | 0 | 37.3 | 20.50 | 0.45 | 0.8 | 0.2 | 26.3 | 131.5 | 26.3 | 120 | 1 | 0.90 |
| Argillaceous siltstone | 25 | 40.0 | 21.50 | 0.58 | 0.8 | 0.2 | 13.5 | 67.5 | 13.5 | 135 | 1 | 0.90 |
| Phase | Simulation Process |
|---|---|
| 1 | K0 process (in order to balance initial in-situ stress) |
| 2 | Reset displacement of soil, waterproof curtain construction and bored piles penetration |
| 3 | Crown beam, column pile and internal bracing were created |
| 4 | Excavation to −1.5 m, and lower the ground water table to −4.5 m |
| 5 | Excavation to −3.5 m, and lower the ground water table to −7.5 m |
| 6 | Excavation to −6.5 m, and lower the ground water table to −11.85 m |
| 7 | Excavation to −10.85 m |
| Object | Length of the Short Piles (21.85 m) | Length of the Short Piles (19.85 m) | Length of the Short Piles (17.85 m) | Length of the Short Piles (15.85 m) | ||||
|---|---|---|---|---|---|---|---|---|
| Long Pile | Short Pile | Long Pile | Short Pile | Long Pile | Short Pile | Long Pile | Short Pile | |
| Bending moment (kN·m) | 655.2 | 655.2 | 673.2 | 658.8 | 675.1 | 689.2 | 716.9 | 702.4 |
| Displacement (mm) | 15.100 | 15.100 | 15.601 | 15.648 | 15.970 | 16.524 | 16.402 | 16.991 |
Publisher’s Note: MDPI stays neutral with regard to jurisdictional claims in published maps and institutional affiliations. |
© 2022 by the authors. Licensee MDPI, Basel, Switzerland. This article is an open access article distributed under the terms and conditions of the Creative Commons Attribution (CC BY) license (https://creativecommons.org/licenses/by/4.0/).
Share and Cite
Zhu, H.; Zhu, B.; Xu, C.; Liu, W.; Guo, D. Assessment of Earth Retaining Performance for Long-Short Piles Composite Structures from Field Experiments and Numerical Analysis. Buildings 2022, 12, 1524. https://doi.org/10.3390/buildings12101524
Zhu H, Zhu B, Xu C, Liu W, Guo D. Assessment of Earth Retaining Performance for Long-Short Piles Composite Structures from Field Experiments and Numerical Analysis. Buildings. 2022; 12(10):1524. https://doi.org/10.3390/buildings12101524
Chicago/Turabian StyleZhu, Huailong, Bitang Zhu, Changjie Xu, Wei Liu, and Dongdong Guo. 2022. "Assessment of Earth Retaining Performance for Long-Short Piles Composite Structures from Field Experiments and Numerical Analysis" Buildings 12, no. 10: 1524. https://doi.org/10.3390/buildings12101524
APA StyleZhu, H., Zhu, B., Xu, C., Liu, W., & Guo, D. (2022). Assessment of Earth Retaining Performance for Long-Short Piles Composite Structures from Field Experiments and Numerical Analysis. Buildings, 12(10), 1524. https://doi.org/10.3390/buildings12101524

