Crystallization Behaviors of Anosovite and Silicate Crystals in High CaO and MgO Titanium Slag
Abstract
1. Introduction
2. Mathematical Model
3. Results and Discussion
3.1. Nucleation and Growth of Crystals in Titanium Slag
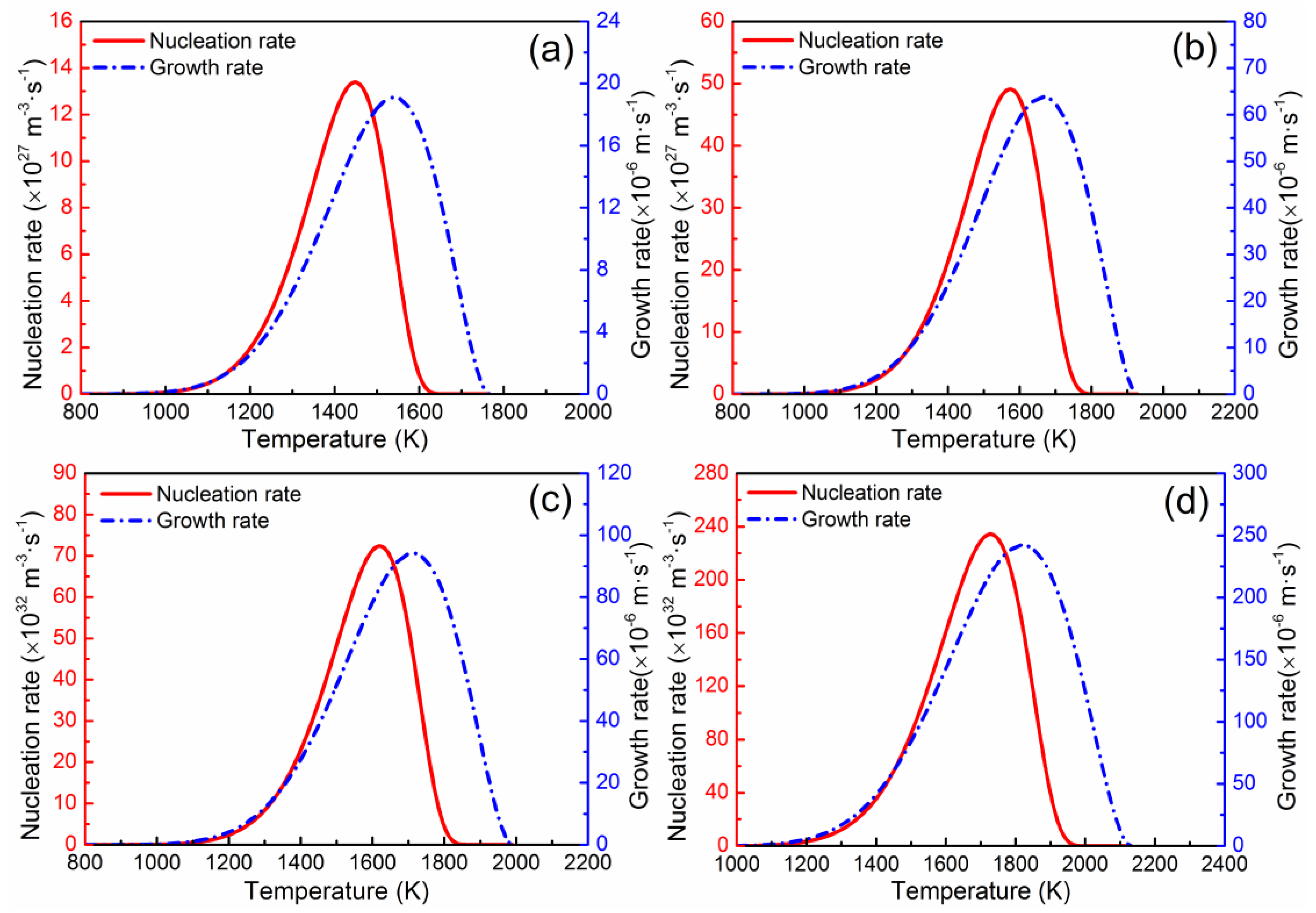
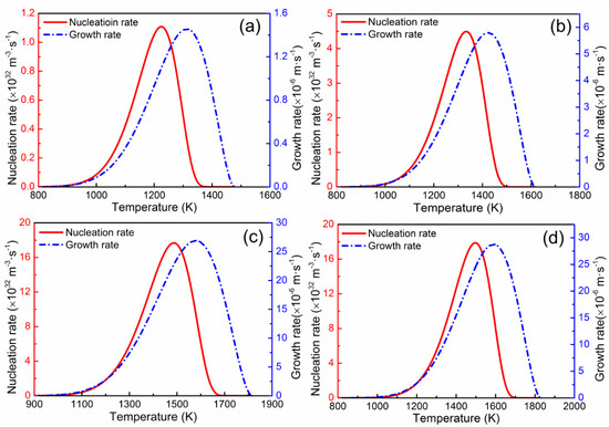
3.1.1. Nucleation and Growth of Anosovite Crystals
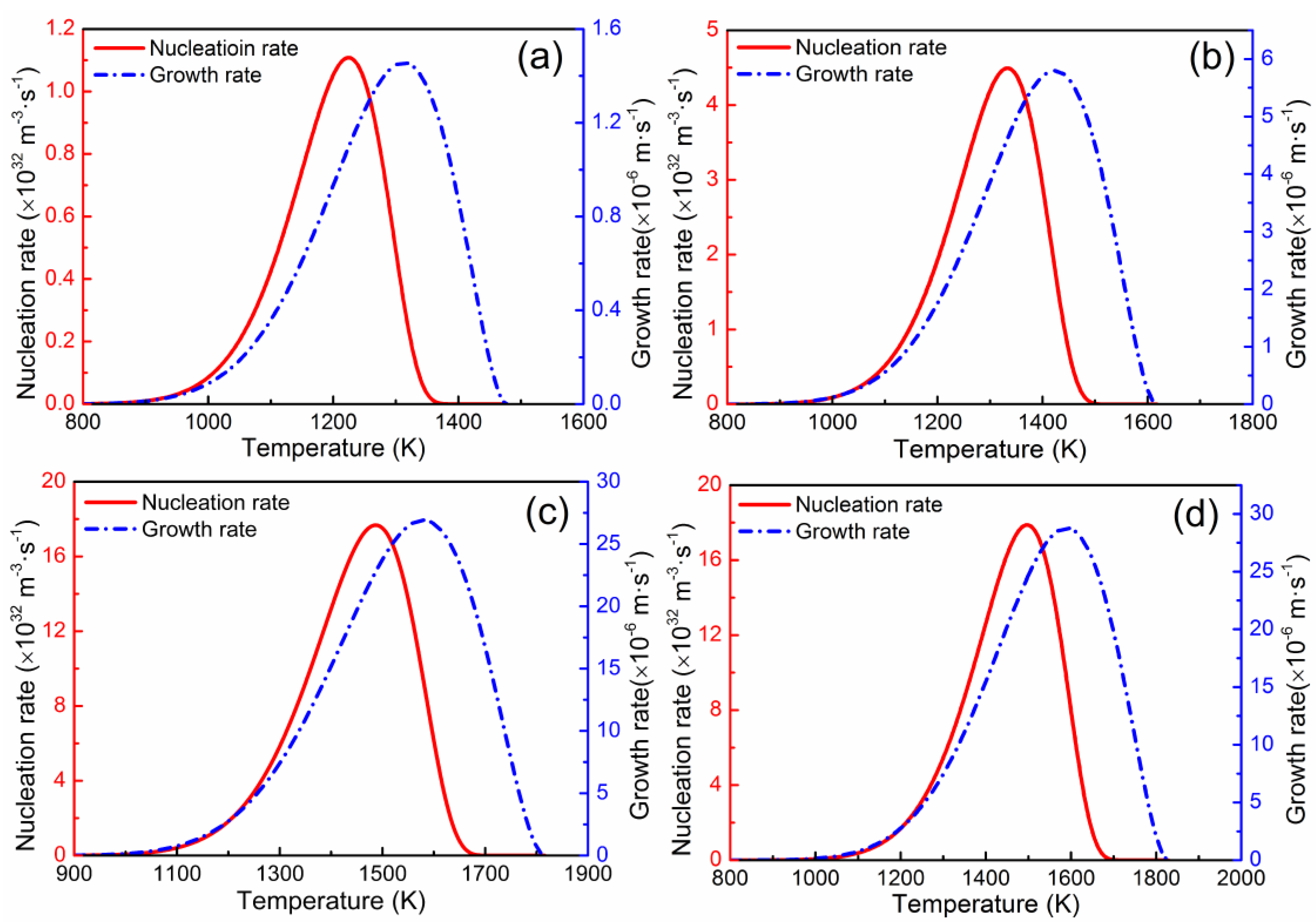
3.1.2. Nucleation and Growth of Silicate Crystals
3.2. Crystallization Behavior of Anosovite and Silicate Crystals
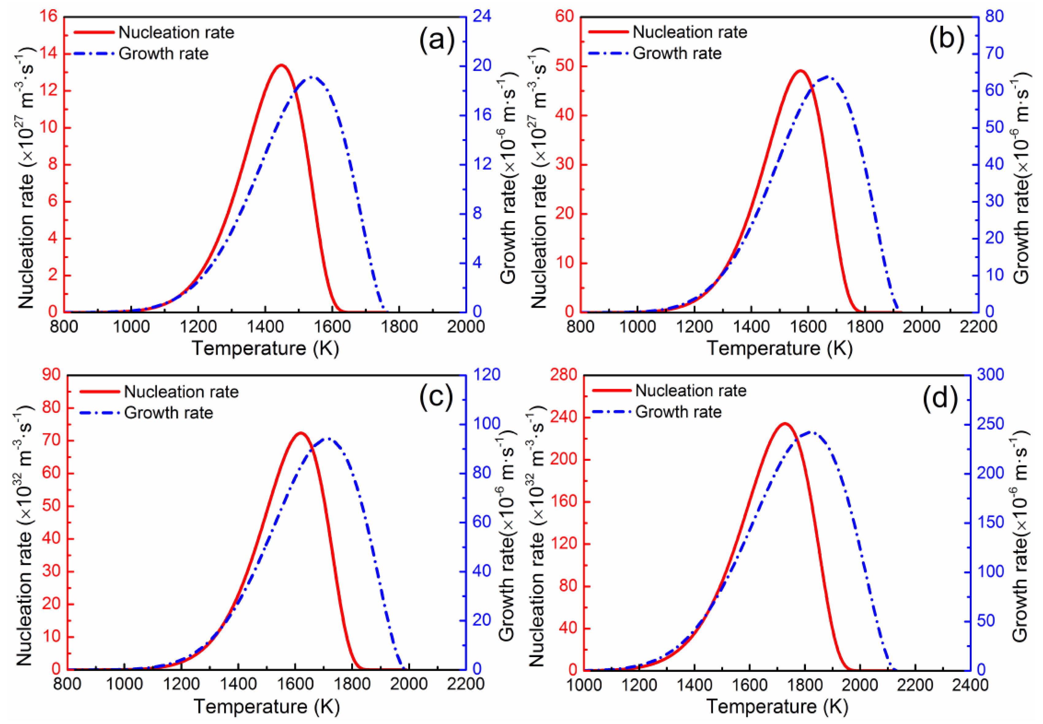
3.3. Effects of Slag Composition on Crystallization Behaviors of Anosovite Crystals
4. Conclusions
- (1)
- The crystallization order of anosovite and silicate crystals in high CaO and MgO titanium slag is obtained during cooling as follows: Al2TiO5 > Ti3O5 > MgTi2O5 > MgSiO3 > CaSiO3 > FeTi2O5 > Mn2SiO4 > Fe2SiO4.
- (2)
- The optimum temperature ranges of crystallization of these crystals in titanium slag are in their crystallization order as follows: 1744–1804 K, 1636–1696 K, 1589–1649 K, 1512–1572 K, 1502–1562 K, 1463–1523 K, 1346–1406 K, 1236–1296 K.
- (3)
- The total crystallization rates of anosovite and silicate crystals are mainly controlled by Al2TiO5 and MgSiO3, respectively. Al2TiO5 and Ti3O5 have a higher crystallization priority and should be responsible for the sharp increase in viscosity of titanium slag during cooling.
- (4)
- The mass ratio of Ti2O3/ΣTiO2 has a remarkable influence on the total crystallization rate of anosovite crystals while the mass ratio of MgO/FeO has a slight influence on the total crystallization rate of anosovite crystals.
Author Contributions
Funding
Acknowledgments
Conflicts of Interest
References
- Liu, Y.; Meng, F.; Fang, F.; Wang, W.; Chu, J.; Qi, T. Preparation of rutile titanium dioxide pigment from low-grade titanium slag pretreated by the naoh molten salt method. Dyes Pigment. 2016, 125, 384–391. [Google Scholar]
- Liu, W.; Lü, L.; Yue, H.; Liang, B.; Li, C. Combined production of synthetic rutile in the sulfate TiO2 process. J. Alloys Compd. 2017, 705, 572–580. [Google Scholar] [CrossRef]
- Fan, H.; Chen, D.; Liu, P.; Duan, H.; Huang, Y.; Long, M.; Liu, T. Structural and transport properties of feo- TiO2 system through molecular dynamics simulations. J. Non-Cryst. Solids 2018, 493, 57–64. [Google Scholar] [CrossRef]
- Cho, J.; Roy, S.; Sathyapalan, A.; Free, M.L.; Fang, Z.Z.; Zeng, W. Purification of reduced upgraded titania slag by iron removal using mild acids. Hydrometallurgy 2016, 161, 7–13. [Google Scholar] [CrossRef]
- Chen, G.; Song, Z.; Chen, J.; Srinivasakannan, C.; Peng, J. Investigation on phase transformation of titania slag using microwave irradiation. J. Alloys Compd. 2013, 579, 612–616. [Google Scholar] [CrossRef]
- Kondratiev, A.; Jak, E.; Hayes, P. Predicting slag viscosities in metallurgical systems. JOM 2002, 54, 41–45. [Google Scholar] [CrossRef]
- Zhao, Z.; Ma, E.; Lian, Y. Behavior of Al2O3 in titianium slag. Iron Steel Vanadium Titan. 2002, 23, 36–38. [Google Scholar]
- Li, S.; Lv, X.; Song, B.; Miu, H.; Han, K. Rheological property of TiO2-FeO-(SiO2, CaO, MgO) ternary slag. Chin. J. Nonferrous Metals 2016, 26, 2015–2022. [Google Scholar]
- Handfield, G.; Charette, G. Viscosity and structure of industrial high TiO2 slags. Can. Metall. Q. 1971, 10, 235–243. [Google Scholar] [CrossRef]
- Gao, G.; Yang, Y.; Yang, D. Viscosity and melting point determination of titanium slag. Iron Steel Vanadium Titan. 1987, 9, 51–55. [Google Scholar]
- Komatsu, T. Design and control of crystallization in oxide glasses. J. Non-Cryst. Solids 2015, 428, 156–175. [Google Scholar] [CrossRef]
- Iqbal, N.; Van Dijk, N.; Offerman, S.; Moret, M.; Katgerman, L.; Kearley, G. Real-time observation of grain nucleation and growth during solidification of aluminium alloys. Acta Mater. 2005, 53, 2875–2880. [Google Scholar] [CrossRef]
- Gan, L.; Zhang, C.; Shangguan, F.; Li, X. A differential scanning calorimetry method for construction of continuous cooling transformation diagram of blast furnace slag. Metall. Mater. Trans. B 2012, 43, 460–467. [Google Scholar] [CrossRef]
- Gan, L.; Zhang, C.; Zhou, J.; Shangguan, F. Continuous cooling crystallization kinetics of a molten blast furnace slag. J. Non-Cryst. Solids 2012, 358, 20–24. [Google Scholar] [CrossRef]
- Li, J.; Wang, X.; Zhang, Z. Crystallization behavior of rutile in the synthesized Ti-bearing blast furnace slag using single hot thermocouple technique. ISIJ Int. 2011, 51, 1396–1402. [Google Scholar] [CrossRef]
- Klug, J.L.; Hagemann, R.; Heck, N.C.; Vilela, A.C.; Heller, H.P.; Scheller, P.R. Crystallization control in metallurgical slags using the single hot thermocouple technique. Steel Res. Int. 2013, 84, 344–351. [Google Scholar] [CrossRef]
- Zhou, L.; Wang, W.; Huang, D.; Wei, J.; Li, J. In situ observation and investigation of mold flux crystallization by using double hot thermocouple technology. Metall. Mater. Trans. B 2012, 43, 925–936. [Google Scholar] [CrossRef]
- Hu, M.; Liu, L.; Lv, X.; Bai, C.; Zhang, S. Crystallization behavior of perovskite in the synthesized high-titanium-bearing blast furnace slag using confocal scanning laser microscope. Metall. Mater. Trans. B 2014, 45, 76–85. [Google Scholar] [CrossRef]
- Liu, J.; Verhaeghe, F.; Guo, M.; Blanpain, B.; Wollants, P. In situ observation of the dissolution of spherical alumina particles in CaO–Al2O3–SiO2 melts. J. Am. Ceram. Soc. 2007, 90, 3818–3824. [Google Scholar]
- Ruvalcaba, D.; Mathiesen, R.; Eskin, D.; Arnberg, L.; Katgerman, L. In situ observations of dendritic fragmentation due to local solute-enrichment during directional solidification of an aluminum alloy. Acta Mater. 2007, 55, 4287–4292. [Google Scholar] [CrossRef]
- Watson, K.D.; Nguelo, S.T.; Desgranges, C.; Delhommelle, J. Crystal nucleation and growth in Pd–Ni alloys: A molecular simulation study. CrystEngComm 2011, 13, 1132–1140. [Google Scholar] [CrossRef]
- Turnbull, D. Formation of crystal nuclei in liquid metals. J. Appl. Phys. 1950, 21, 1022–1028. [Google Scholar] [CrossRef]
- Wu, F.; Li, X.; Wang, Z.; Wu, L.; Guo, H.; Xiong, X.; Zhang, X.; Wang, X. Hydrogen peroxide leaching of hydrolyzed titania residue prepared from mechanically activated panzhihua ilmenite leached by hydrochloric acid. Int. J. Miner. Process. 2011, 98, 106–112. [Google Scholar] [CrossRef]
- Dong, H. Study on Production of High-Quality Synthetic Rutile from Electric Furnace Titanium Slag with High Content of Calcium and Magnesium. Ph.D., Thesis, Central South University, Changsha, China, 2010. [Google Scholar]
- Fan, H.; Duan, H.; Tan, K.; Li, Y.; Chen, D.; Long, M.; Liu, T. Production of synthetic rutile from molten titanium slag with the addition of B2O3. JOM 2017, 69, 1914–1919. [Google Scholar] [CrossRef]
- Seitz, F.; Turnbull, D. Solid State Physics; Academic Press: New York, NY, USA, 1958; Volume 7. [Google Scholar]
- Meyer, R.E. Self-diffusion of liquid mercury. J. Phys. Chem. 1961, 65, 567–568. [Google Scholar] [CrossRef]
- Hoffman, R.E. The self-diffusion of liquid mercury. J. Chem. Phys. 1952, 20, 1567–1570. [Google Scholar] [CrossRef]
- Mills, K.C.; Sridhar, S. Viscosities of ironmaking and steelmaking slags. Ironmak. Steelmak. 1999, 26, 262–268. [Google Scholar] [CrossRef]
- Zhang, Y. Electronegativities of elements in valence states and their applications. 1. Electronegativities of elements in valence states. Inorg. Chem. 1982, 21, 3886–3889. [Google Scholar]
- Dimitrov, V.; Komatsu, T. Correlation among electronegativity, cation polarizability, optical basicity and single bond strength of simple oxides. J. Solid State Chem. 2012, 196, 574–578. [Google Scholar] [CrossRef]
- Turnbull, D. Under what conditions can a glass be formed? Contemp. Phys. 2006, 10, 473–488. [Google Scholar] [CrossRef]
- Uhlmann, D.R. A kinetic treatment of glass formation. J. Non-Crystall. Solids 1972, 7, 337–348. [Google Scholar] [CrossRef]
- Dai, D. Amorphous Physics; Electronic Industry Press: Beijing, China, 1989. [Google Scholar]
- Powder Diffraction File. International Centre for Diffraction Data; Swarthmore: Newtown Square, PA, USA, 2000. [Google Scholar]
- Atlas, S. (Ed.) By Vdeh; Verlag Stahleisen GmbH: Düsseldorf, Germany, 1995; pp. 48–90. [Google Scholar]
- Eriksson, G.; Pelton, A.D. Critical evaluation and optimization of the thermodynamic properties and phase diagrams of the MnO-TiO2, MgO-TiO2, FeO-TiO2, Ti2O3-TiO2, Na2O-TiO2, and K2O-TiO2 systems. Metall. Mater. Trans. B 1993, 24, 795–805. [Google Scholar] [CrossRef]
- Song, B. Rheological Property and Melt Structure of High Titania Slag; Chongqing University: Chongqing, China, 2015. [Google Scholar]
- Diao, J.; Zhou, W.; Gu, P.; Ke, Z.; Qiao, Y.; Xie, B. Competitive growth of crystals in vanadium–chromium slag. CrystEngComm 2016, 18, 6272–6281. [Google Scholar] [CrossRef]
- Pistorius, P.C.; Kotzé, H. Role of silicate phases during comminution of titania slag. Miner. Eng. 2009, 22, 182–189. [Google Scholar] [CrossRef]
- Wang, D.; Wang, Z.; Qi, T.; Wang, L.; Xue, T. Decomposition kinetics of titania slag in eutectic naoh-nano 3 system. Metall. Mater. Trans. B 2016, 47, 1–9. [Google Scholar]







| Mineral Phase | Chemical Formula | a0 (Å) | Tm (K) |
|---|---|---|---|
| Anosovite | FeTi2O5 | 7.192 [35] | 1767 [36] |
| MgTi2O5 | 7.145 [35] | 1930 [37] | |
| Ti3O5 | 7.186 [35] | 1991 [37] | |
| Al2TiO5 | 6.858 [35] | 2133 [36] | |
| Olivine | Fe2SiO4 | 6.752 [35] | 1478 [36] |
| Mn2SiO4 | 6.878 [35] | 1618 [36] | |
| Augite | CaSiO3 | 7.351 [35] | 1817 [36] |
| MgSiO3 | 7.464 [35] | 1830 [36] |
| Samples | TiO2 | FeO | SiO2 | MnO | MgO | Al2O3 | CaO | Ti2O3 | Mass Ratio |
|---|---|---|---|---|---|---|---|---|---|
| CS1 | 72.46 | 12.21 | 5.89 | 1.53 | 2.51 | 2.83 | 1.00 | 3.78 | 0.05 |
| CS2 | 63.62 | 12.21 | 5.89 | 1.53 | 2.51 | 2.83 | 1.00 | 11.35 | 0.15 |
| CS3 | 55.20 | 12.21 | 5.89 | 1.53 | 2.51 | 2.83 | 1.00 | 18.92 | 0.25 |
| CS4 | 46.79 | 12.21 | 5.89 | 1.53 | 2.51 | 2.83 | 1.00 | 26.49 | 0.35 |
| CS5 | 38.37 | 12.21 | 5.89 | 1.53 | 2.51 | 2.83 | 1.00 | 34.06 | 0.45 |
| CS6 | 55.20 | 13.38 | 5.89 | 1.53 | 1.34 | 2.83 | 1.00 | 18.92 | 0.10 |
| CS7 | 55.20 | 11.32 | 5.89 | 1.53 | 3.40 | 2.83 | 1.00 | 18.92 | 0.30 |
| CS8 | 55.20 | 9.81 | 5.89 | 1.53 | 4.91 | 2.83 | 1.00 | 18.92 | 0.50 |
| CS9 | 55.20 | 8.66 | 5.89 | 1.53 | 6.06 | 2.83 | 1.00 | 18.92 | 0.70 |
| CS10 | 55.20 | 7.75 | 5.89 | 1.53 | 6.97 | 2.83 | 1.00 | 18.92 | 0.90 |
© 2018 by the authors. Licensee MDPI, Basel, Switzerland. This article is an open access article distributed under the terms and conditions of the Creative Commons Attribution (CC BY) license (http://creativecommons.org/licenses/by/4.0/).
Share and Cite
Fan, H.; Chen, D.; Liu, T.; Duan, H.; Huang, Y.; Long, M.; He, W. Crystallization Behaviors of Anosovite and Silicate Crystals in High CaO and MgO Titanium Slag. Metals 2018, 8, 754. https://doi.org/10.3390/met8100754
Fan H, Chen D, Liu T, Duan H, Huang Y, Long M, He W. Crystallization Behaviors of Anosovite and Silicate Crystals in High CaO and MgO Titanium Slag. Metals. 2018; 8(10):754. https://doi.org/10.3390/met8100754
Chicago/Turabian StyleFan, Helin, Dengfu Chen, Tao Liu, Huamei Duan, Yunwei Huang, Mujun Long, and Wenjie He. 2018. "Crystallization Behaviors of Anosovite and Silicate Crystals in High CaO and MgO Titanium Slag" Metals 8, no. 10: 754. https://doi.org/10.3390/met8100754
APA StyleFan, H., Chen, D., Liu, T., Duan, H., Huang, Y., Long, M., & He, W. (2018). Crystallization Behaviors of Anosovite and Silicate Crystals in High CaO and MgO Titanium Slag. Metals, 8(10), 754. https://doi.org/10.3390/met8100754
