A Tool for Predicting the Effect of the Plunger Motion Profile on the Static Properties of Aluminium High Pressure Die Cast Components
Abstract
1. Introduction
2. Theoretical Concepts
- The geometry of the die [4,5,11,16,17]. Badly designed dies impose optimal plunger motion to improve quality since their shapes boost the generation of defects. This includes both the geometry of the cavity, as well as the position and the design of the nozzle. Hence, a large variability of the casting strength is obtained as the plunger motion varies. In contrast, optimized dies make the casting quality less sensitive to process parameters and therefore smaller drifts of the properties are expected when modifying the acceleration. Hence, coefficient , representing the variability of the achieved peak load, is strongly affected by the geometry of the die. Indeed, the slope of the fitting model will be low in the case of optimized geometries [6], while it will be steeper in the case of “defect-generating” dies like those adopted in this work and in [12,18]. Also, the friction between the die and the flowing metal has a similar effect: in the presence of high friction forces, the flow is perturbed unless a proper selection of the plunger motion profile is chosen, thus exacerbating the defect generation with badly planned plunger motion.
- The thermal properties of the casting system [18,19,20]. The temperatures of melt, chamber and die, besides the characteristics of thermoregulation and lubrication systems optimize heat removal by improving the microstructure of castings and hence the static strength. The thermal properties have an influence on both the coefficients since they affect the filling of the die cavity and the solidification of the melt, which in turn are related to the chemical composition of the alloy and the geometry of the die.
3. Experimental Assessment
3.1. Description of the Test Case
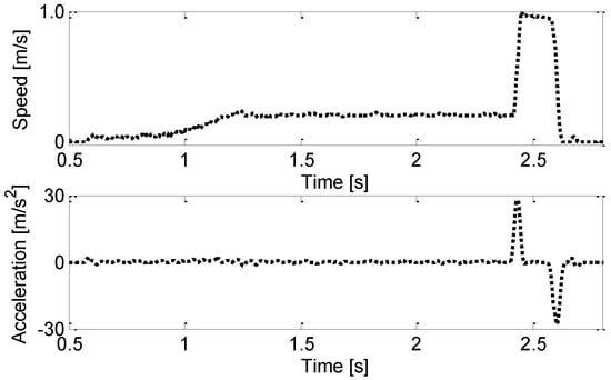
3.2. Analysis of the Shape of the Plunger Motion Profile
4. Results and Discussion
4.1. Prediction Model Application
4.2. Metallographic Analyses
5. Conclusions
Author Contributions
Funding
Acknowledgments
Conflicts of Interest
References
- Tian, C.; Law, J.; Van Der Touw, J.; Murray, M.; Yao, J.Y.; Graham, D.; John, D.S. Effect of melt cleanliness on the formation of porosity defects in automotive aluminium high pressure die castings. J. Mater. Process. Technol. 2002, 122, 82–93. [Google Scholar] [CrossRef]
- Bonollo, F.; Gramegna, N.; Timelli, G. High-pressure die-casting: Contradictions and challenges. JOM 2015, 67, 901–908. [Google Scholar] [CrossRef]
- Nunes, V.; Silva, F.J.G.; Andrade, M.F.; Alexandre, R.; Baptista, A.P.M. Increasing the lifespan of high-pressure die cast molds subjected to severe wear. Surf. Coat. Technol. 2017, 332, 319–331. [Google Scholar] [CrossRef]
- Pinto, H.; Silva, F.J.G. Optimisation of die casting process in Zamak alloys. Procedia Manuf. 2017, 11, 517–525. [Google Scholar] [CrossRef]
- Silva, F.J.G.; Campilho, R.D.S.G.; Ferreira, L.P.; Pereira, M.T. Establishing Guidelines to Improve the High-Pressure Die Casting Process of Complex Aesthetics Parts. In Transdisciplinary Engineering Methods for Social Innovation of Industry 4.0, Proceedings of the 25th ISPE Inc. International Conference on Transdisciplinary Engineering, Modena, Italy, 3–6 July 2018; Peruzzini, M., Pellicciari, M., Bil, C., Stjepandić, J., Wognum, N., Eds.; IOS Press: Modena, Italy, 2018; Volume 7, pp. 887–896. [Google Scholar]
- Fiorese, E.; Richiedei, D.; Bonollo, F. Improved metamodels for the optimization of high-pressure die casting process. Metall. Ital. 2016, 108, 21–24. [Google Scholar]
- Kittur, J.K.; Patel, G.M.; Parappagoudar, M.B. Modeling of pressure die casting process: An artificial intelligence approach. Int. J. Met. 2016, 10, 70–87. [Google Scholar] [CrossRef]
- Kittur, J.K.; Choudhari, M.N.; Parappagoudar, M.B. Modeling and multi-response optimization of pressure die casting process using response surface methodology. Int. J. Adv. Manuf. Technol. 2015, 77, 211–224. [Google Scholar] [CrossRef]
- Hsu, Q.C.; Do, A.T. Minimum porosity formation in pressure die casting by Taguchi method. Math. Prob. Eng. 2013, 2013, 1–9. [Google Scholar] [CrossRef]
- Verran, G.O.; Mendes, R.P.K.; Dalla Valentina, L.V.O. DOE applied to optimization of aluminum alloy die castings. J. Mater. Process. Technol. 2008, 200, 120–125. [Google Scholar] [CrossRef]
- Gunasegaram, D.R.; Givord, M.; O’Donnell, R.G.; Finnin, B.R. Improvements engineered in UTS and elongation of aluminum alloy high pressure die castings through the alteration of runner geometry and plunger velocity. Mat. Sci. Eng. A 2013, 559, 276–286. [Google Scholar] [CrossRef]
- Fiorese, E.; Bonollo, F. Plunger kinematic parameters affecting quality of high-pressure die-cast aluminum alloys. Metall. Mater. Trans. A. 2016, 47, 3731–3743. [Google Scholar] [CrossRef]
- Fiorese, E.; Richiedei, D.; Bonollo, F. Improving the quality of die castings through optimal plunger motion planning: Analytical computation and experimental validation. Int. J. Adv. Manuf. Technol. 2017, 88, 1475–1484. [Google Scholar] [CrossRef]
- Rana, R.S.; Purohit, R.; Das, S. Reviews on the influences of alloying elements on the microstructure and mechanical properties of aluminum alloys and aluminum alloy composites. Int. J. Sci. Res. Pub. 2012, 2, 1–7. [Google Scholar]
- Timelli, G.; Ferraro, S.; Grosselle, F.; Bonollo, F.; Voltazza, F.; Capra, L. Mechanical and microstructural characterization of diecast aluminium alloys. Metall. Ital. 2011, 103, 5–17. [Google Scholar]
- Chen, L.Q.; Liu, L.J.; Jia, Z.X.; Li, J.Q.; Wang, Y.Q.; Hu, N.B. Method for improvement of die-casting die: Combination use of CAE and biomimetic laser process. Int. J. Adv. Manuf. Technol. 2013, 68, 2841–2848. [Google Scholar] [CrossRef]
- Woon, Y.K.; Lee, K.S. Development of a die design system for die casting. Int. J. Adv. Manuf. Technol. 2004, 23, 399–411. [Google Scholar] [CrossRef]
- Fiorese, E.; Bonollo, F. Simultaneous effect of plunger motion profile, pressure, and temperature on the quality of high-pressure die-cast aluminum alloys. Metall. Mater. Trans. A 2016, 47, 6453–6465. [Google Scholar] [CrossRef]
- Helenius, R.; Lohne, O.; Arnberg, L.; Laukli, H.I. The heat transfer during filling of a high-pressure die-casting shot sleeve. Mat. Sci. Eng. A 2005, 413, 52–55. [Google Scholar] [CrossRef]
- Fiorese, E.; Bonollo, F.; Battaglia, E.; Cavaliere, G. Improving die casting processes through optimization of lubrication. Int. J. Cast Metal Res. 2017, 30, 6–12. [Google Scholar] [CrossRef]
- Richiedei, D.; Trevisani, A. Analytical computation of the energy-efficient optimal planning in rest-to-rest motion of constant inertia systems. Mechatronics 2016, 39, 147–159. [Google Scholar] [CrossRef]
- Winkler, M.; Kallien, L.; Feyertag, T. Correlation between process parameters and quality characteristics in aluminum high pressure die casting. In Proceedings of the NADCA Die Casting Congress and Exposition, Indianapolis, IN, USA, 5–7 October 2015. [Google Scholar]
- Richiedei, D. Synchronous motion control of dual-cylinder electrohydraulic actuators through a non-time based scheme. J. Control Eng. Appl. Infor. 2012, 14, 80–89. [Google Scholar]
- Aluminium and aluminium alloys—Classification of Defects and Imperfections in High Pressure, Low Pressure and Gravity Die Cast Products, Standard CEN/TR 16749:2014. Available online: https://standards.cen.eu/dyn/www/f?p=204:110:0::::FSP_PROJECT,FSP_ORG_ID:40881,6114&cs=162CFCA1F64C305985C493284607A06EB (accessed on 31 August 2018).
- Liefvendahl, M.; Stocki, R. A study on algorithms for optimization of Latin hypercubes. J. Stat. Plan. Inference 2006, 136, 3231–3247. [Google Scholar] [CrossRef]
- Laukli, H.I.; Gourlay, C.M.; Dahle, A.K.; Lohne, O. Effects of Si content on defect band formation in hypoeutectic Al-Si die castings. Mat. Sci. Eng. A 2005, 413, 92–97. [Google Scholar] [CrossRef]
- Gunasegaram, D.R.; Finnin, B.R.; Polivka, F.B. Melt flow velocity in high pressure die casting: Its effect on microstructure and mechanical properties in an Al-Si alloy. Mater. Sci. Technol. 2007, 23, 847–856. [Google Scholar] [CrossRef]
- Robinson, P.M.; Murray, M.T. The Influence of Processing Conditions on the Performance of Pressure-Die-Cast Automotive Components. Met. Forum 1978, 26–34. [Google Scholar]








| Alloy | Si | Fe | Cu | Mn | Mg | Cr | Ni | Zn | Pb | Ti | Al |
|---|---|---|---|---|---|---|---|---|---|---|---|
| 1st experiment | 10.40 | 0.82 | 2.95 | 0.30 | 0.42 | 0.04 | 0.05 | 0.89 | 0.06 | 0.05 | bal. |
| 2nd experiment | 8.80 | 0.71 | 2.42 | 0.28 | 0.24 | 0.03 | 0.07 | 0.38 | 0.03 | 0.04 | bal. |
| Plunger Motion Parameter | 1st Experiment | 2nd Experiment | ||
|---|---|---|---|---|
| Low Level | High Level | Low Level | High Level | |
| First stage speed (m/s) | 0.2 | 0.8 | 0.2 | 0.9 |
| Second stage peak speed (m/s) | 1.5 | 4.0 | 0.9 | 3.4 |
| Switching position (m) | 0.30 | 0.35 | 0.29 | 0.37 |
| (m/s2) | 17.11 | 80.59 | 4.26 | 69.40 |
© 2018 by the authors. Licensee MDPI, Basel, Switzerland. This article is an open access article distributed under the terms and conditions of the Creative Commons Attribution (CC BY) license (http://creativecommons.org/licenses/by/4.0/).
Share and Cite
Fiorese, E.; Bonollo, F.; Battaglia, E. A Tool for Predicting the Effect of the Plunger Motion Profile on the Static Properties of Aluminium High Pressure Die Cast Components. Metals 2018, 8, 798. https://doi.org/10.3390/met8100798
Fiorese E, Bonollo F, Battaglia E. A Tool for Predicting the Effect of the Plunger Motion Profile on the Static Properties of Aluminium High Pressure Die Cast Components. Metals. 2018; 8(10):798. https://doi.org/10.3390/met8100798
Chicago/Turabian StyleFiorese, Elena, Franco Bonollo, and Eleonora Battaglia. 2018. "A Tool for Predicting the Effect of the Plunger Motion Profile on the Static Properties of Aluminium High Pressure Die Cast Components" Metals 8, no. 10: 798. https://doi.org/10.3390/met8100798
APA StyleFiorese, E., Bonollo, F., & Battaglia, E. (2018). A Tool for Predicting the Effect of the Plunger Motion Profile on the Static Properties of Aluminium High Pressure Die Cast Components. Metals, 8(10), 798. https://doi.org/10.3390/met8100798

