The Effects of Metalloid Elements on the Nanocrystallization Behavior and Soft Magnetic Properties of FeCBSiPCu Amorphous Alloys
Abstract
:1. Introduction
- Primary nanocrystallization of α-Fe has to be carefully controlled. In general, small sizes, high density, and homogenous distribution of α-Fe are beneficial for achieving large magnetization. In other words, nucleation of α-Fe should be stimulated, while its growth rate should be retarded.
- Annealing usually tends to embrittle Fe-based MGs; the higher the annealing temperature, the more brittle the MGs would become. Therefore, precipitation of α-Fe at low temperatures is beneficial and preferred.
- The stability of the residual amorphous matrix should be insufficiently high so that the formation of hard magnetic phases such as Fe3(B,C,P) can be avoided.
2. Materials and Methods
3. Results and Discussion
3.1. Thermal Stability
3.2. Soft Magnetic Properties
4. Conclusions
- C and B have similar influences on the crystallization behavior of investigated alloys. Increasing C or B leads to the increasing of Tx1, while the Tx2 remains unchanged. Increasing Si content results in the increasing of both Tx1 and Tx2. However, the increase of P content enhances Tx1 and makes Tx2 shift to lower temperature.
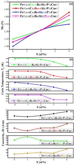
- When the content of the metalloid elements is increased, MS has a decreasing trend for all as-prepared ribbons. The dependence of MS on the metalloid elements contents could be explained from the standpoint of the interactions between sp orbitals of metalloid elements and 3d electrons of Fe by increasing the content of metalloid elements.
- For FeCBSiPCu MGs, Curie temperature declines gradually by decreasing the metalloid elements. However, the effects of metalloid elements on the Curie temperature of FeCBSiPCu MGs are not remarkable if the content of metalloid elements reaches a relatively high value.
- The effects of metalloids on coercivity are closely related to their roles on the GFA. If their addition is beneficial for glass formation, then the coercivity value of the resultant glassy alloys will be reduced.
Acknowledgments
Author Contributions
Conflicts of Interest
References
- Inoue, A.; Zhang, T.; Takeuchi, A. Bulk amorphous alloys with high mechanical strength and good soft magnetic properties in Fe–TM–B (TM = IV–VIII group transition metal) system. Appl. Phys. Lett. 1997, 71, 464–466. [Google Scholar] [CrossRef]
- Borrego, J.M.; Conde, A.; Roth, S.; Eckert, J. Glass-forming ability and soft magnetic properties of FeCoSiAlGaPCB amorphous alloys. J. Appl. Phys. 2002, 92, 2073–2078. [Google Scholar] [CrossRef]
- Jiao, Z.B.; Li, H.X.; Gao, J.E.; Wu, Y.; Lu, Z.P. Effects of alloying elements on glass formation, mechanical and soft-magnetic properties of Fe-based metallic glasses. Intermetallics 2011, 19, 1502–1508. [Google Scholar] [CrossRef]
- Yang, X.H.; Ma, X.H.; Li, Q.; Guo, S.F. The effect of Mo on the glass forming ability, mechanical and magnetic properties of FePC ternary bulk metallic glasses. J. Alloys Compd. 2013, 554, 446–449. [Google Scholar] [CrossRef]
- Onodera, R.; Kimura, S.; Watanabe, K.; Yokoyama, Y.; Makino, A.; Koyama, K. Nucleation control for fine nano crystallization of Fe-based amorphous alloy by high-magnetic-field annealing. J. Alloys Compd. 2015, 637, 213–218. [Google Scholar] [CrossRef]
- Figueroa, E.; Lundgren, L.; Beckman, O.; Bhagat, S.M. The anomalous magnetization of amorphous metglas 2826-A. Solid State Commun. 1976, 20, 961–964. [Google Scholar] [CrossRef]
- Yoshizawa, Y.; Oguma, S.; Yamauchi, K. New Fe-based soft magnetic alloys composed of ultrafine grain structure. J. Appl. Phys. 1988, 64, 6044–6046. [Google Scholar] [CrossRef]
- Suzuki, K.; Kataoka, N.; Inoue, A.; Makino, A.; Masumoto, T. High saturation magnetization and soft magnetic properties of bcc Fe–Zr–B alloys with ultrafine grain structure. Mater. Trans. JIM 1990, 31, 743–746. [Google Scholar] [CrossRef]
- Willard, M.A.; Laughlin, D.E.; McHenry, M.E.; Thoma, D.; Sickafus, K.; Cross, J.O.; Harris, V.G. Structure and magnetic properties of (Fe0.5Co0.5)88Zr7B4Cu1 nanocrystalline alloys. J. Appl. Phys. 1998, 84, 6773–6777. [Google Scholar] [CrossRef]
- Takenaka, K.; Nishiyama, N.; Setyawan, A.D.; Sharma, P.; Makino, A. Performance of a prototype power transformer constructed by nanocrystalline Fe-Co-Si-B-P-Cu soft magnetic alloys. J. Appl. Phys. 2015, 117, 17D519. [Google Scholar] [CrossRef]
- Hasegawa, R. Applications of amorphous magnetic alloys in electronic devices. J. Non-Cryst. Solids 2001, 287, 405–412. [Google Scholar] [CrossRef]
- Matsumoto, H.; Urata, A.; Yamada, Y.; Inoue, A. FePBNbCr soft-magnetic glassy alloys with low loss characteristics for inductor cores. J. Alloys Compd. 2010, 504, S139–S141. [Google Scholar] [CrossRef]
- Nishiyama, N.; Tanimoto, K.; Makino, A. Outstanding efficiency in energy conversion for electric motors constructed by nanocrystalline soft magnetic alloy “NANOMET®” cores. AIP Adv. 2016, 6, 055925. [Google Scholar] [CrossRef]
- Lei, C.; Lei, J.; Yang, Z.; Zhou, Y. Improved micro fluxgate sensor with double-layer Fe-based amorphous core. Microsyst. Technol. 2013, 19, 167–172. [Google Scholar] [CrossRef]
- Matsumoto, H.; Urata, A.; Yamada, Y.; Ioune, A. Novel FePBNbCr glassy alloys “SENNTIX” with good soft-magnetic properties for high efficiency commercial inductor cores. J. Alloys Compd. 2011, 509, S193–S196. [Google Scholar] [CrossRef]
- Sun, D.S.; Hong, S.M.; Jin, H.M.; Jin, L.; Kim, C.G.; Kim, C.O. Effect of P addition on microstructure and soft magnetic properties of Fe73.5−XNb3Cu1PXSi13.5B9 alloys. J. Magn. Magn. Mater. 2006, 304, e198–e200. [Google Scholar] [CrossRef]
- Cui, L.Y.; Men, H.; Makino, A.; Kubota, T.; Yubuta, K.; Qi, M. Effect of Cu and P on the crystallization behavior of Fe-rich hetero-amorphous FeSiB alloy. Mater. Trans. 2009, 50, 2515–2520. [Google Scholar] [CrossRef]
- Mizushima, T.; Makino, A.; Inoue, A. Influence of Si addition on thermal stability and soft magnetic properties for Fe–Al–Ga–P–C–B glassy alloys. J. Appl. Phys. 1998, 83, 6329–6331. [Google Scholar] [CrossRef]
- Chen, F.G.; Wang, Y.G. Investigation of glass forming ability, thermal stability and soft magnetic properties of melt-spun Fe83P16−xSixCu1 (x= 0, 1, 2, 3, 4, 5) alloy ribbons. J. Alloys Comps. 2014, 584, 377–380. [Google Scholar] [CrossRef]
- Suzuki, K.; Makino, A.; Kataoka, N.; Inoue, A.; Masumoto, T. High saturation magnetization and soft magnetic properties of bcc Fe–Zr–B and Fe–Zr–B–M (M = transition metal) alloys with nanoscale grain size. Mater. Trans. JIM 1991, 32, 93–102. [Google Scholar] [CrossRef]
- Wu, Y.; Hui, X.D.; Lu, Z.P.; Liu, Z.Y.; Liang, L.; Chen, G.L. Effects of metalloid elements on the glass-forming ability of Fe-based alloys. J. Alloys Comps. 2009, 467, 187–190. [Google Scholar] [CrossRef]
- Demetriou, M.D.; Kaltenboeck, G.; Suh, J.Y.; Garrett, G.; Floyd, M.; Crewdson, C.; Hofmann, D.C.; Kozachkov, H.; Wiest, A.; Schramm, J.P.; et al. Glassy steel optimized for glass-forming ability and toughness. Appl. Phys. Lett. 2009, 95, 041907. [Google Scholar] [CrossRef]
- Li, H.X.; Gao, J.E.; Wu, Y.; Jiao, Z.B.; Ma, D.; Stoica, A.; Wang, X.L.; Ren, Y.; Miller, M.K.; Lu, Z.P.; et al. Enhancing glass-forming ability via frustration of nano-clustering in alloys with a high solvent content. Sci. Rep. 2013, 3, 1983. [Google Scholar] [CrossRef] [PubMed]
- Miedema, A.R.; de Chatel, P.F.; de Boer, F.R. Cohesion in alloys—Fundamentals of a semi-empirical model. Phys. B+C 1980, 100, 1–28. [Google Scholar] [CrossRef]
- Lee, S.; Kato, H.; Kubota, T.; Yubuta, K.; Makino, A.; Inoue, A. Excellent thermal stability and bulk glass forming ability of Fe-B-Nb-Y soft magnetic metallic glass. Mater. Trans. 2008, 49, 506–512. [Google Scholar] [CrossRef]




| Alloys | X | Thermal Stability | Soft Magnetic Properties | ||||
|---|---|---|---|---|---|---|---|
| Tx1 (K) | Tx2 (K) | ΔTx (K) | MS (T) | TC (K) | HC (A/m) | ||
| Fe77.3+xC5.1−xB6.9Si2.7P7.3Cu0.7 | 0 | 746 | 795 | 49 | 1.45 | 630 | 9.8 |
| 1 | 726 | 792 | 66 | 631 | 8.0 | ||
| 2 | 709 | 791 | 82 | 1.51 | 628 | 11.1 | |
| 3 | 698 | 793 | 95 | 621 | 15.9 | ||
| 4 | 691 | 788 | 97 | 1.58 | 610 | 21.4 | |
| Fe77.3+xC3.1B8.9−xSi2.7P7.3Cu0.7 | 0 | 745 | 793 | 48 | 1.43 | 632 | 11.0 |
| 1 | 729 | 794 | 65 | 631 | 5.8 | ||
| 2 | 709 | 791 | 82 | 1.51 | 628 | 11.1 | |
| 3 | 699 | 793 | 94 | 610 | 12.0 | ||
| 4 | 683 | 791 | 108 | 1.63 | 601 | 20.2 | |
| Fe77.3+xC3.1B6.9Si4.7−xP7.3Cu0.7 | 0 | 752 | 802 | 50 | 1.40 | 638 | 11.5 |
| 1 | 728 | 796 | 68 | 634 | 26.2 | ||
| 2 | 709 | 791 | 82 | 1.51 | 628 | 11.1 | |
| 3 | 696 | 781 | 85 | 620 | 8.4 | ||
| 4 | 682 | 773 | 91 | 1.55 | 608 | 7.3 | |
| Fe77.3+xC3.1B6.9Si2.7P9.3−xCu0.7 | 0 | 746 | 774 | 28 | 1.43 | 628 | 5.4 |
| 1 | 721 | 783 | 62 | 628 | 8.2 | ||
| 2 | 709 | 791 | 82 | 1.51 | 628 | 11.1 | |
| 3 | 696 | 795 | 99 | 618 | 8.6 | ||
| 4 | 686 | 799 | 82 | 1.61 | 618 | 23.4 | |
© 2018 by the authors. Licensee MDPI, Basel, Switzerland. This article is an open access article distributed under the terms and conditions of the Creative Commons Attribution (CC BY) license (http://creativecommons.org/licenses/by/4.0/).
Share and Cite
Lu, Z.; Li, H.; Lei, Z.; Chang, C.; Wang, X.; Lu, Z. The Effects of Metalloid Elements on the Nanocrystallization Behavior and Soft Magnetic Properties of FeCBSiPCu Amorphous Alloys. Metals 2018, 8, 283. https://doi.org/10.3390/met8040283
Lu Z, Li H, Lei Z, Chang C, Wang X, Lu Z. The Effects of Metalloid Elements on the Nanocrystallization Behavior and Soft Magnetic Properties of FeCBSiPCu Amorphous Alloys. Metals. 2018; 8(4):283. https://doi.org/10.3390/met8040283
Chicago/Turabian StyleLu, Zhichao, Hongxiang Li, Zhifeng Lei, Chuntao Chang, Xianzhen Wang, and Zhaoping Lu. 2018. "The Effects of Metalloid Elements on the Nanocrystallization Behavior and Soft Magnetic Properties of FeCBSiPCu Amorphous Alloys" Metals 8, no. 4: 283. https://doi.org/10.3390/met8040283
APA StyleLu, Z., Li, H., Lei, Z., Chang, C., Wang, X., & Lu, Z. (2018). The Effects of Metalloid Elements on the Nanocrystallization Behavior and Soft Magnetic Properties of FeCBSiPCu Amorphous Alloys. Metals, 8(4), 283. https://doi.org/10.3390/met8040283

