Stress-Corrosion Cracking Behaviour of Lean-Duplex Stainless Steels in Chloride/Thiosulphate Environments
Abstract
:1. Introduction
2. Materials and Methods
- 20% NaCl in the absence and in the presence of sodium thiosulphate (Na2S2O3), at concentrations of 10−2 and 10−1 M, T = 80 °C (measured pH 6); or
- 5% NaCl + 0.5% CH3COOH (the basic standard solution NACE TM-0177 [35], without H2S gas) in the absence and in the presence of Na2S2O3 at concentrations of 10−3 and 10−2 M, T = 25 °C (measured pH 2.7).
3. Results
3.1. Microstructures of the Studied Alloys
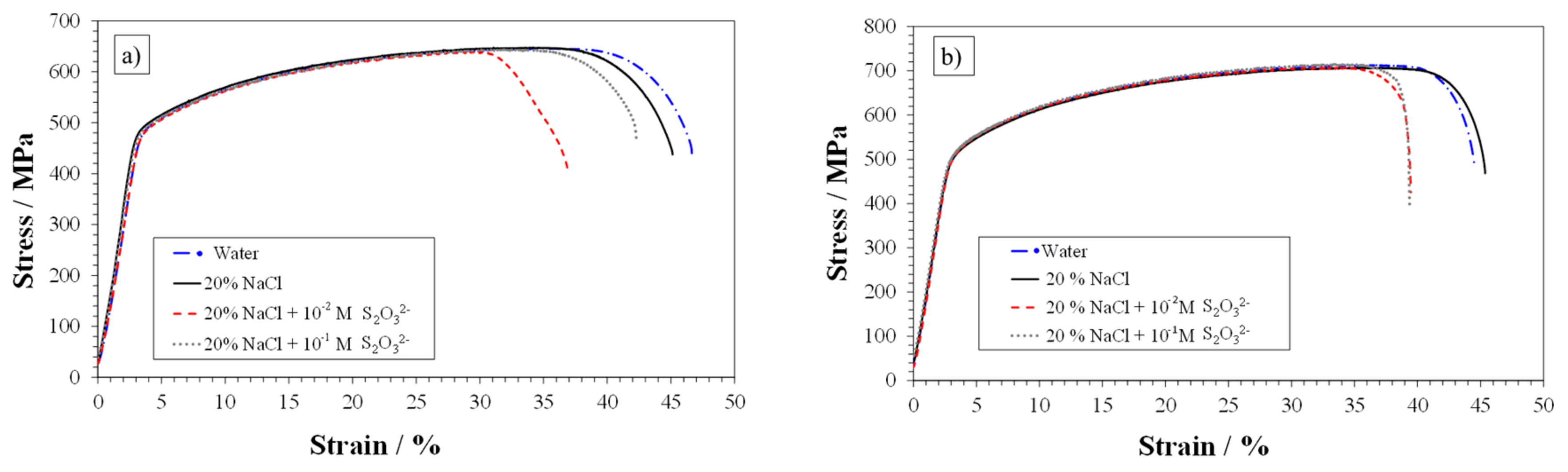
3.2. Slow Strain-Rate Test (SSRT) Results in 20% NaCl Solution at 80 °C without/with S2O32−
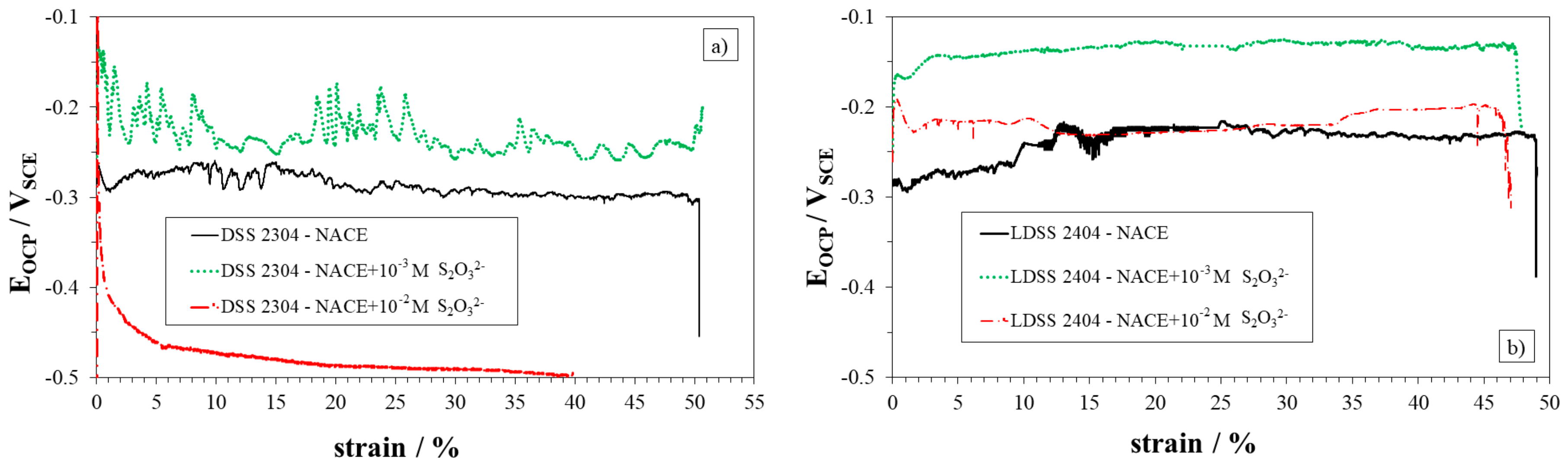
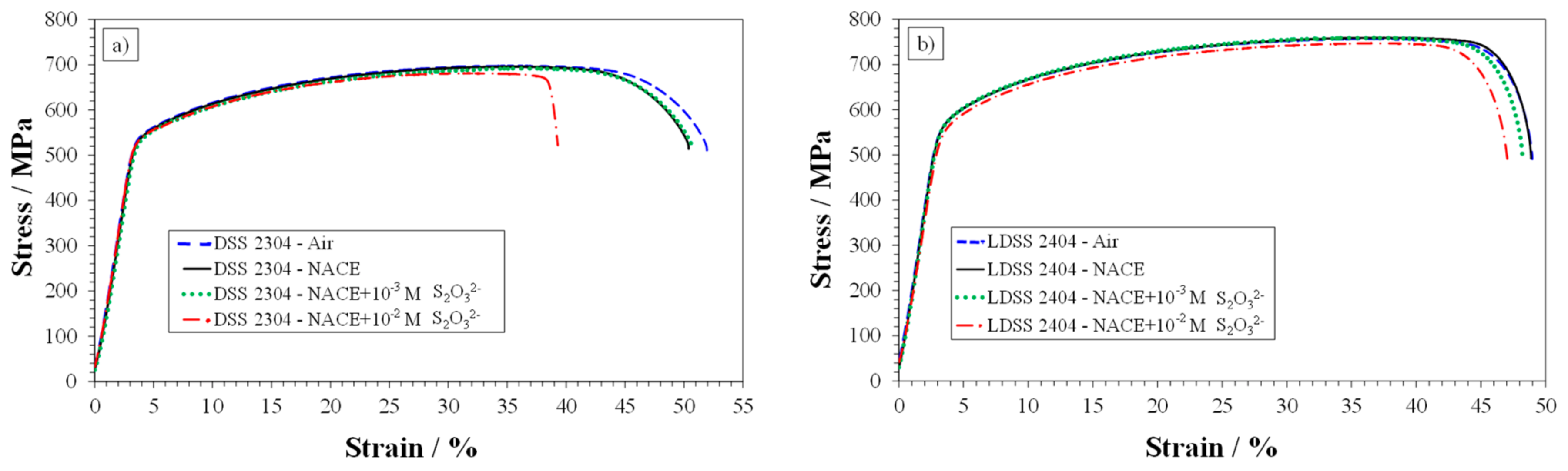
3.3. SSRT Results in NACE TM-0177 Solution at 25 °C without/with S2O32−
4. Conclusions
- During SSRT, the studied LDSS grades did not exhibit SCC in 20% NaCl solution at 80 °C and in NACE TM-0177 solution at 25 °C and pH 2.7, in the absence of S2O32−.
- The addition of S2O32− in 20% NaCl solution at 80 °C produced selective corrosion of the ferrite phase in all alloys.
- In 20% NaCl solution containing S2O32−, a selective corrosion attack on the ferrite phase was in competition with SCC. The latter corrosion form prevailed at the lowest tested S2O32− concentration (10−2 M) on both DSS 2304 and LDSS 2101. At 10−1 M, ferrite dissolution produced crack blunting and SCC was not observed. LDSS 2404 was immune to SCC at both S2O32− concentrations.
- In NACE TM-0177 solution at 25 °C and pH 2.7 containing S2O32−, no selective ferrite corrosion was observed. On LDSS 2101 and DSS 2304, the higher the S2O32− concentration, the stronger the alloy susceptibility to S-SCC. LDSS 2404 was immune to SCC.
- The SCC behaviour of the three alloys studied strongly depended on their composition. In particular, the presence of a significant amount of Mo increased the SCC resistance of LDSS 2404 in both environments, while the high Mn content in LDSS 2101 negatively affected the alloy SCC resistance in NACE TM-0177 solution containing S2O32−, where pits play an important role as crack initiators.
Acknowledgments
Author Contributions
Conflicts of Interest
References
- Charles, J.; Chemelle, P. The history of duplex developments, nowadays DSS properties and duplex market future trends. In Proceedings of the 8th Duplex Stainless Steels conference, Beaune, France, 13–15 October 2010. [Google Scholar]
- Bhattacharya, A.; Singh, P.M. Role of microstructure on the corrosion susceptibility of UNS S32101 duplex stainless steel. Corrosion 2008, 64, 532–540. [Google Scholar] [CrossRef]
- Jiang, Y.; Tan, H.; Wang, Z.; Hong, J.; Jiang, L.; Li, J. Influence of Creq/Nieq on pitting corrosion resistance and mechanical properties of UNS S32304 duplex stainless steel welded joints. Corros. Sci. 2013, 70, 252–259. [Google Scholar] [CrossRef]
- Johansson, E.; Pettersson, R. Lean Duplex Stainless Steel within the Oil and Gas Industry. In European Corrosion Congress; Gubkin Russian State University of Oil and Gas: Moscow, Russia, 2010; Volume 4, pp. 2869–2878. [Google Scholar]
- Kudo, T.; Tsuge, H.; Moroishi, T. Stress corrosion cracking resistance of 22 duplex stainless steel in simulated sour environments. Corrosion 1989, 45, 831–838. [Google Scholar] [CrossRef]
- El-Yazgi, A.A.; Hardie, D. Stress corrosion cracking of duplex and super duplex stainless steels in sour environments. Corros. Sci. 1998, 40, 909–930. [Google Scholar] [CrossRef]
- De Moraes, F.D.; Bastian, F.L.; Ponciano, J.A. Influence of dynamic straining on hydrogen embrittlement of UNS-G41300 and UNS-S31803 steels in a low H2S concentration environment. Corros. Sci. 2005, 47, 1325–1335. [Google Scholar] [CrossRef]
- Sozanska, M.; Kłyk-Spyra, K. Investigation of hydrogen induced cracking in 2205 duplex stainless steel in wet H2S environments after isothermal treatment at 675, 750 and 900 °C. Mater. Charact. 2006, 56, 399–404. [Google Scholar] [CrossRef]
- Liu, Z.Y.; Dong, C.F.; Li, X.G.; Zhi, Q.; Cheng, Y.F. Stress corrosion cracking of 2205 duplex stainless steel in H2S–CO2 environment. J. Mater. Sci. 2009, 44, 4228–4234. [Google Scholar] [CrossRef]
- Mukai, S.; Okamoto, H.; Kudo, T.; Ikeda, A. Corrosion behaviour of 25 Pct Cr duplex stainless steel in CO2–H2S–Cl– environments. J. Mater. Energy Syst. 1983, 5, 59–66. [Google Scholar] [CrossRef]
- Rhodes, P.R.; Welch, G.A.; Abrego, L. Stress corrosion cracking susceptibility of duplex stainless steels in sour gas environments. J. Mater. Energy Syst. 1983, 5, 3–18. [Google Scholar] [CrossRef]
- Schofield, M.J.; Bradshaw, R.; Cottis, R.A. Stress corrosion cracking of duplex stainless steel weldments in sour conditions. Mater. Perform. 1996, 35, 65–70. [Google Scholar]
- Cao, L.; Anderko, A.; Gui, F.; Sridhar, N. Localized corrosion of corrosion resistant alloys in H2S-Containing environments. Corrosion 2016, 72, 636–654. [Google Scholar] [CrossRef]
- Ruel, F.; Saedlou, S.; Mendibide, C.; Manchet, S.L.; Wolski, K. Effect of the substitution of Ni by N and Mn in Lean Duplex Stainless steels on Stress corrosion Cracking assisted by H2S. In NACE–International Corrosion Conference Series; National Association of Corrosion Engineers: Houston, TX, USA, 2017; pp. 3376–3387. [Google Scholar]
- Olsson, J.; Snis, M. Duplex—A new generation of stainless steels for desalination plants. Desalination 2007, 205, 104–113. [Google Scholar] [CrossRef]
- Snis, M.; Olsson, J. Reduce costs for storage and distribution of desalted water—Use duplex stainless steel. Desalination 2008, 223, 476–486. [Google Scholar] [CrossRef]
- Yang, Y.; Tan, H.; Zhang, Z.; Wang, Z.; Jiang, Y.; Jiang, L.; Li, J. Effect of annealing temperature on the pitting corrosion behavior of UNS S82441 duplex stainless steel. Corrosion 2013, 69, 167–173. [Google Scholar] [CrossRef]
- Zanotto, F.; Grassi, V.; Balbo, A.; Monticelli, C.; Zucchi, F. Stress corrosion cracking of LDX 2101® duplex stainless steel in chloride solutions in the presence of thiosulphate. Corros. Sci. 2014, 80, 205–212. [Google Scholar] [CrossRef]
- Zanotto, F.; Grassi, V.; Merlin, M.; Balbo, A.; Zucchi, F. Effect of brief heat treatments performed between 650 and 850 °C on corrosion behaviour of a lean duplex stainless steel. Corros. Sci. 2015, 94, 38–47. [Google Scholar] [CrossRef]
- Zanotto, F.; Grassi, V.; Zucchi, F.; Merlin, M.; Balbo, A.; Monticelli, C. Effect of sensitization on stress corrosion cracking behaviour of LDX 2101 stainless steel. La Metallurgia Italiana 2016, 108, 24–33. [Google Scholar]
- Zanotto, F.; Grassi, V.; Balbo, A.; Monticelli, C.; Melandri, C.; Zucchi, F. Effect of brief thermal aging on stress corrosion cracking susceptibility of LDSS 2101 in the presence of chloride and thiosulphate ions. Corros. Sci. 2018, 130, 22–30. [Google Scholar] [CrossRef]
- Tsujikawa, S.; Miyasaka, A.; Ueda, M.; Ando, S.; Shibata, T.; Haruna, T.; Katahira, M.; Yamane, Y.; Aoki, T.; Yamada, T. Alternative for evaluating sour gas resistance of low-alloy steels and corrosion-resistant alloys. Corrosion 1993, 49, 409–419. [Google Scholar] [CrossRef]
- Tsujikawa, J. An alternative test method for evaluating the sour gas resistance of low-alloy steels and CRAs. In Proc. Corrosion ’92; NACE International: Huston, TX, USA, 1992; p. 45. [Google Scholar]
- Choudhary, L.; Macdonald, D.D.; Alfantazi, A. Role of thiosulfate in the corrosion of steels: A review. Corrosion 2015, 71, 1147–1168. [Google Scholar] [CrossRef]
- Kappes, M.; Frankel, G.S.; Sridhar, N.; Carranza, R.M. Reaction Paths of Thiosulphate during Corrosion of Carbon Steel in Acidified Brines. J. Electrochem. Soc. 2012, 159, C195–C204. [Google Scholar] [CrossRef]
- Marcus, P.; Protopopoff, E. Thermodynamics of thiosulphate reduction on surfaces of iron, nickel and chromium in water at 25 and 300 °C. Corros. Sci. 1997, 39, 1741–1752. [Google Scholar] [CrossRef]
- Duret-Thual, C.; Costa, D.; Yang, W.P.; Marcus, P. The role of thiosulphates in the pitting corrosion of Fe–17Cr alloys in neutral chloride solution: electrochemical and XPS study. Corros. Sci. 1997, 39, 913–933. [Google Scholar] [CrossRef]
- Marcus, P.; Oudar, J. Corrosion Mechanism in Theory and Practice, 2nd ed.; Marcel Dekker Inc.: New York, NY, USA, 1995; pp. 240–248. ISBN 0-8247-0666-8. [Google Scholar]
- Newman, R.C.; Isaacs, H.S.; Alman, B. Effect of sulfur compounds on the pitting behavior of type 304 stainless steel in near-neutral chloride solutions. Corrosion 1982, 38, 261–264. [Google Scholar] [CrossRef]
- Marcus, P.; Oudar, J. Corrosion Mechanism in Theory and Practice, 2nd ed.; Marcel Dekker Inc.: New York, NY, USA, 1995; pp. 342–346. ISBN 0-8247-0666-8. [Google Scholar]
- Canderyd, C.; Pettersson, R. UNS S82441—A new duplex stainless steel grade for the process industries. In NACE–International Corrosion Conference Series; National Association of Corrosion Engineers: Houston, TX, USA, 2012; Volume 5, pp. 4081–4090. [Google Scholar]
- Lo, K.H.; Shek, C.H.; Lai, J.K.L. Recent developments in stainless steels. Mater. Sci. Eng. R 2009, 65, 39–104. [Google Scholar] [CrossRef]
- Garfias-Mesias, L.F.; Sykes, J.M.; Tuck, C.D.S. The effect of phase compositions on the pitting corrosion of 25 Cr duplex stainless steel in chloride solutions. Corros. Sci. 1996, 38, 1319–1330. [Google Scholar] [CrossRef]
- Jones, R.H.; Ricker, R.E. Stress-Corrosion Cracking. In Corrosion, Metals Handbook, 9th ed.; ASM International: Geauga County, OH, USA, 1988; Volume 13, p. 262. [Google Scholar]
- NACE standard TM-0177-90 Standard Test Method Laboratory Testing of Metals for Resistance to Sulfide Stress Cracking in H2S Environments; NACE International: Huston, TX, USA, 1990.
- Zucchi, F.; Trabanelli, G.; Grassi, V. Stress corrosion cracking of 13% Cr martensitic steels in sodium chloride solutions in the presence of thiosulphate. Mater. Corros. 2000, 51, 207–212. [Google Scholar] [CrossRef]
- “Duplex, Lean Duplex and Super Duplex Stainless Steels—Twice as Strong as Austenitics”. Available online: http://www.outokumpu.com/en/products-properties/more-stainless/stainless-steel-types/duplex/Pages/default.aspx (accessed on 24 March 2018).
- Ezuber, H.M. Influence of temperature and thiosulfate on the corrosion behaviour of steel in chloride solutions saturated in CO2. Mater. Des. 2009, 30, 3420–3427. [Google Scholar] [CrossRef]
- Bellezze, T.; Giuliani, G.; Viceré, A.; Roventi, G. Study of stainless steels corrosion in a strong acid mixture. Part 2: anodic selective dissolution, weight loss and electrochemical impedance spectroscopy tests. Corros. Sci. 2018, 130, 12–21. [Google Scholar] [CrossRef]
- Tsai, W.T.; Chen, J.R. Galvanic corrosion between the constituent phases in duplex stainless steel. Corros. Sci. 2007, 49, 3659–3668. [Google Scholar] [CrossRef]
- Lo, I.H.; Tsai, W.T. Effect of selective dissolution on fatigue crack initiation in 2205 duplex stainless steel. Corros. Sci. 2007, 49, 1847–1861. [Google Scholar]
- Femenia, M.; Pan, J.; Leygraf, G.; Luukkonen, P. In situ study of selective dissolution, of duplex stainless steel 2205 by electrochemical scanning tunnelling microscopy. Corros. Sci. 2001, 43, 1939–1951. [Google Scholar] [CrossRef]
- Marcus, P.; Moscatelli, M. The role of alloyed Molybdenum in the dissolution and passivation of nickel-molybdenum alloys in the presence of adsorbed sulfur. J. Electrochem. Soc. 1989, 136, 1634–1637. [Google Scholar] [CrossRef]
- Tomio, A.; Sagara, M.; Doi, T.; Amaya, H.; Otsuka, N.; Kudo, T. Role of alloyed molybdenum on corrosion resistance of austenitic Ni–Cr–Mo–Fe alloys in H2S–Cl–environments. Corros. Sci. 2015, 98, 391–398. [Google Scholar] [CrossRef]
- Wang, Y.; Singh, P.M. Corrosion Behaviour of Austenitic and Duplex Stainless Steels in Thiosulfate- and Chloride-Containing Environments. Corrosion 2015, 71, 937–944. [Google Scholar] [CrossRef]
- An, L.C.; Cao, J.; Wu, L.C.; Mao, H.H.; Yang, Y.T. Effects of Mo and Mn on Pitting Behavior of Duplex Stainless Steel. J. Iron Steel Res. Int. 2016, 23, 1333–1341. [Google Scholar] [CrossRef]
- Rondelli, G.; Vicentini, B.; Cigada, A. Influence of nitrogen and manganese on localized corrosion behaviour of stainless steels in chloride environments. Mater. Corros. 1995, 46, 628–632. [Google Scholar] [CrossRef]
- Zhang, W.; Jiang, L.Z.; Hu, J.C.; Song, H.M. Study of mechanical and corrosion properties of a Fe-21.4Cr-6Mn-1.5Ni-0.24N-0.6Mo duplex stainless steel. Mat. Sci. Eng. A 2008, 497, 501–504. [Google Scholar]
















| DSS | C | Mn | Cr | Ni | Mo | N | Fe | PREN |
|---|---|---|---|---|---|---|---|---|
| LDSS 2404 | 0.02 | 3.0 | 24 | 3.6 | 1.6 | 0.27 | bal. | 34 |
| DSS 2304 | 0.02 | - | 23 | 4.8 | 0.3 | 0.10 | bal. | 26 |
| LDSS 2101 | 0.03 | 5.0 | 21 | 1.5 | 0.3 | 0.22 | bal. | 26 |
| Test Solution | εf % | |
|---|---|---|
| DSS 2304 | LDSS 2404 | |
| water 80 °C | 47 ± 1 | 45 ± 1 |
| 20% NaCl | 45 ± 1 | 45 ± 2 |
| 20% NaCl + 10−2 M S2O32− | 37 ± 2 | 39 ± 3 |
| 20% NaCl + 10−1 M S2O32− | 42 ± 3 | 39 ± 3 |
© 2018 by the authors. Licensee MDPI, Basel, Switzerland. This article is an open access article distributed under the terms and conditions of the Creative Commons Attribution (CC BY) license (http://creativecommons.org/licenses/by/4.0/).
Share and Cite
Zanotto, F.; Grassi, V.; Balbo, A.; Monticelli, C.; Zucchi, F. Stress-Corrosion Cracking Behaviour of Lean-Duplex Stainless Steels in Chloride/Thiosulphate Environments. Metals 2018, 8, 237. https://doi.org/10.3390/met8040237
Zanotto F, Grassi V, Balbo A, Monticelli C, Zucchi F. Stress-Corrosion Cracking Behaviour of Lean-Duplex Stainless Steels in Chloride/Thiosulphate Environments. Metals. 2018; 8(4):237. https://doi.org/10.3390/met8040237
Chicago/Turabian StyleZanotto, Federica, Vincenzo Grassi, Andrea Balbo, Cecilia Monticelli, and Fabrizio Zucchi. 2018. "Stress-Corrosion Cracking Behaviour of Lean-Duplex Stainless Steels in Chloride/Thiosulphate Environments" Metals 8, no. 4: 237. https://doi.org/10.3390/met8040237
APA StyleZanotto, F., Grassi, V., Balbo, A., Monticelli, C., & Zucchi, F. (2018). Stress-Corrosion Cracking Behaviour of Lean-Duplex Stainless Steels in Chloride/Thiosulphate Environments. Metals, 8(4), 237. https://doi.org/10.3390/met8040237

