Abstract
The formation and characteristics of non-metallic inclusions in 304L stainless steel during the vacuum oxygen decarburization (VOD) refining process were investigated using industrial experiments and thermodynamic calculations. The compositional characteristics indicated that two types of inclusions with different sizes (from 1 μm to 30 μm) existed in 304L stainless steel during the VOD refining process, i.e., CaO-SiO2-Al2O3-MgO external inclusions, and CaO-SiO2-Al2O3-MgO-MnO endogenous inclusions. The calculation results obtained using the FactSage 7.1 software confirmed that the inclusions that were larger than 5 μm were mostly CaO-SiO2-Al2O3-MgO; the similarity in composition to the slag indicated that these inclusions originated from the slag entrapment. The CaO-SiO2-Al2O3-MgO-MnO inclusions that were smaller than 5 μm originated mainly from the oxidation reaction with Ca, Al, Mg, Si, and Mn. The changes in the inclusion composition resulting from changes in the Ca, Al, and O contents, and the temperature during the VOD refining process was larger for the smaller inclusions. Generating mechanisms for the CaO-SiO2-Al2O3-MgO-MnO inclusions in the 304L stainless steel were proposed.
1. Introduction
In recent years, 304L stainless steel has been rapidly developed, and it is widely used in shipbuilding, offshore drilling platform construction, metal structures for construction of buildings and bridges, containers and cisterns, flux-cored wire, and in industrial transport machinery engineering, petrochemical engineering, nuclear power engineering, etc. [1,2,3,4]. Because of its harsh application environment, the requirements for C, N, P, S, and O elements are stringent, the production is difficult, and the added value of the products is high. In addition to the control of the metal elements, the control of inclusions is also the key to improving the quality of 304L stainless steel.
The control of the composition, quantity, and size of the inclusions at the beginning of their formation is likely to become a new and effective method to reduce the harmful influence of the inclusions. Therefore, it is very important to investigate the source and formation mechanism of the inclusions [5,6,7,8,9,10,11,12,13,14,15,16,17,18]. The formation of non-metallic inclusions of Si-killed stainless steel during the GOR (gas oxygen refining) process has been reported by Li et al. [7]. The authors found that the inclusions that were larger than 5 μm and contained more than 30% CaO were attributed to the modification of slag droplets through the oxidation of Si and Al and the collision with deoxidation-type inclusions; in addition, the degree of change was larger for the smaller inclusions. A tracer was used by Kim et al. [8] to determine the source of the large inclusions (larger than 20 μm) in 304 stainless steel, and it was found that these inclusions originated from the slag entrapment. This result was confirmed by the study of Ehara et al. [9], who also pointed out that the oxidation of Si and Al on the surface of slag inclusions can lead to the increase in the SiO2 and Al2O3 contents. Yin et al. [10] reported that after de-oxidation with Si/Mn additions, spherical complex inclusions mainly consisting of calcium silicates were observed. The contents of MgO and Al2O3 in these inclusions continuously increased as the steel moved from the argon–oxygen decarburization (AOD) through ladle processing to the tundish. Park et al. [11] reported that the inclusions mainly consisted of Al2O3 when the Al content was higher than 0.05%. Ren et al. [12] pointed out that a high-basicity slag improved the cleanness of stainless steel, whereas a low basicity slag lowered the Al2O3 content in the inclusions, thereby lowering the melting temperature of the inclusions and improving the deformability of the inclusions. This result was confirmed by the studies of Yan et al. [13,14] and Sakata [15].
However, in previous studies on the formation of inclusions, only a single factor was considered, namely external inclusions or endogenous inclusions. The formation mechanism of both types of inclusions has not been clarified to date. In the present study, the 304L stainless steel was produced by the process route of basic oxygen furnace (BOF)–AOD–vacuum oxygen decarburization (VOD)–ladle furnace (LF)–continuous casting (CC). The characteristics and generating mechanism of the inclusions during the VOD refining process were investigated using industrial experiments and thermodynamic calculations with FactSage 7.1 software; in addition, a formation mechanism for non-metallic inclusions occurring in the VOD refining process was proposed.
2. Experiments
2.1. Experimental Procedure and Sampling
The smelting process route of 304L stainless steel consisted of BOF–AOD–VOD–LF–CC. The molten iron from the blast furnace was used as the raw material, and it was directly poured into the AOD furnace for decarburization and denitrification treatments after the dephosphorization pre-treatment; the target values of the carbon and nitrogen content were 0.30–0.50% and less than 0.08%, respectively and ferrosilicon was used for the Cr reduction in the AOD process. The slag was tapped after the AOD process, and then the ladle (the refractory material was magnesia-calcium) was hung to the VOD for deep decarburization and denitrification; ferrosilicon was used for Cr reduction in the VOD process, and subsequently, the liquid steel was poured into the LF furnace. When the temperature and composition of the liquid steel met the requirements, it was transported to the platform for CC.
The VOD consists of three stages: (i) oxygen blowing: oxygen was blown onto the melt at 1000–1500 m3/h for 40–60 min. Argon was injected at 200–600 L/min through two porous bricks at the bottom of the ladle. Lime was charged to form a basic slag. The total pressure was maintained at between 2.6 and 16 kPa; (ii) vacuum carbon deoxidation (VCD): the total pressure was reduced to between 26.6 and 66.5 Pa for 10–15 min without any additions of oxygen, fluxes, or ferroalloys. The bottom stirring argon flow rate was increased to 800–1000 L/min because at this stage of very low carbon contents, the decarburization is controlled by the rate of mass transfer of carbon and oxygen in the bath. The oxygen content was 0.015% after the VCD stage; (iii) reduction: ferrosilicon was added as a reducing agent for the chromium oxide in the slag. The aluminum content of the ferrosilicon was 1.3%. The final steel temperature was 1600 °C.
In order to elucidate the formation of the nonmetallic inclusions in the 304L stainless steel, a steel sample was taken at the end of the VOD and was immediately quenched in water. A slag sample was taken after the VOD treatment.
2.2. Composition Analysis and Inclusion Characterization
The chemical composition of the steel samples were determined by a direct reading of the spectrum (ARL4460, Thermo Fisher Scientific, Waltham, MA, USA). The contents of C and S were analyzed by a C/S analyzer (CS-800, ELTRA, Haan, Germany). Cylinders (Ф 5 mm × 5 mm) were machined for the measurement of the total oxygen contents, which were analyzed using the inert gas fusion–infrared absorptiometry method. The acid-soluble Al and Ca contents in the steel were determined using the inductively coupled plasma optical emission spectroscopy method (ICP-OES). The composition of the slags was analyzed by an X-ray fluo-rescence spectrometer (ARL PERFORM’X, Thermo Fisher Scientific, Waltham, MA, USA).
The morphologies of the inclusions in the specimens were observed using scanning electron microscopy (Merlin Compact, Zeiss, Gottingen, Germany) (SEM). The 15 mm × 15 mm × 10 mm samples for the SEM analysis were made by cutting, grinding, and polishing. The chemical compositions of the inclusions were analyzed with an energy dispersive spectrometer (X-Max 80, Oxford Instruments, High Wycombe, UK) (EDS) to determine the inclusion type. A quantitative analysis of the inclusions was performed using the INCA software (Inca Energy 250, Oxford Instruments, High Wycombe, UK) of the scanning electron microscope. To ensure good accuracy for the automated EDS analysis of the inclusions, the size of the inclusions was larger than 1 μm because the interaction volume may spread into the steel and excite electrons from the environment surrounding the inclusions if the diameters are smaller than 1 μm.
3. Results
3.1. Composition of the Molten Steel and Slag
The averages of the chemical compositions of the molten steel and slag after the VOD stage are listed in Table 1 and Table 2, respectively. It can be seen that after the VOD treatment, the contents of C and N in steel were 0.008% and 0.015% respectively. The oxygen content and sulfur content were higher because of deep degassing. The S content after VOD reached 30 ppm, indicating that the oxygen potential was higher in the molten steel, which was consistent with the conclusion drawn from the test results of the slag. Conversely, the slag and steel continuously reacted with each other during the VOD refining process, and the slag–steel balance was finally achieved. The contents of Cr2O3 and FeO in the slag were much higher after VOD refining, and were 0.43% and 0.15%, respectively.
Table 1.
Chemical composition of 304L after vacuum oxygen decarburization (VOD) treatment (wt %).
Table 2.
Chemical composition of 304L slag after VOD treatment (wt %).
3.2. Characterization of the Inclusions
The morphology and the compositions of the inclusions in the molten steel after the VOD process are shown in Figure 1. It was observed that two types of inclusions existed in the 304L steel after the VOD process. The first type of inclusions were spherical CaO-SiO2-Al2O3-MgO with sizes ranging from several to tens of microns at the end of the VOD smelting (Figure 1a). These inclusions contained a small amount of aluminum. The second type consisted of endogenous inclusions with a size smaller than 5 μm, and a different composition. The common types of inclusions were CaO-SiO2-Al2O3-MgO-MnO, which represented the dominant type, as shown in Figure 1b.
Figure 1.
Morphology of typical inclusions encountered in the samples: (a) CaO-SiO2-MgO-Al2O3; (b) CaO-SiO2-Al2O3-MgO-MnO.
3.3. Corresponding Relation between the Size and Composition of the Inclusions
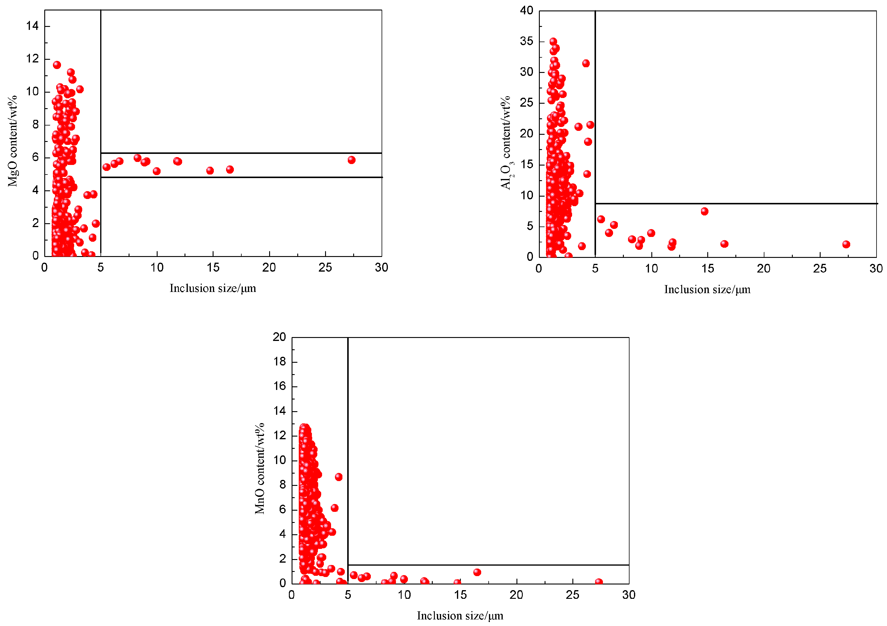
The mass fractions of CaO, SiO2, Al2O3, MgO, and MnO of the inclusions of various sizes were calculated using the mass fraction derived from the EDS, as shown in Figure 2. It can be clearly seen that the inclusion composition exhibited changes with the increase in size from 1 μm to 30 μm. Most inclusions were smaller than 5 μm. We created two categories based on the relationship between the size and mass percent of composition, i.e., larger than 5 μm and smaller than 5 μm. The inclusions that were larger than 5 μm had almost the same CaO, SiO2, MgO, and Al2O3 contents, but the MnO contents were very low. The composition differed for the inclusions that were smaller than 5 μm. The contents of SiO2, CaO, and Al2O3 fluctuated in a wide range from 0 to more than 30%. The MnO contents increased markedly from 0 to more than 10% as the size of the inclusions decreased. To correlate the compositions of inclusions (size smaller than 5 μm), the inclusions were plotted on the ternary system, as shown in Figure 3. It was shown that the inclusion quantity increased with the inclusion size decreasing. The contents of SiO2, CaO, and Al2O3 fluctuated in a wide range, but the contents of MgO and MnO had smaller variation of range.

Figure 2.
The relationship between inclusion size and inclusion content.
Figure 3.
Composition distributions (mass fraction) of inclusions (size smaller than 5 μm).
4. Discussion
The compositional characteristics shown in Figure 2 and Figure 3 indicate that two types of inclusions existed in the 304L stainless steel during the VOD refining process, i.e., the CaO-SiO2-Al2O3-MgO external inclusions that were larger than 5 μm, and the CaO-SiO2-Al2O3-MgO-MnO endogenous inclusions that were smaller than 5 μm. The composition of the inclusions in the same sample showed a large difference. Therefore, the source and the formation process of the inclusions are likely different; this is discussed in detail in the following sections.
4.1. Generating the Mechanism of CaO-SiO2-MgO-Al2O3 Inclusions
Figure 4 shows the CaO-SiO2-Al2O3 phase diagram of the inclusions (larger than 5μm) and their composition during the VOD process. The composition of the slag and the average composition of the inclusions are listed in the figure. It can be clearly seen that the compositions of the inclusions were in good agreement with slag composition. The inclusions consisted mostly of slag components, and they originated from slag entrapment. In addition, the Al2O3 contents in the inclusions were very low, and were very close to that of the slag. The MgO contents in the inclusions in the VOD process were also close to that of the slag. Therefore, it can be concluded that the inclusions that were larger than 5 μm during the VOD process were mainly derived from the entrapment of the top slag. The strong argon stirring in the VOD smelting causes the inclusions to be directly or indirectly in equilibrium between the molten steel and slag. Thus, the control of the inclusions can be achieved by controlling the slag composition. The CaO and SiO2 contents were higher in some inclusions. The main reason was that some inclusions such as CaSiO3 contain a higher content of SiO2, and Ca2SiO4 contains a higher content of CaO precipitated in the cooling process. The oxidations of Si and Al on the surfaces of some inclusions led to increases in the SiO2 and Al2O3 contents.
Figure 4.
Chemical composition of the inclusions (larger than 5 μm) and the slag during the VOD process.
Qian [19] reported that the flow velocity at the critical interface between the steel and slag was 0.65 m/s. When the flow velocity at the interface was larger than the critical velocity, droplets formed and were entrapped into the molten steel; the average size of the slag droplets from the top slag gradually decreased with increasing velocity at the interface.
The stirring intensity of the argon blowing during the VOD reduction stage was 800–1000 L/min, which was far stronger than the argon blowing intensity of 200–400 L/min during the LF stage [20,21]; therefore, the velocity at the interface between the steel and slag was greater than 2 m/s. The reaction between the slag and steel was very intense during the VOD refining process and the droplets were strongly mixed and changed into very small particles; as a result, the minimum size of the droplets during VOD refining was 5 μm.
4.2. Generating the Mechanism of CaO-SiO2-Al2O3-MgO-MnO Inclusions
Factsage (FactsageTM7.1, Thermfact/CRCT & GTT-Technologies, Aachen, Germany) was used for the thermodynamic calculations of the inclusions in the 304 L stainless steel during the VOD refining process; the databases FTmisc and FToxid were used, and the calculation module was Equilib with 100 g of molten steel. Due to the local non-uniformities of composition and temperature in molten steel during the VOD refining process, the elements with local fluctuations in concentrations in the molten steel had a wide range of concentrations and temperatures compared to the other components determined after the VOD. Figure 5 shows the inclusion composition as a function of the oxygen concentration when the Al content, Ca content, Mg content and the temperature is 0.004%, 0.002%, 0.0005%, and 1600 °C respectively. The CaO concentration exhibits a steady increasing trend with a decrease in the oxygen concentration, whereas the MgO and SiO2 concentrations exhibit a stable trend, and the MnO concentration decreases. However, the Al2O3 concentration remains steady at an oxygen concentration range from 0.015% to 0.011%, and then gradually decreases with decreasing oxygen content at oxygen concentrations of less than 0.011%. The oxygen concentration is at 150 ppm after the VOD refining process, and at this stage, the elements compete with each other for oxidation as ferrosilicon is added for deoxidation. During the alloying deoxidation, strong oxidizing elements such as Ca and Al react with and consume some of the oxygen. However, since the concentration of Si in the molten steel is high, the deoxidation reaction of Si also takes precedence. The Mg concentration is at a low level, resulting in a low concentration of MgO in the inclusion. Moreover, the remaining oxygen reacts with weak oxidizing elements such as Mn, leading to a small amount of MnO in the inclusions. With continuing deoxidation, the Al2O3 and MnO concentrations decrease, triggering an increase in the CaO. During the VOD refining process, the oxygen content fluctuates with the deoxidation reaction, causing the fluctuations in each component of the endogenous inclusions that are smaller than 5 μm.
Figure 5.
Inclusion composition as a function of the O content.
To determine the effect of Ca on the inclusions, the inclusion composition as a function of increasing Ca content was calculated using the FToxid and FTmisc databases of FactsageTM7.1 when the O content, Al content, Mg content, and the temperature is 0.007%, 0.004%, 0.0005%, and 1600 °C, respectively (Figure 6). It was observed that an increase in the Ca content results in an increase in the CaO and SiO2 contents, and a decrease in the Al2O3 content; however, the MgO and MnO contents did not change much. The Ca was mainly derived from the metal–slag reaction, the metal–refractory reaction, and the Ca from the FeSi alloy during the VOD refining process; this resulted in fluctuations in the Ca content. This is one reason for the fluctuations in the composition of the endogenous inclusions that are smaller than 5 μm.
Figure 6.
Inclusion composition as a function of the Ca content.
The inclusion composition as a function of the Al content is presented in Figure 7 when the O content, Ca content, Mg content, and the temperatures are 0.007%, 0.002%, 0.0005%, and 1600 °C respectively. It was observed that an increase in the Al content results in an increase in the Al2O3 content and a decrease in CaO and SiO2 contents; however, the MgO and MnO contents did not change much. With regard to the results described by Qian [18], it is worth noting that the Al content comes from the ferrosilicon. A large part of the aluminum reacts with oxygen to form Al2O3 inclusions, and the remaining aluminum is involved in the steel–slag reaction, thereby resulting in the fluctuation of the Al content. This is another reason for the fluctuations in the compositions of the endogenous inclusions that are smaller than 5 μm.
Figure 7.
Inclusion composition as a function of the Al content.
The temperature was 1550 °C at the beginning of the VOD process, the highest temperature was 1650 °C at the oxygen blowing stage, and the final steel temperature was 1600 °C; therefore, the temperature changed during the VOD refining process. The relationship between the inclusion composition and the temperature was calculated by using the FToxid and FTmisc databases of FactsageTM7.1 when the O content, Ca content, Mg content, and the Al content were 0.007%, 0.002%, 0.0005% and 0.004%, respectively, and the result are shown in Figure 8. It can be seen that each inclusion composition changes with the changing temperature. The CaO content in the inclusion first increases and then decreases. The Al2O3 and MgO contents first decrease from 1650 °C to 1610 °C, and then increase. The change trends of MgO and SiO2 in the inclusion are just the opposite. The MnO content increases gradually with the decrease in the temperature. The oxidation reaction with Ca, Al, Mg, Si, and Mn are exothermic, so that all of the reactions will occur as the temperature decreases. However, since Ca is a strong oxidizing element, and the concentration of Si in the molten steel is high, the deoxidation reaction of Ca and Si takes precedence. The CaO and SiO2 contents in the inclusion increase, while the Al2O3 and MgO contents in the inclusion decrease. With continuing deoxidation, the CaO and SiO2 concentrations decrease relatively, triggering an increase in Al2O3 and MgO. The change in the temperature during the VOD refining process is one important reason for the fluctuations in the composition of the endogenous inclusions that are smaller than 5 μm.
Figure 8.
Inclusion composition as a function of the temperature.
The schematic illustration of the formation mechanism of the CaO-SiO2-Al2O3-MgO-MnO inclusions is shown in Figure 9. The oxidation of Si and Al and the collision result in the modification of the smaller-sized inclusions; the reactions are shown in Equations (1)–(3). The source of the total contents of Ca and Mg mainly comes from the addition of FeSi and the reduction of CaO and MgO in the slag or refractory. The appearance of MnO in the inclusions is related to the VOD process; the high oxygen and manganese contents in the liquid steel in part lead to these inclusions.
Figure 9.
Schematic illustration of the formation mechanism of the CaO-SiO2-Al2O3-MgO-MnO inclusions.
5. Conclusions
(1) The compositional characteristics indicated that two types of inclusions with different sizes existed in the 304L stainless steel during the VOD refining process, namely, CaO-SiO2-Al2O3-MgO external inclusions with sizes ranging from several to tens of microns, and CaO-SiO2-Al2O3-MgO-MnO endogenous inclusions with sizes smaller than 5 μm. The main inclusion type was CaO-SiO2-Al2O3-MgO-MnO.
(2) The inclusion composition changed with an increasing size of the inclusions from 1 μm to 30 μm. Most of the inclusions were smaller than 5 μm.
(3) The inclusions that were larger than 5 μm were mostly CaO-SiO2-Al2O3-MgO; the similarity in composition to the slag indicated that these inclusions originated from slag entrapment. The CaO-SiO2-Al2O3-MgO-MnO inclusions that were smaller than 5 μm mostly originated from an oxidation reaction with Ca, Al, Mg, Si, and Mn. The changes in the inclusion composition resulting from changes in the Ca, Al, and O contents, and the temperatures during the VOD refining process were larger for the smaller inclusions.
Author Contributions
Conceptualization, G.C.; Methodology, X.C. and J.L.; Software, J.L. and Y.H.; Validation, X.C., J.L. and Y.H.; Formal Analysis, X.C.; Investigation, X.C.; Resources, X.C.; Data Curation, X.C.; Writing-Original Draft Preparation, X.C; Writing-Review & Editing, Y.H.; Visualization, X.C.; Supervision, G.C.; Project Administration, J.P. and Q.R.
Funding
This research received no external funding.
Acknowledgments
The authors gratefully express their appreciation towards the National Nature Science Foundation of China (Grant No. 51374020), the State Key Laboratory of Advanced Metallurgy at University of Science and Technology Beijing (USTB), and Jiuquan Iron and Steel Group Corporation for supporting this work.
Conflicts of Interest
The authors declare no conflict of interest.
References
- Chen, X.; Pan, J. Analysis on microstructure and inclusions of slab surface layer in 304L stainless steel. Contin. Casting 2018, 43, 44–48. [Google Scholar]
- Momeni, A.; Abbasi, S.M. Repetitive Thermomechanical processing towards ultra fine grain structure in 301, 304 and 304L stainless steels. J. Mater. Sci. Technol. 2011, 27, 338–343. [Google Scholar] [CrossRef]
- Amine, T.; Kriewall, C.S.; Newkirk, J.W. Long-term effects of temperature exposure on SLM 304L stainless steel. JOM 2018, 70, 384–389. [Google Scholar] [CrossRef]
- Padhy, N.; Ningshen, S.; Panigrahi, B.K.; Mudali, U.K. Corrosion behaviour of nitrogen ion implanted AISI type 304L stainless steel in nitric acid medium. Corros. Sci. 2010, 52, 104–112. [Google Scholar] [CrossRef]
- Mizuno, K.; Todoroki, H.; Noda, M.; Tohge, T. Effects of Al and Ca in ferrosilicon alloys for deoxidation on inclusion composition in type 304 stainless steel. Iron Steelmak. 2001, 28, 93–101. [Google Scholar]
- Park, J.H.; Kang, Y.B. Effect of ferrosilicon addition on the composition of inclusions in 16Cr-14Ni-Si stainless steel melts. Metall. Mater. Trans. B 2006, 37, 791–797. [Google Scholar] [CrossRef]
- Li, L.; Cheng, G.; Hu, B.; Wang, C.; Qian, G. Formation of Non-metallic Inclusions of Si-killed Stainless Steel during GOR Refining Process. High Temp. Mater. Proc. 2018, 37, 521–529. [Google Scholar] [CrossRef]
- Kim, J.W.; Kim, S.K.; Kim, D.S.; Lee, Y.D.; Yang, P.K. Formation mechanism of Ca-Si-Al-Mg-Ti-O inclusions in type 304 stainless steel. ISIJ Int. 1996, 36, S140–S143. [Google Scholar] [CrossRef]
- Ehara, Y.; Yokoyama, S.; Kawakami, M. Control of formation of spinel inclusion in type 304 stainless steel by slag composition. Tetsu-to-Hagané 2007, 93, 475–482. [Google Scholar] [CrossRef]
- Yin, X.; Sun, Y.H.; Yang, Y.D.; Bai, X.F.; Deng, X.X.; Barati, M.; McLean, A. Inclusion evolution during refining and continuous casting of 316L stainless steel. Ironmak. Steelmak. 2016, 43, 533–540. [Google Scholar] [CrossRef]
- Park, J.H.; Lee, S.B.; Kim, D.S. Inclusion control of ferritic stainless steel by aluminum deoxidation and calcium treatment. Metall. Mater. Trans. B 2005, 36, 67–73. [Google Scholar] [CrossRef]
- Ren, Y.; Zhang, L.; Fang, W.; Shao, S.; Yang, J.; Mao, W. Effect of Slag Composition on Inclusions in Si-Deoxidized 18Cr-8Ni Stainless Steels. Metall. Mater. Trans. B 2016, 47, 1024–1034. [Google Scholar] [CrossRef]
- Yan, P.; Huang, S.; Pandelaers, L.; Van Dyck, J.; Guo, M.; Blanpain, B. Effect of the CaO-Al2O3 based top slag on the cleanliness of stainless steel during secondary metallrugy. Metall. Mater. Trans. B 2013, 44, 1105–1119. [Google Scholar] [CrossRef]
- Yan, P.; Huang, S.; Guo, M.; Blanpain, B. Desulphurisation and inclusion behaviour of stainless steel refining by using CaO-Al2O3 based slag at low sulphur levels. ISIJ Int. 2014, 54, 72–81. [Google Scholar] [CrossRef]
- Sakata, K. Technology for production of austenite type clean stainless steel. ISIJ Int. 2006, 46, 1795–1799. [Google Scholar] [CrossRef]
- Park, J.H.; Lee, S.B.; Gaye, H.R. Thermodynamics of the formation of MgO-Al2O3-TiOx inclusions in Ti-stabilized 11Cr ferritic stainless steel. Metall. Mater. Trans. B 2008, 39, 853–861. [Google Scholar] [CrossRef]
- Kang, Y.B.; Lee, H.G. Inclusions chemistry for Mn/Si deoxidized steels: Thermodynamic predictions and experimental confirmations. ISIJ Int. 2004, 44, 1006–1015. [Google Scholar] [CrossRef]
- Qian, G.; Qu, Z.; Cheng, G. Effect of Al in FeSi alloy on continuous casting and surface defect of stainless steel hot-rolled sheet. Iron Steel 2016, 51, 76–81. [Google Scholar]
- Qian, G. The Technologies and Theory of Desulfurization and Inclusion Control for 304 Stainless Steel on GOR Process. Ph.D. Thesis, University of Science and Technology Beijing, Beijing, China, 2015. [Google Scholar]
- Swinbourne, D.R.; Kho, T.S.; Langberg, D.; Blanpain, B.; Arnout, S. Understanding stainless steelmaking through computational thermodynamics Part 2–VOD converting. Miner. Process. Extr. Metall. 2010, 119, 107–115. [Google Scholar] [CrossRef]
- Wei, J.H.; Li, Y. Study on Mathematical Modeling of Combined Top and Bottom Blowing VOD Refining Process of Stainless Steel. Steel Res. Int. 2015, 86, 189–211. [Google Scholar] [CrossRef]
© 2018 by the authors. Licensee MDPI, Basel, Switzerland. This article is an open access article distributed under the terms and conditions of the Creative Commons Attribution (CC BY) license (http://creativecommons.org/licenses/by/4.0/).









