Effect of Tungsten on Creep Behavior of 9%Cr–3%Co Martensitic Steels
Abstract
1. Introduction
2. Materials and Methods
3. Results
3.1. Tempered Martensite Lath Structure
3.2. Tensile Test
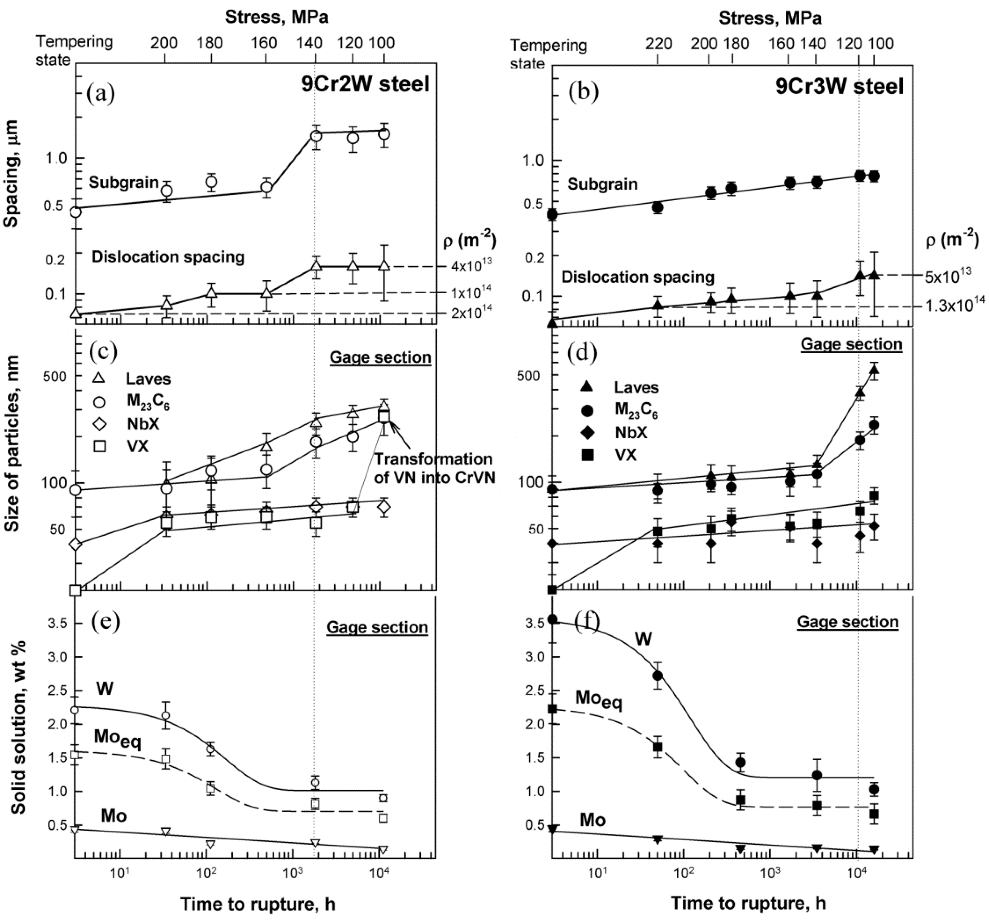
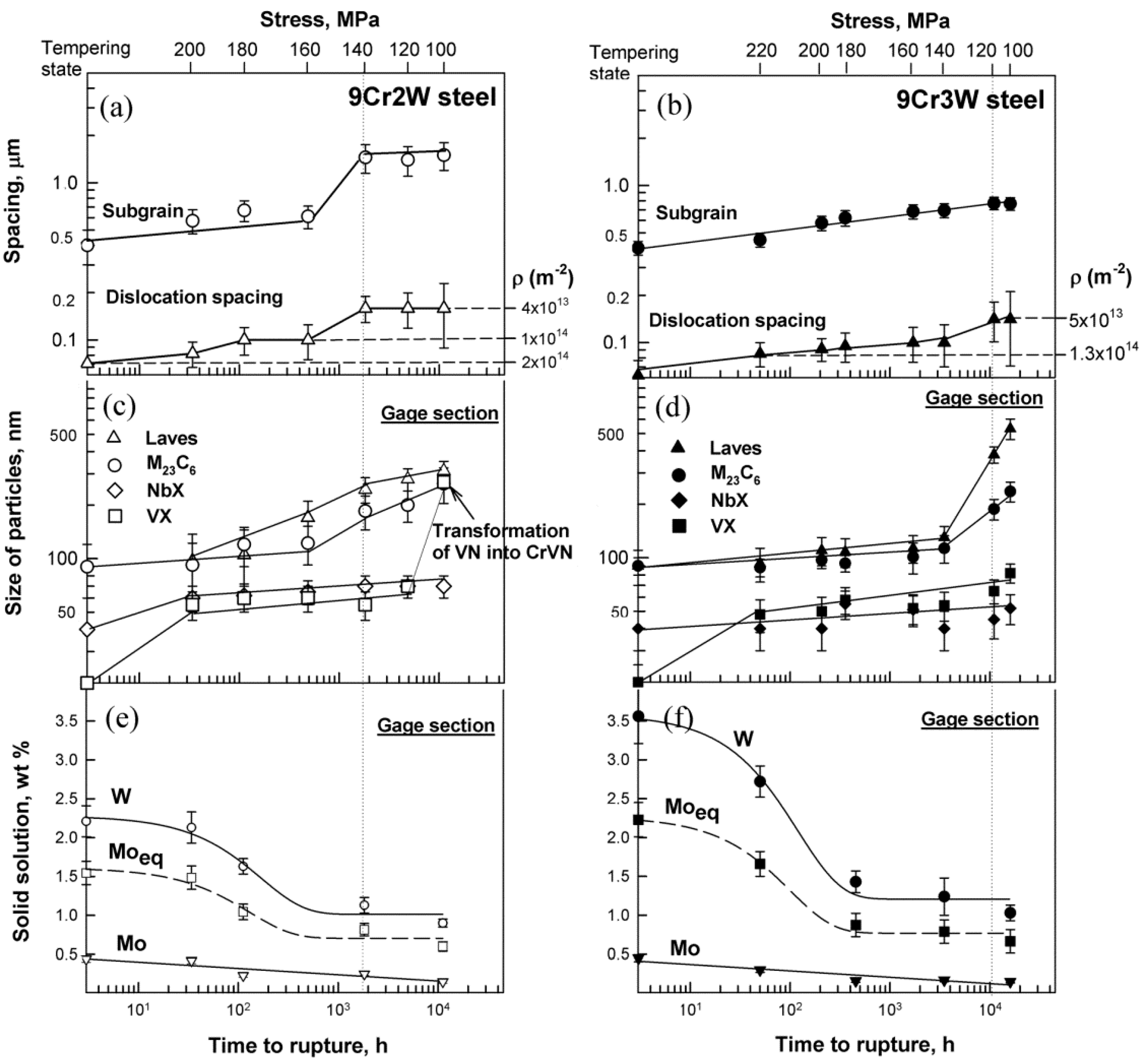
3.3. Creep Behavior
3.4. Crept Microstructures
4. Discussion
4.1. Contribution of W to the Solid Solution Strengthening
4.2. Contribution of W to the Particle Strengthening
5. Conclusions
- The structure of both steels tempered at 750 °C for 3 h is the tempered martensite lath structure with the lath thickness of 0.4 µm. An increased W content leads to the formation of W-rich Laves phase particles and M6C carbides on the boundaries in addition to the M23C6 carbides located also on the boundaries and MX carbonitrides distributed uniformly within the ferritic matrix.
- The steel with 3 wt % W content demonstrates a +15% increase in the 10,000 h creep rupture strength at 650 °C due to hindering the coarsening of the M23C6 carbides, MX carbonitrides and Laves phase particles. Tungsten also slows down the transformation of V-rich MX carbonitrides into Z-phase particles.
- An increase in W content in the steels provides an increase in the amount of Laves phase. Under long-term conditions, the depletion of excess W from the solid solution leads to the rapid coarsening of Laves phase particles; the contribution of this phase to Zener drag has a short-term character.
- The predicted long-term creep rupture strength for 100,000 h is about 85 MPa for both steels. This value is independent on W content due to depletion of its excess from the solid solution up to thermodynamically equilibrium value due to Laves phase precipitation. Therefore, there is no positive effect of increased W content on the creep resistance of the Co-modified P92 steel under long-term creep conditions. An alloying of 0.1С-9Сr-3Co-0.5Mo-VNbBN martensitic steel by 3%W does not seem justified for long-term creep condition (for 105 h) at 650 °C. Therefore, the W content of ~2 wt % is optimal for the Co-containing high chromium martensitic steels.
Acknowledgments
Author Contributions
Conflicts of Interest
References
- Abe, F.; Kern, T.U.; Viswanathan, R. Creep Resistant Steels; Part I; Woodhead Publishing in Materials: Cambridge, UK, 2008; p. 800. [Google Scholar]
- Kaybyshev, R.O.; Skorobogatykh, V.N.; Shchenkova, I.A. New martensitic steels for fossil power plant: Creep resistance. Phys. Met. Metallogr. 2010, 109, 186–200. [Google Scholar] [CrossRef]
- Kitahara, H.; Ueji, R.; Tsuji, N.; Minamino, Y. Crystallographic features of lath martensite in low-carbon steel. Acta Mater. 2006, 54, 1279–1288. [Google Scholar] [CrossRef]
- Ghassemi-Armaki, H.; Chen, R.; Maruyama, K.; Igarashi, M. Premature creep failure in strength enhanced high Cr ferritic steels caused by static recovery of tempered martensite lath structures. Mater. Sci. Eng. A 2010, 527, 6581–6588. [Google Scholar] [CrossRef]
- Abe, F. Analysis of creep rates of tempered martensitic 9% Cr steel based on microstructure evolution. Mater. Sci. Eng. A 2009, 510, 64–69. [Google Scholar] [CrossRef]
- Kostka, A.; Tak, K.-G.; Hellmig, R.J.; Estrin, Y.; Eggeler, G. On the contribution of carbides and micrograin boundaries to the creep strength of tempered martensite ferritic steels. Acta Mater. 2007, 55, 539–550. [Google Scholar] [CrossRef]
- Abe, F. Effect of fine precipitation and subsequent coarsening of Fe2W laves phase on the creep deformation behavior of tempered martensitic 9Cr-W steels. Metall. Mater. Trans. A 2005, 36, 321–331. [Google Scholar] [CrossRef]
- Taneike, M.; Sawada, K.; Abe, F. Effect of carbon concentration on precipitation behavior of M23C6 carbides and MX carbonitrides in martensitic 9Cr steel during heat treatment. Metall. Mater. Trans. A 2004, 35, 1255–1261. [Google Scholar] [CrossRef]
- Dudova, N.; Plotnikova, A.; Molodov, D.; Belyakov, A.; Kaibyshev, R. Structural changes of tempered martensitic 9%Cr-2%W-3%Co steel during creep at 650 °C. Mater. Sci. Eng. A 2012, 534, 632–639. [Google Scholar] [CrossRef]
- Kipelova, A.; Belyakov, A.; Kaibyshev, R. Laves phase evolution in a modified P911 heat resistant steel during creep at 923K. Mater. Sci. Eng. A 2012, 532, 71–77. [Google Scholar] [CrossRef]
- Fedorova, I.; Belyakov, A.; Kozlov, P.; Skorobogatykh, V.; Shenkova, I.; Kaibyshev, R. Laves-phase precipitates in a low-carbon 9% Cr martensitic steel during aging and creep at 923K. Mater. Sci. Eng. A 2014, 615, 153–163. [Google Scholar] [CrossRef]
- Isik, M.I.; Kostka, A.; Yardley, V.A.; Pradeep, K.G.; Duarte, M.J.; Choi, P.P.; Raabe, D.; Eggeler, G. The nucleation of Mo-rich Laves phase particles adjacent to M23C6 micrograin boundary carbides in 12% Cr tempered martensite ferritic steels. Acta Mater. 2015, 90, 94–104. [Google Scholar] [CrossRef]
- Ghassemi-Armaki, H.; Chen, R.; Maruyama, K.; Igarashi, M. Creep behavior and degradation of subgrain structures pinned by nanoscale precipitates in strength-enhanced 5 to 12 Pct Cr ferritic steels. Metall. Mater. Trans. A 2011, 42, 3084–3094. [Google Scholar] [CrossRef]
- Yin, F.-S.; Tian, L.-Q.; Xue, B.; Jiang, X.-B.; Zhou, L. Effect of Carbon Content on Microstructure and Mechanical Properties of 9 to 12 pct Cr Ferritic/Martensitic Heat-Resistant Steels. Metall. Mater. Trans. A 2012, 43, 2203–2209. [Google Scholar] [CrossRef]
- Dudko, V.; Belyakov, A.; Molodov, D.; Kaibyshev, R. Microstructure evolution and pinning of boundaries by precipitates in a 9 pct. Cr heat resistant steel during creep. Metall. Mater. Trans. A 2013, 44, S162–S172. [Google Scholar] [CrossRef]
- Zhong, W.; Wang, W.; Yang, X.; Li, W.; Yan, W.; Sha, W.; Wang, W.; Shan, Y.; Yang, K. Relationship between Laves phase and the impact brittleness of P92 steel reevaluated. Mater. Sci. Eng. A 2015, 639, 252–258. [Google Scholar] [CrossRef]
- Helis, L.; Toda, Y.; Hara, T.; Miyazaki, H.; Abe, F. Effect of cobalt on the microstructure of tempered martensitic 9Cr steel for ultra-supercritical power plants. Mater. Sci. Eng. A 2009, 510, 88–94. [Google Scholar] [CrossRef]
- Kipelova, A.; Odnobokova, M.; Belyakov, A.; Kaibyshev, R. Effect of Co on creep behavior of a P911 steel. Metall. Mater. Trans. A 2013, 44, 577–583. [Google Scholar] [CrossRef]
- Sawada, K.; Takeda, M.; Maruyama, K.; Ishii, R.; Yamada, M.; Nagae, Y.; Komine, R. Effect of W on recovery of lath structure during creep of high chromium martensitic steels. Mater. Sci. Eng. A 1999, 267, 19–25. [Google Scholar] [CrossRef]
- Fedoseeva, A.; Dudova, N.; Kaibyshev, R. Creep strength breakdown and microstructure evolution in a 3%Co modified P92 steel. Mater. Sci. Eng. A 2016, 654, 1–12. [Google Scholar] [CrossRef]
- Tsuchida, Y.; Okamoto, K. Improvement of creep rupture strength of high Cr ferritic steel by addition of W. ISIJ Int. 1995, 35, 317–323. [Google Scholar] [CrossRef]
- Li, Q. Precipitation of Fe2W laves phase and modeling of its direct influence on the strength of a 12Cr-2W steel. Metall. Mater. Trans. A 2006, 37, 89–97. [Google Scholar] [CrossRef]
- Dudova, N.; Kaibyshev, R. On the precipitation sequence in a 10% Cr steel under tempering. ISIJ Int. 2011, 51, 826–831. [Google Scholar] [CrossRef]
- Wilshire, B.; Scharning, P. Prediction of long term creep data for forged 1Cr-1Mo-0.25V steel. Mater. Sci. Technol. 2008, 24, 1–9. [Google Scholar] [CrossRef]
- Hirsch, P.B.; Howie, A.; Nicholson, R.B.; Pashley, D.W.; Whelan, M.J. Electron Microscopy of Thin Crystals, 2nd ed.; Krieger: New York, NY, USA, 1977; p. 563. [Google Scholar]
- Dimmler, G.; Weinert, P.; Kozeschnik, E.; Cerjak, H. Quantification of the Laves phase in advanced 9–12% Cr steels using a standard SEM. Mater. Charact. 2003, 51, 341–352. [Google Scholar] [CrossRef]
- Fedoseeva, A.; Dudova, N.; Glatzel, U.; Kaibyshev, R. Effect of W on tempering behaviour of a 3% Co modified P92 steel. J. Mater. Sci. 2016, 51, 9424–9439. [Google Scholar] [CrossRef]
- Kimura, K.; Toda, Y.; Kushima, H.; Sawada, K. Creep strength of high chromium steel with ferrite matrix. Int. J. Press. Vessels Pip. 2010, 87, 282–288. [Google Scholar] [CrossRef]
- Yoshizawa, M.; Igarashi, M.; Moriguchi, K.; Iseda, A.; GhassemiArmaki, H.; Maruyama, K. Effect of precipitates on long-term creep deformation properties of P92 and P122 type advanced ferritic steels for USC power plants. Mater. Sci. Eng. A 2009, 510, 162–168. [Google Scholar] [CrossRef]
- Hattestrand, A.; Andren, H.O. Evaluation of particle size distributions of precipitates in a 9% chromium steel using energy filtered transmission electron microscopy. Micron 2001, 32, 489–498. [Google Scholar] [CrossRef]
- Cipolla, L.; Danielsen, H.K.; Venditti, D.; Di Nunzio, P.E.; Hald, J.; Somers, M.A.J. Conversion of MX nitrides to Z-phase in a martensitic 12% Cr steel. Acta Mater. 2010, 58, 669–679. [Google Scholar] [CrossRef]
- Danielsen, H.K.; Di Nunzio, P.E.; Hald, J. Kinetics of Z-Phase Precipitation in 9 to 12 pct Cr Steels. Metall. Mater. Trans. A 2013, 44, 2445–2452. [Google Scholar] [CrossRef]
- Fedoseeva, A.; Dudova, N.; Kaibyshev, R. Effect of Tungsten on a Dispersion of M(C,N) Carbonitrides in 9% Cr Steels Under Creep Conditions. Trans. Indian Inst. Met. 2016, 69, 211–215. [Google Scholar] [CrossRef]
- Kaibyshev, R.O.; Skorobogatykh, V.N.; Shchenkova, I.A. Formation of the Z-phase and prospects of martensitic steels with 11% Cr for operation above 590 °C. Met. Sci. Heat Treat. 2010, 52, 90–99. [Google Scholar] [CrossRef]
- Klueh, R.L. Elevated temperature ferritic and martensitic steels and their application to future nuclear reactors. Int. Mater. Rev. 2005, 50, 287–310. [Google Scholar] [CrossRef]
- Fedoseeva, A.; Dudova, N.; Kaibyshev, R. Effect of stresses on the structural changes in high-chromium steel upon creep. Phys. Met. Metall. 2017, 118, 591–600. [Google Scholar] [CrossRef]
- Ghassemi-Armaki, H.; Chen, R.; Kano, S.; Maruyama, K.; Hasegawa, Y.; Igarashi, M. Strain-induced coarsening of nanoscale precipitates in strength enhanced high Cr ferritic steels. Mater. Sci. Eng. A 2012, 532, 373–380. [Google Scholar] [CrossRef]
- Mehrer, H.; Stolica, N.; Stolwijk, N.A. Landolt Bornstein- Numerical Data and Functional Relationships in Science and Technology, New Series, Group III: Crystals and Solid State Physics. In Diffusion in Solid Metals and Alloys; Springer: Berlin/Heidelberg, Germany, 1990; Volume 26, pp. 47–48. ISBN 978-3-540-50886-1. [Google Scholar]
- Fedoseeva, A.; Dudova, N.; Kaibyshev, R. Creep behavior and microstructure of a 9Cr-3Co-3W martensitic steel. J. Mater. Sci. 2017, 52, 2974–2988. [Google Scholar] [CrossRef]
- Humphreys, F.J.; Hatherly, M. Recrystallization and Related Annealing Phenomena, 2nd ed.; Elsevier: Atlanta, GA, USA, 2004; pp. 91–112. [Google Scholar]








| Steel | Fe | C | Cr | Co. | Mo | W | V | Nb | B | N | Si | Mn |
|---|---|---|---|---|---|---|---|---|---|---|---|---|
| 9Cr2W | bal. | 0.12 | 9.3 | 3.1 | 0.44 | 2.0 | 0.2 | 0.06 | 0.005 | 0.05 | 0.08 | 0.2 |
| 9Cr3W | bal. | 0.12 | 9.5 | 3.2 | 0.45 | 3.1 | 0.2 | 0.06 | 0.005 | 0.05 | 0.06 | 0.2 |
| Steel | Temperature Test | YS, MPa | UTS, MPa | δ, % |
|---|---|---|---|---|
| 9Cr2W | 20 °C | 560 | 708 | 19 |
| 650 °C | 295 | 325 | 32 | |
| 9Cr3W | 20 °C | 570 | 760 | 18 |
| 650 °C | 340 | 370 | 21 |
| Element | Cr | Fe | W | V | Nb | N | C | Mo | Co. | |
|---|---|---|---|---|---|---|---|---|---|---|
| 650 °С (Creep) | ||||||||||
| MX | 9Cr2W | - | - | - | 61.98 | 17.67 | 18.25 | 0.51 | - | - |
| 9Cr3W | - | - | - | 61.96 | 18.59 | 17.78 | 0.44 | - | - | |
| M23C6 | 9Cr2W | 60.54 | 14.08 | 7.50 | 0.44 | - | - | 5.00 | 12.25 | - |
| 9Cr3W | 60.32 | 13.95 | 8.59 | - | - | - | 5.00 | 11.24 | - | |
| Laves | 9Cr2W | 6.26 | 32.57 | 56.99 | - | - | - | - | 3.99 | - |
| 9Cr3W | 6.42 | 32.20 | 57.77 | - | - | - | - | 3.42 | - | |
| Solid solution | 9Cr2W | 8.39 | 87.59 | 0.68 | 0.02 | - | - | - | 0.18 | 3.13 |
| 9Cr3W | 8.47 | 87.16 | 0.68 | 0.04 | - | - | - | 0.16 | 3.13 | |
| 750 °С (Tempering) | ||||||||||
| MX | 9Cr2W | - | - | - | 61.29 | 17.99 | 17.73 | 0.77 | - | - |
| 9Cr3W | - | - | - | 59.50 | 19.38 | 17.78 | 0.70 | - | - | |
| M23C6 | 9Cr2W | 51.78 | 20.61 | 13.92 | - | - | - | 4.83 | 8.03 | - |
| 9Cr3W | 51.32 | 20.30 | 16.83 | 4.78 | 5.80 | - | ||||
| Laves | 9Cr2W | 5.35 | 33.62 | 56.49 | - | - | - | - | 4.31 | - |
| 9Cr3W | 5.50 | 33.27 | 57.22 | - | - | - | - | 3.76 | - | |
| Solid solution | 9Cr2W | 8.51 | 86.42 | 1.60 | 0.03 | - | - | - | 0.37 | 3.00 |
| 9Cr3W | 8.60 | 85.98 | 1.63 | 0.04 | - | - | - | 0.32 | 3.00 | |
| Phase | Volume Fraction (%) | |
|---|---|---|
| 9Cr2W Steel | 9Cr3W Steel | |
| М23С6 | 1.958 | 1.966 |
| МХ | 0.246 | 0.238 |
| Laves phase | 1.315 | 2.394 |
© 2017 by the authors. Licensee MDPI, Basel, Switzerland. This article is an open access article distributed under the terms and conditions of the Creative Commons Attribution (CC BY) license (http://creativecommons.org/licenses/by/4.0/).
Share and Cite
Fedoseeva, A.; Dudova, N.; Kaibyshev, R.; Belyakov, A. Effect of Tungsten on Creep Behavior of 9%Cr–3%Co Martensitic Steels. Metals 2017, 7, 573. https://doi.org/10.3390/met7120573
Fedoseeva A, Dudova N, Kaibyshev R, Belyakov A. Effect of Tungsten on Creep Behavior of 9%Cr–3%Co Martensitic Steels. Metals. 2017; 7(12):573. https://doi.org/10.3390/met7120573
Chicago/Turabian StyleFedoseeva, Alexandra, Nadezhda Dudova, Rustam Kaibyshev, and Andrey Belyakov. 2017. "Effect of Tungsten on Creep Behavior of 9%Cr–3%Co Martensitic Steels" Metals 7, no. 12: 573. https://doi.org/10.3390/met7120573
APA StyleFedoseeva, A., Dudova, N., Kaibyshev, R., & Belyakov, A. (2017). Effect of Tungsten on Creep Behavior of 9%Cr–3%Co Martensitic Steels. Metals, 7(12), 573. https://doi.org/10.3390/met7120573

