Magnetocaloric Effect Caused by Paramagnetic Austenite–Ferromagnetic Martensite Phase Transformation
Abstract
1. Introduction
2. Experimental
3. Evaluation of Magnetocaloric Effect of PM Austenite–FM Martensite Transformation within the Framework of Simplified Theoretical Model
3.1. Model Formulation
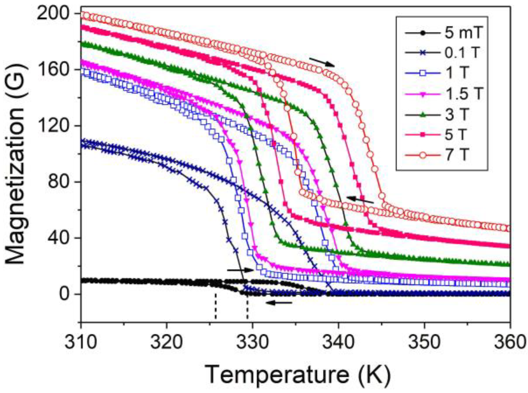
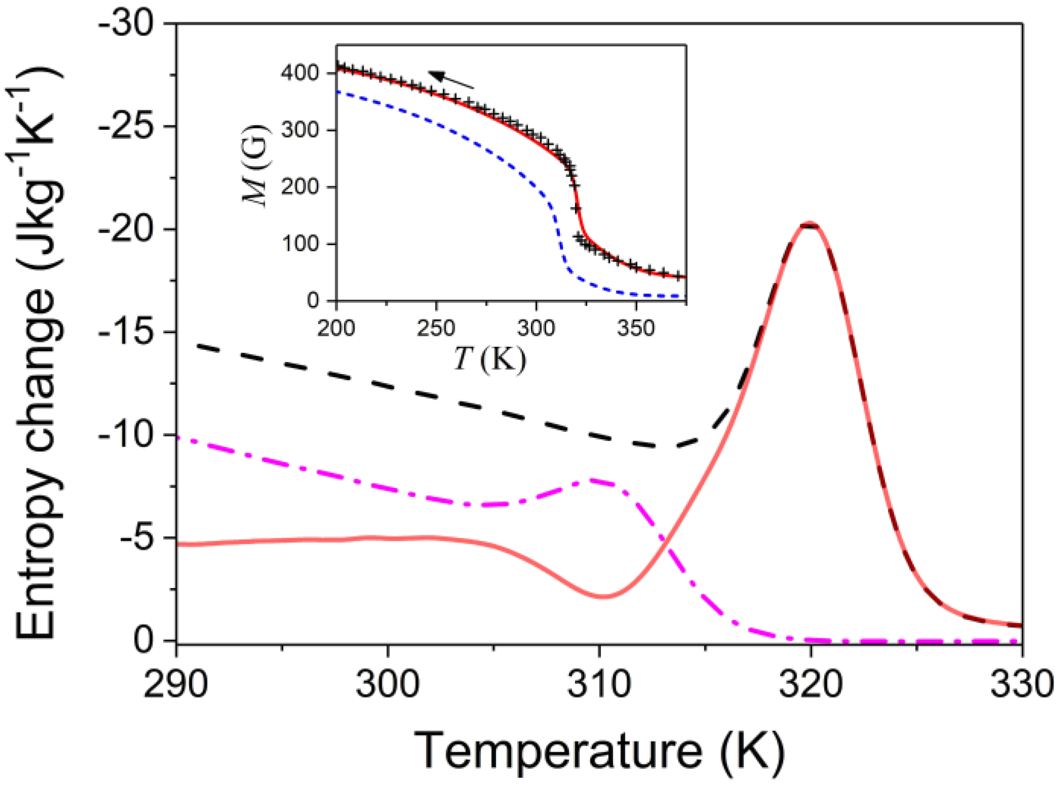
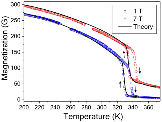
3.2. Application of Simplified Model to Ni50Mn17.5Ga25Cu7.5 Alloy
4. Detailed Theoretical Analysis of the Field-Induced Entropy Change
4.1. Theoretical Basis
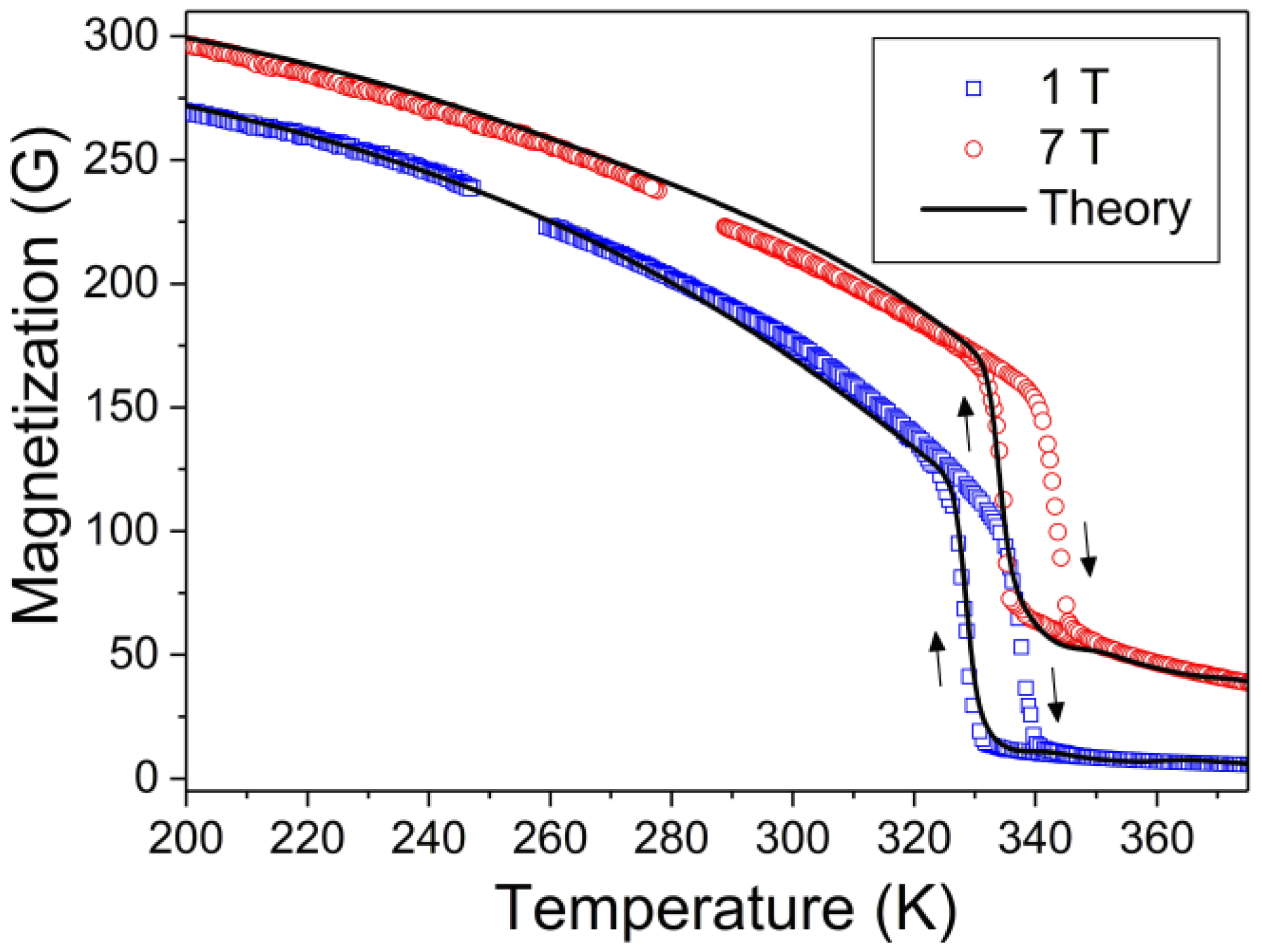
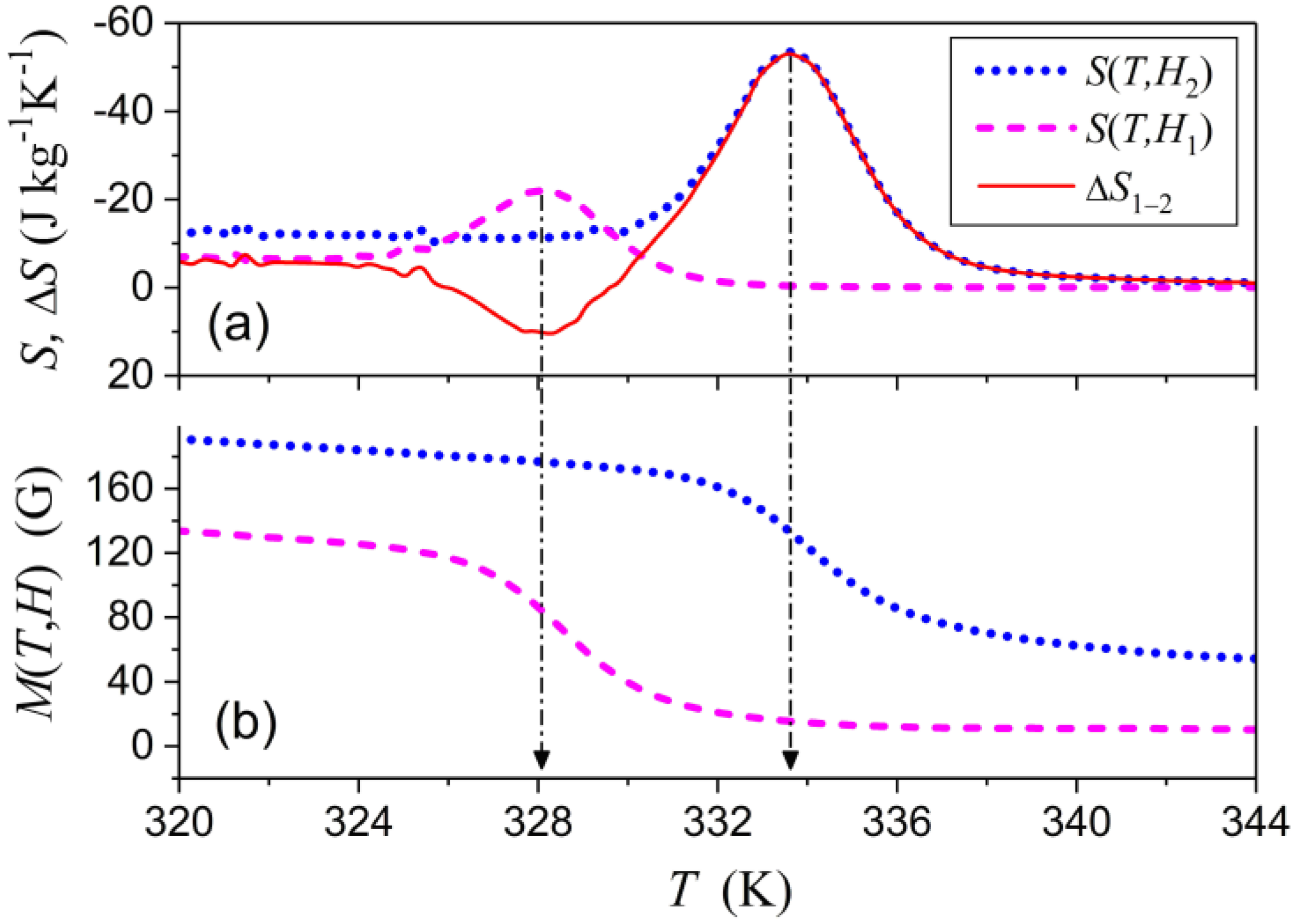
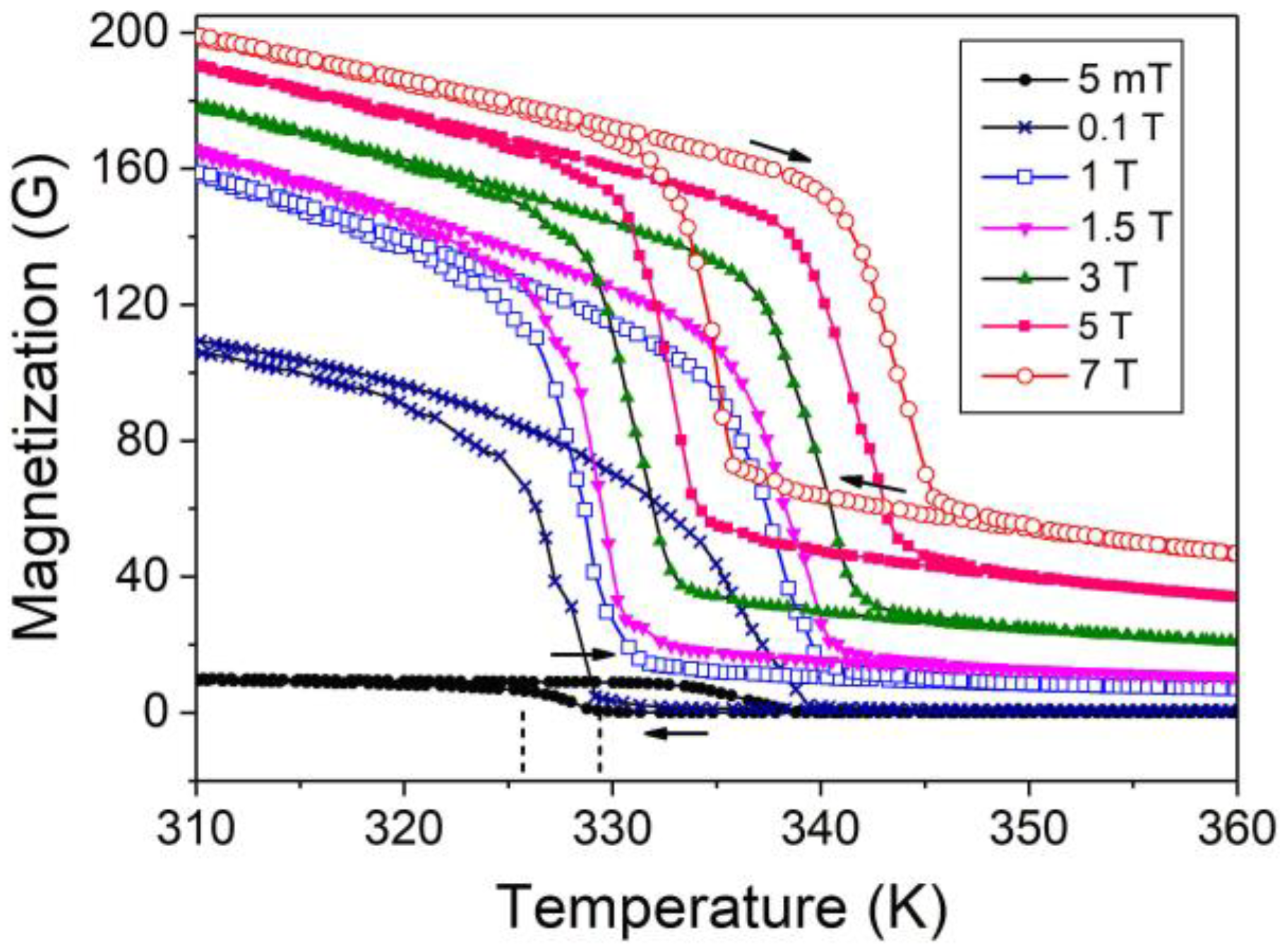
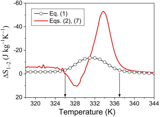
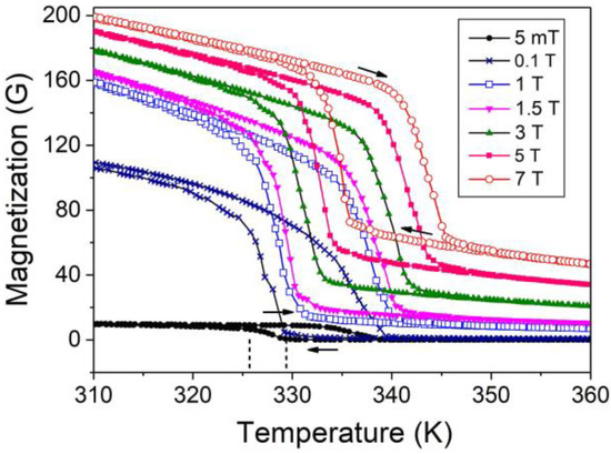
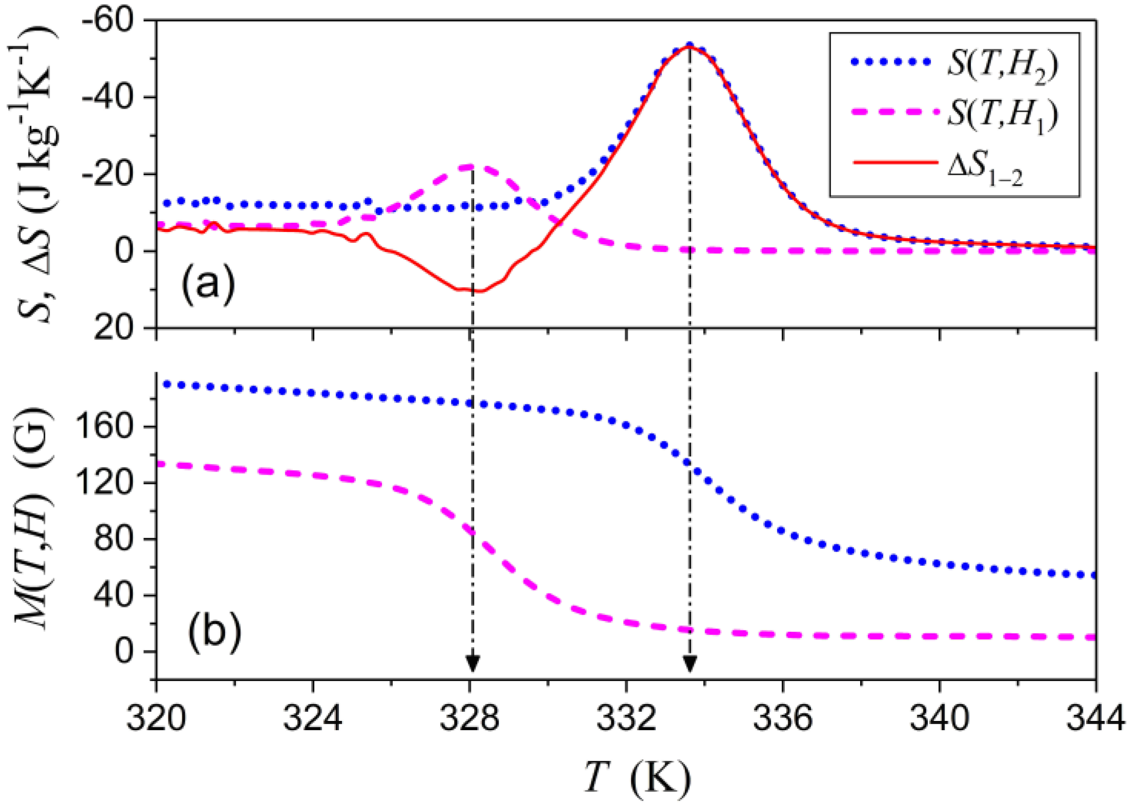
4.2. MCE in Ni50Mn17.5Ga25Cu7.5 Alloy
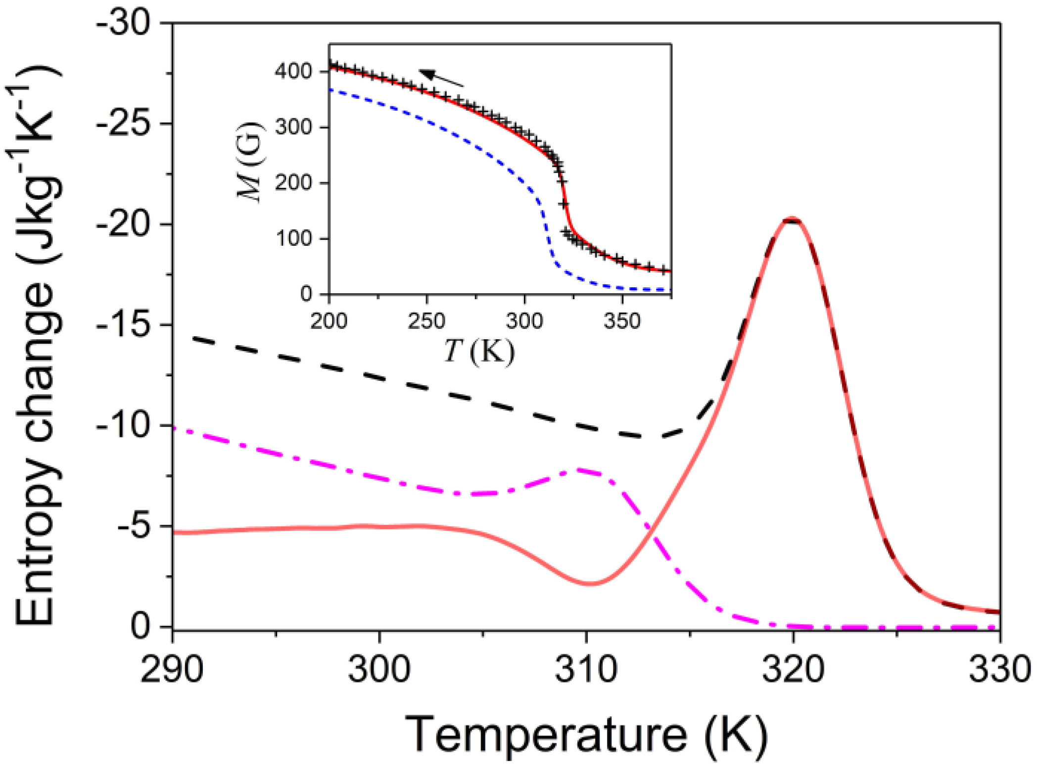
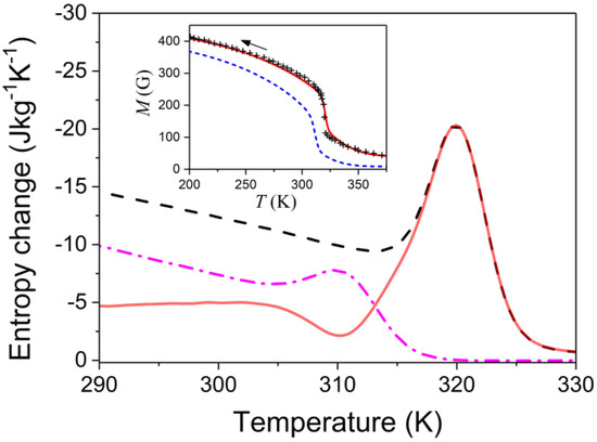
4.3. MCE in the Ni50Mn18Ga25Cu7 Ribbon
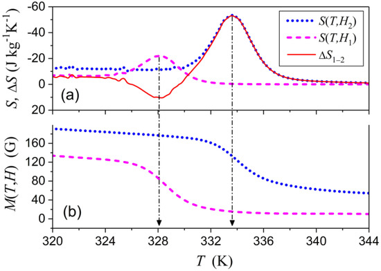
5. Comparison of Obtained MCE Values with Evaluation Resulting from Maxwell Relations
6. Refrigerant Capacity
7. Discussion and Conclusion
Author Contributions
Funding
Conflicts of Interest
Appendix A. Physical Parameters Used for Computations
| Alloy | TC (K) | M(0,0) (G) | TMS (K) | TMF (K) | dTMS,MF/d(μ0H) (K/T) | TGA (K) | TGM (K) | ΔT (K/T2/3) | χ (G/T) |
|---|---|---|---|---|---|---|---|---|---|
| Ni50Mn17.5Ga25Cu7.5, Bulk | 323 | 292 | 329.4 | 325.7 | 0.9 | 3 | 40 | 14 | 6 |
| Ni50Mn18Ga25Cu7, Ribbon | 294 ** | 400 | 313 * | 306 * | 2 *, 2.4 * | 9.4 | 23.5 | 46.4 | 8 |
References
- Khovaylo, V. Inconvenient magnetocaloric effect in ferromagnetic shape memory alloys. J. Alloys Comp. 2013, 577, S362–S366. [Google Scholar] [CrossRef]
- Franco, V.; Blázquez, J.S.; Ipus, J.J.; Law, J.Y.; Moreno-Ramírez, L.M.; Conde, A. Magnetocaloric effect: From materials research to refrigeration devices. Prog. Mat. Sci. 2018, 93, 112–232. [Google Scholar] [CrossRef]
- Pecharsky, V.K.; Gschneidner, K.A., Jr.; Pecharsky, A.O.; Tishin, A.M. Thermodynamics of the magnetocaloric effect. Phys. Rev. B 2001, 64, 144406. [Google Scholar] [CrossRef]
- Jiang, C.; Wang, J.; Li, P.; Jia, A.; Xu, H. Search for transformation from paramagnetic martensite to ferromagnetic austenite: NiMnGaCu alloys. Appl. Phys. Lett. 2009, 95, 012501. [Google Scholar] [CrossRef]
- Li, Z.; Zou, N.; Sánchez-Valdés, C.F.; Sánchez Llamazares, J.L.; Yang, B.; Hu, Y.; Zhang, Y.D.; Esling, C.; Zhao, X.; Zuo, L. Thermal and magnetic field-induced martensitic transformation in Ni50Mn25−xGa25Cux (0 ≤ x ≤ 7) melt-spun ribbons. J. Phys. D Appl. Phys. 2015, 49, 025002. [Google Scholar] [CrossRef]
- Devarajan, U.; Kannan, M.; Thiyagarajan, R.; Manivel Raja, M.; Rama Rao, N.V.; Singh, S.; Venkateshwarlu, D.; Ganesan, V.; Ohashi, M.; Arumugam, S. Coupled magnetostructural transition in Ni-Mn-V-Ga Heusler alloys and its effect on the magnetocaloric and transport properties. J. Phys. D: Appl. Phys. 2015, 49, 065001. [Google Scholar] [CrossRef]
- Carvalho, A.M.G.; Coelho, A.A.; Von Ranke, P.J.; Alves, C.S. The isothermal variation of the entropy (ΔST) may be miscalculated from magnetization isotherms in some cases: MnAs and Gd5Ge2Si2 compounds as examples. J. Alloys Comp. 2011, 509, 3452–3456. [Google Scholar] [CrossRef]
- Caron, L.; Ou, Z.Q.; Nguyen, T.T.; Thanh, D.C.; Tegus, O.; Brück, E. On the determination of the magnetic entropy change in materials with first-order transitions. J. Magn. Magn. Mater. 2009, 321, 3559–3566. [Google Scholar] [CrossRef]
- Gottschall, T.; Skokov, K.P.; Burriel, R.; Gutfleisch, O. On the S(T) diagram of magnetocaloric materials with first-order transition: Kinetic and cyclic effects of Heusler alloys. Acta Mater. 2016, 107, 1–8. [Google Scholar] [CrossRef]
- L’vov, V.A.; Kosogor, A.; Barandiaran, J.M.; Chernenko, V.A. Theoretical description of magnetocaloric effect in the shape memory alloy exhibiting metamagnetic behavior. J. Appl. Phys. 2016, 119, 013902. [Google Scholar] [CrossRef]
- Kosogor, A.; Barandiaran, J.M.; L’vov, V.A.; Fernandez, J.R.; Chernenko, V.A. Magnetic and nonmagnetic contributions to the heat capacity of metamagnetic shape memory alloy. J. Appl. Phys. 2017, 121, 183901. [Google Scholar] [CrossRef]
- Kataoka, M. Ferromagnetic system with the first order transition and applicability of the Maxwell relation to its magnetocaloric effect. J. Magn. Magn. Mater. 2019, 469, 494–503. [Google Scholar] [CrossRef]
- Chernenko, V.A.; L’vov, V.A.; Pasquale, M.; Besseghini, S.; Sasso, C.; Polenur, D.A. Magnetoelastic behavior of Ni-Mn-Ga martensitic alloys. Int. J. Appl. Electrom. Mech. 2000, 12, 3–8. [Google Scholar]
- Singh, S.; Bednarcik, J.; Barman, S.R.; Felser, C.; Pandey, D. Premartensite to martensite transition and its implications for the origin of modulation in Ni2MnGa ferromagnetic shape-memory alloy. Phys. Rev. B 2015, 92, 054112. [Google Scholar] [CrossRef]
- Fujita, A.; Fujieda, S.; Hasegawa, Y.; Fukamichi, K. Itinerant-electron metamagnetic transition and large magnetocaloric effects in La(FexSi1−x)13 compounds and their hydrides. Phys. Rev. B 2003, 67, 104416. [Google Scholar] [CrossRef]
- Chernenko, V.A.; L’vov, V.A.; Zagorodnyuk, S.P.; Takagi, T. Ferromagnetism of thermoelastic martensites: Theory and experiment. Phys. Rev. B 2003, 67, 064407. [Google Scholar] [CrossRef]
- Quetz, A.; Koshkid’ko, Y.S.; Titov, I.; Rodionov, I.; Pandey, S.; Aryal, A.; Ibarra-Gaytan, P.J.; Prudnikov, V.; Granovsky, A.; Dubenko, I.; et al. Giant reversible inverse magnetocaloric effects in Ni50Mn35In15 Heusler alloys. J. Alloys Comp. 2016, 683, 139–142. [Google Scholar] [CrossRef]
- Koshkid’ko, Y.; Pandey, S.; Quetz, A.; Aryal, A.; Dubenko, I.; Cwik, J.; Dilmieva, E.; Granovsky, A.; Lähderanta, E.; Zhukov, A.; et al. Inverse magnetocaloric effects in metamagnetic Ni-Mn-In-based alloys in high magnetic fields. J. Alloys Comp. 2017, 695, 3348–3352. [Google Scholar] [CrossRef]
- Wójcik, A.; Maziarz, W.; Szczerba, M.; Kowalczyk, M.; Cesari, E.; Dutkiewicz, J. Structure and inverse magnetocaloric effect in Ni-Co-Mn-Sn(Si) Heusler alloys. Intermetallics 2018, 100, 88–94. [Google Scholar] [CrossRef]
- Gschneidner, K.A., Jr.; Pecharsky, V.K.; Tsokol, A.O. Recent developments in magnetocaloric materials. Rep. Prog. Phys. 2005, 68, 1479–1539. [Google Scholar] [CrossRef]






© 2018 by the authors. Licensee MDPI, Basel, Switzerland. This article is an open access article distributed under the terms and conditions of the Creative Commons Attribution (CC BY) license (http://creativecommons.org/licenses/by/4.0/).
Share and Cite
Kosogor, A.; L’vov, V.A.; Lázpita, P.; Seguí, C.; Cesari, E. Magnetocaloric Effect Caused by Paramagnetic Austenite–Ferromagnetic Martensite Phase Transformation. Metals 2019, 9, 11. https://doi.org/10.3390/met9010011
Kosogor A, L’vov VA, Lázpita P, Seguí C, Cesari E. Magnetocaloric Effect Caused by Paramagnetic Austenite–Ferromagnetic Martensite Phase Transformation. Metals. 2019; 9(1):11. https://doi.org/10.3390/met9010011
Chicago/Turabian StyleKosogor, Anna, Victor A. L’vov, Patricia Lázpita, Concepció Seguí, and Eduard Cesari. 2019. "Magnetocaloric Effect Caused by Paramagnetic Austenite–Ferromagnetic Martensite Phase Transformation" Metals 9, no. 1: 11. https://doi.org/10.3390/met9010011
APA StyleKosogor, A., L’vov, V. A., Lázpita, P., Seguí, C., & Cesari, E. (2019). Magnetocaloric Effect Caused by Paramagnetic Austenite–Ferromagnetic Martensite Phase Transformation. Metals, 9(1), 11. https://doi.org/10.3390/met9010011
