Skeletonization, Geometrical Analysis, and Finite Element Modeling of Nanoporous Gold Based on 3D Tomography Data
Abstract
1. Introduction
2. Processing of FIB-SEM Tomography Data
3. Geometrical Analysis: Skeleton Network and Diameter
3.1. Skeleton Branch Type Occurences and Length Distributions
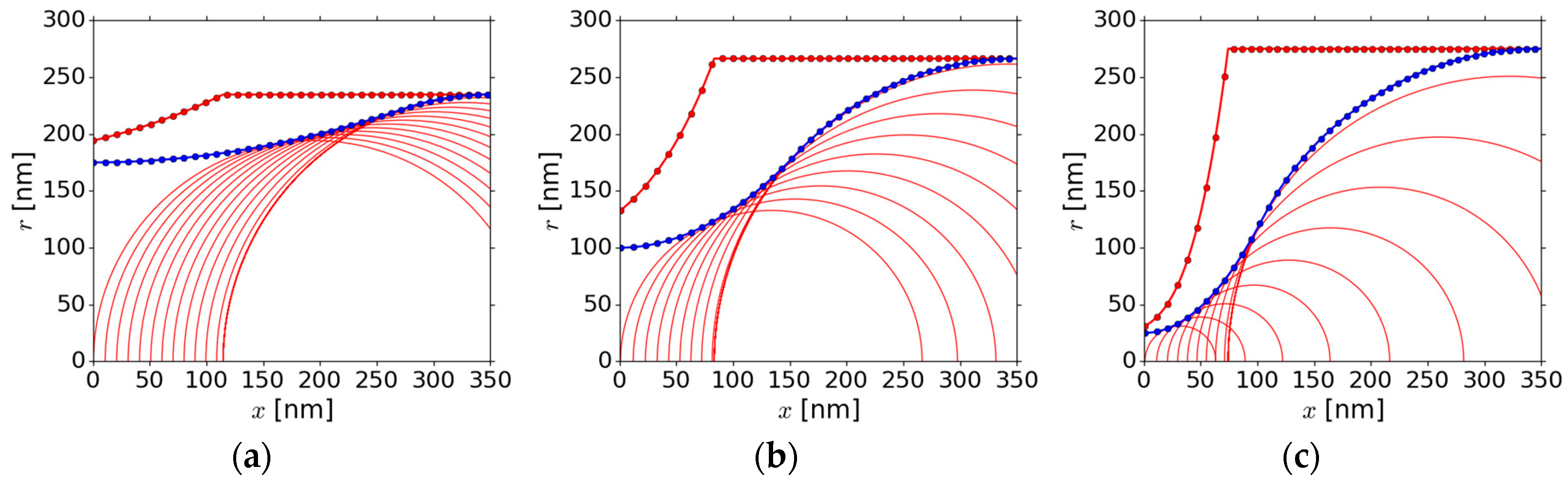
3.2. Skeleton-Based Diameter Distribution and Regional Occurance
3.3. Ligament Shape Distribution
4. Skeleton FEM Beam Model
4.1. Discretization of Branches
4.2. Material Properties and Boundary Conditions
5. Mechanical Response of the Skeleton FEM Beam Model
5.1. Simulation Results for RVE
5.2. Macroscopic Mechanical Response
5.3. Impact of “Thickness” Algorithm on Ligament Stiffness
6. Conclusions
Acknowledgments
Author Contributions
Conflicts of Interest
Appendix A


References
- Erlebacher, J.; Aziz, M.J.; Karma, A.; Dimitrov, N.; Sieradzki, K. Evolution of nanoporosity in dealloying. Nature 2001, 410, 450–453. [Google Scholar] [CrossRef] [PubMed]
- Weissmüller, J.; Newman, R.C.; Jin, H.J.; Hodge, A.M.; Kysar, J.W. Nanoporous metals by alloy corrosion: Formation and mechanical properties. MRS Bull. 2009, 34, 577–586. [Google Scholar] [CrossRef]
- Weissmüller, J.; Sieradzki, K. Dealloyed nanoporous materials with interface-controlled behavior. MRS Bull. 2018, 43, 14–19. [Google Scholar] [CrossRef]
- Lilleodden, E.T.; Voorhees, P.W. On the topological, morphological, and microstructural characterization of nanoporous metals. MRS Bull. 2018, 43, 20–26. [Google Scholar] [CrossRef]
- Li, R.; Sieradzki, K. Ductile-brittle transition in random porous Au. Phys. Rev. B 1992, 68, 1168–1171. [Google Scholar] [CrossRef] [PubMed]
- Huber, N.; Viswanath, R.N.; Mameka, N.; Markmann, J.; Weissmüller, J. Scaling laws of nanoporous metals under uniaxial compression. Acta Mater. 2014, 67, 252–265. [Google Scholar] [CrossRef]
- Hu, K. Micromechanical and Three-Dimensional Microstructural Characterization of Nanoporous Gold-Epoxy Composites. PhD thesis, Technische Universität, Hamburg-Harburg, Germany, 2017. [Google Scholar] [CrossRef]
- Biener, J.; Hodge, A.M.; Hayes, J.R.; Volkert, C.A.; Zepeda-Ruiz, L.A.; Hamza, A.V.; Abraham, F.F. Size effect on the mechanical behavior of nanoporous Au. Nano Lett. 2006, 6, 2379–2382. [Google Scholar] [CrossRef] [PubMed]
- Jin, H.J.; Kurmanaeva, L.; Schmauch, J.; Rösner, H.; Ivanisenko, Y.; Weissmüller, J. Deforming nanoporous metal: Role of lattice coherency. Acta Mater. 2009, 57, 2665–2672. [Google Scholar] [CrossRef]
- Wang, K.; Weissmüller, J. Composites of nanoporous gold and polymer. Adv. Mater. 2013, 25, 1280–1284. [Google Scholar] [CrossRef] [PubMed]
- Ngô, B.N.D.; Stukowski, A.; Mameka, N.; Markmann, J.; Albe, K.; Weissmüller, J. Anomalous compliance and early yielding of nanoporous gold. Acta Mater. 2015, 93, 144–155. [Google Scholar] [CrossRef]
- Ngô, B.-N.D.; Roschning, B.; Albe, K.; Weissmüller, J.; Markmann, J. On the origin of the anomalous compliance of dealloying-derived nanoporous gold. Scr. Mater. 2017, 130, 74–77. [Google Scholar] [CrossRef]
- Xia, R.; Wu, R.N.; Liu, Y.L.; Sun, X.Y. The role of computer simulation in nanoporous metals—A review. Materials 2015, 8, 5060–5083. [Google Scholar] [CrossRef] [PubMed]
- Saane, S.S.R.; Mangipudi, K.R.; Loos, K.U.; Hosson, J.T.M.D.; Onck, P.R. Multiscale modeling of charge-induced deformation of nanoporous gold structures. J. Mech. Phys. Solids. 2014, 66, 1–15. [Google Scholar] [CrossRef]
- Hu, K.; Ziehmer, M.; Wang, K.; Lilleodden, E.T. Nanoporous gold: 3D structural analyses of representative volume elements and their implications on scaling relations. Philos. Mag. 2016, 96, 3322–3335. [Google Scholar] [CrossRef]
- Roschning, B.; Huber, N. Scaling laws of nanoporous gold under uniaxial compression: Effects of structural disorder on the solid fraction, elastic Poisson’s ratio, Young’s modulus and yield strength. J. Mech. Phys. Solids. 2016, 92, 55–71. [Google Scholar] [CrossRef]
- Jiao, J.; Huber, N. Deformation mechanisms in nanoporous metals: Effect of ligament shape and disorder. Comput. Mater. Sci. 2016, 127, 194–203. [Google Scholar] [CrossRef][Green Version]
- Jiao, J.; Huber, N. Effect of nodal mass on macroscopic mechanical properties of nanoporous metals. IJMS 2017, 134, 234–243. [Google Scholar] [CrossRef]
- Gibson, L.J.; Ashby, M.F. Cellular Solids: Structure and Properties; Cambridge University Press: Cambridge, UK, 1997. [Google Scholar]
- Briot, N.J.; Balk, T.J. Developing scaling relations for the yield strength of nanoporous gold. Philos. Mag. 2015, 95, 2955–2973. [Google Scholar] [CrossRef]
- Liu, L.Z.; Ye, X.L.; Jin, H.-J. Interpreting anomalous low-strength and low-stiffness of nanoporous gold: Quantification of network connectivity. Acta Mater. 2016, 118, 77–87. [Google Scholar] [CrossRef]
- Liu, L.-Z.; Jin, H.-J. Scaling equation for the elastic modulus of nanoporous gold with “fixed” nework connectivity. Appl. Phys. Lett. 2017, 110, 211902. [Google Scholar] [CrossRef]
- Mangipudi, K.; Epler, E.; Volkert, C. Topology-dependent scaling laws for the stiffness and strength of nanoporous gold. Acta Mater. 2016, 119, 115–122. [Google Scholar] [CrossRef]
- Mangipudi, K.; Epler, E.; Volkert, C. Morphological similarity and structure-dependent scaling laws of nanoporous gold from different synthesis methods. Acta Mater. 2017, 140, 337–343. [Google Scholar] [CrossRef]
- Liu, R.; Antoniou, A. A relationship between the geometrical structure of a nanoporous metal foam and its modulus. Acta Mater. 2013, 61, 2390–2402. [Google Scholar] [CrossRef]
- Husser, E.; Soyarslan, C.; Bargmann, S. Size affected dislocation activity in crystals: Advanced surface and grain boundary conditions. EML 2017, 13, 36–41. [Google Scholar] [CrossRef]
- Pia, G.; Delogu, F. Mechanical Properties of Nanoporous Au: From Empirical Evidence to Phenomenological Modeling. Metals 2015, 5, 1665–1694. [Google Scholar] [CrossRef]
- Pia, G.; Delogu, F. Nanoporous Au: Statistical analysis of morphological features and evaluation of their influence on the elastic deformation behavior by phenomenological modeling. Acta Mater. 2015, 85, 250–260. [Google Scholar] [CrossRef]
- Lührs, L.; Zandersons, B.; Huber, N.; Weissmüller, J. Plastic Poisson’s ratio of nanoporous metals: A macroscopic signature of tension-compression asymmetry at the nanoscale. Nano Lett. 2017, 17, 6258–6266. [Google Scholar] [CrossRef] [PubMed]
- Mameka, N.; Markmann, J.; Weissmüller, J. On the impact of capillarity for strength at the nanoscale. Nat. Commun. 2017, 8, 1976. [Google Scholar] [CrossRef] [PubMed]
- Griffiths, E.; Bargmann, S.; Reddy, B.D. Elastic behaviour at the nanoscale of innovative composites of nanoporous gold and polymer. EML 2017, 17, 16–23. [Google Scholar] [CrossRef]
- Soyarslan, C.; Bargmann, S.; Pradas, M.; Weissmüller, J. 3D stochastic bicontinuous microstructures: Generation, topology and elasticity. Acta Mater. 2018, 149, 326–340. [Google Scholar] [CrossRef]
- Rösner, H.; Parida, S.; Kramer, D.; Volkert, C.; Weissmüller, J. Reconstructing a nanoporous metal in three dimensions: An electron tomography study of dealloyed gold leaf. Adv. Eng. Mater. 2007, 9, 535–541. [Google Scholar] [CrossRef]
- Ziehmer, M.; Hu, K.; Wang, K.; Lilleodden, E.T. A principle curvatures analysis of the isothermal evolution of nanoporous gold: Quantifying the characteristic length-scales. Acta Mater. 2016, 120, 24–31. [Google Scholar] [CrossRef]
- Schindelin, J.; Arganda-Carreras, I.; Frise, E. Fiji: An open-source platform for biological-image analysis. Nat. Methods 2012, 9, 676–682. [Google Scholar] [CrossRef] [PubMed]
- Arganda-Carreras, I.; Fernandez-Gonzalez, R.; Munoz-Barrutia, A.; Ortiz-De-Solorzano, C. 3D reconstruction of histological sections: Application to mammary gland tissue. Microsc. Res. Tech. 2010, 73, 1019–1029. [Google Scholar] [CrossRef] [PubMed]
- Lee, T.C.; Kashyap, R.L.; Chu, C.N. Building skeleton models via 3-D medial surface/axis thinning algorithms. CVGIP Graph. Model. Image Process. 1994, 56, 462–478. [Google Scholar] [CrossRef]
- Dougherty, R.P.; Kunzelmann, K.-H. Computing local thickness of 3D structures with ImageJ. Microsc. Microanal. 2007, 13, 1678–1679. [Google Scholar] [CrossRef]
- Hildebrand, T.; Rüegsegger, P. A new method for the model-independent assessment of thickness in three-dimensional images. J. Microsc. 1997, 185, 67–75. [Google Scholar] [CrossRef]
- Abaqus User Manual, V6.14-1; Dassault Systèmes: Providence, RI, USA, 2014.
- Fujita, T.; Qian, L.-H.; Inoke, K.; Erlebacher, J.; Chen, M.W. Three-dimensional morphology of nanoporous gold. Appl. Phys. Lett. 2008, 92, 251902. [Google Scholar] [CrossRef]
- Maier, J.; Black, M.; Bonaretti, S.; Bier, B.; Eskofier, B.; Choi, J.H.; Levenston, M.; Gold, G.; Fahrig, R.; Maier, A. Comparison of different approaches for measuring tibial cartilage thickness. JIB 2017, 14, 20170015. [Google Scholar] [CrossRef] [PubMed]
- Skeletonize3D—ImageJ. Available online: https://imagej.net/Skeletonize3D (accessed on 5 June 2017).
- Doube, M.; Kłosowski, M.M.; Arganda-Carreras, I.; Cordelières, F.P.; Dougherty, R.P.; Jackson, J.S.; Schmid, B.; Hutchinson, J.R.; Shefelbine, S.J. BoneJ: Free and extensible bone image analysis in ImageJ. Bone 2010, 47, 1076–1079. [Google Scholar] [CrossRef] [PubMed]










| Shape | Concave | Convex | S-Shape | Cylindrical (10%) |
|---|---|---|---|---|
| Count | 200 (+64 cyl.) | 31 (+22 cyl.) | 370 (+102 cyl.) | 192 |
| FEM Model | E [MPa] | [MPa] |
|---|---|---|
| SBM straight B31 | 650 | 13.2 |
| SBM 5V/E B31 | 480 | 8.0 |
| SBM 5V/E B32 | 480 | 7.8 |
| SBM 1V/E B31 | 370 | 5.5 |
| Solid C3D10 | 370 | 3.9 |
| 0.91 | 0.86 | 0.80 | 0.72 | 0.64 | |
|---|---|---|---|---|---|
| 1.14 | 1.20 | 1.28 | 1.30 | 1.32 | |
| 1.30 | 1.44 | 1.57 | 1.56 | 1.56 | |
| 1.43 | 1.70 | 2.35 | 4.21 | 8.75 |
© 2018 by the authors. Licensee MDPI, Basel, Switzerland. This article is an open access article distributed under the terms and conditions of the Creative Commons Attribution (CC BY) license (http://creativecommons.org/licenses/by/4.0/).
Share and Cite
Richert, C.; Huber, N. Skeletonization, Geometrical Analysis, and Finite Element Modeling of Nanoporous Gold Based on 3D Tomography Data. Metals 2018, 8, 282. https://doi.org/10.3390/met8040282
Richert C, Huber N. Skeletonization, Geometrical Analysis, and Finite Element Modeling of Nanoporous Gold Based on 3D Tomography Data. Metals. 2018; 8(4):282. https://doi.org/10.3390/met8040282
Chicago/Turabian StyleRichert, Claudia, and Norbert Huber. 2018. "Skeletonization, Geometrical Analysis, and Finite Element Modeling of Nanoporous Gold Based on 3D Tomography Data" Metals 8, no. 4: 282. https://doi.org/10.3390/met8040282
APA StyleRichert, C., & Huber, N. (2018). Skeletonization, Geometrical Analysis, and Finite Element Modeling of Nanoporous Gold Based on 3D Tomography Data. Metals, 8(4), 282. https://doi.org/10.3390/met8040282

