A Simple Up-Scalable Thermal Treatment Method for Synthesis of ZnO Nanoparticles
Abstract
:1. Introduction
2. Experimental Section
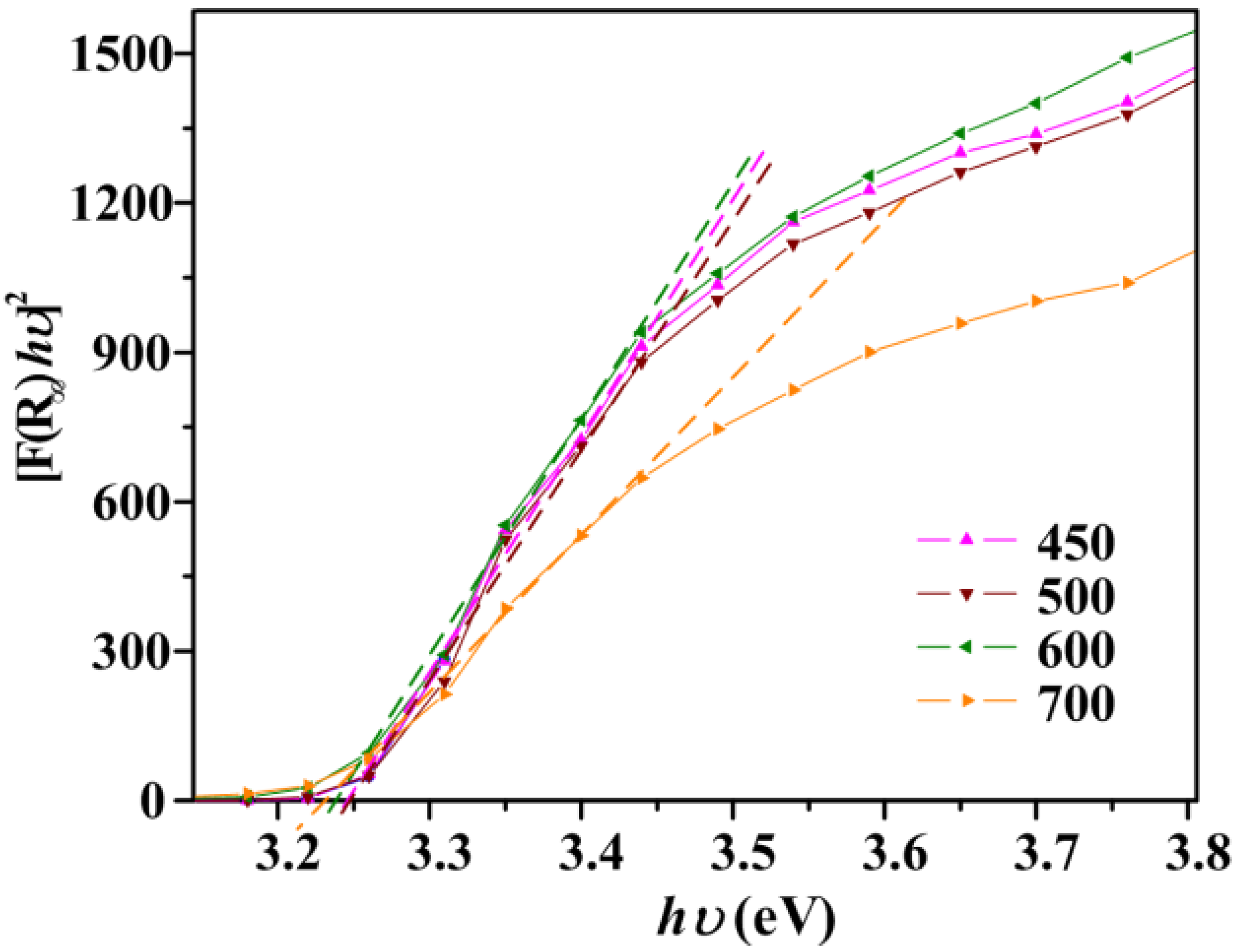
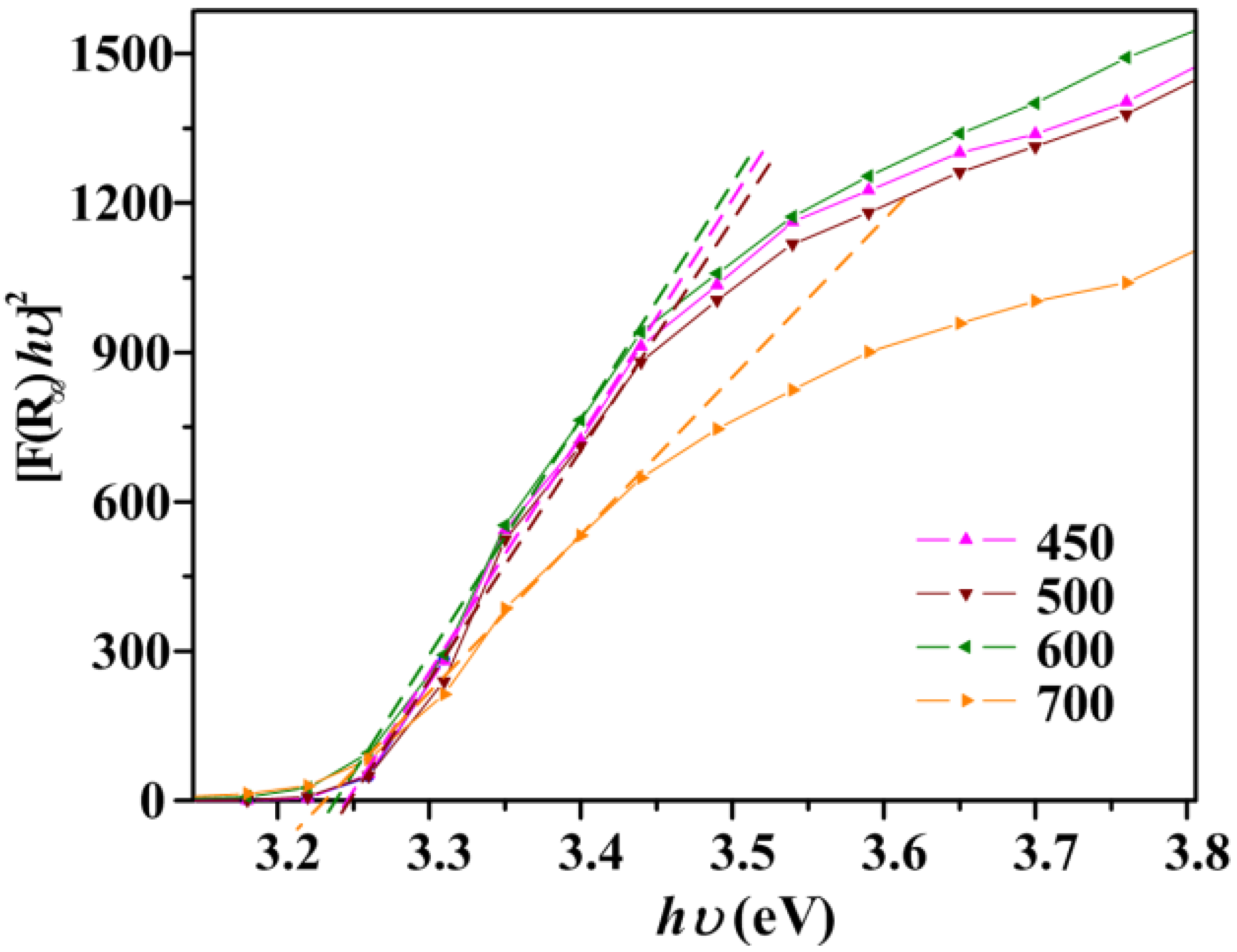
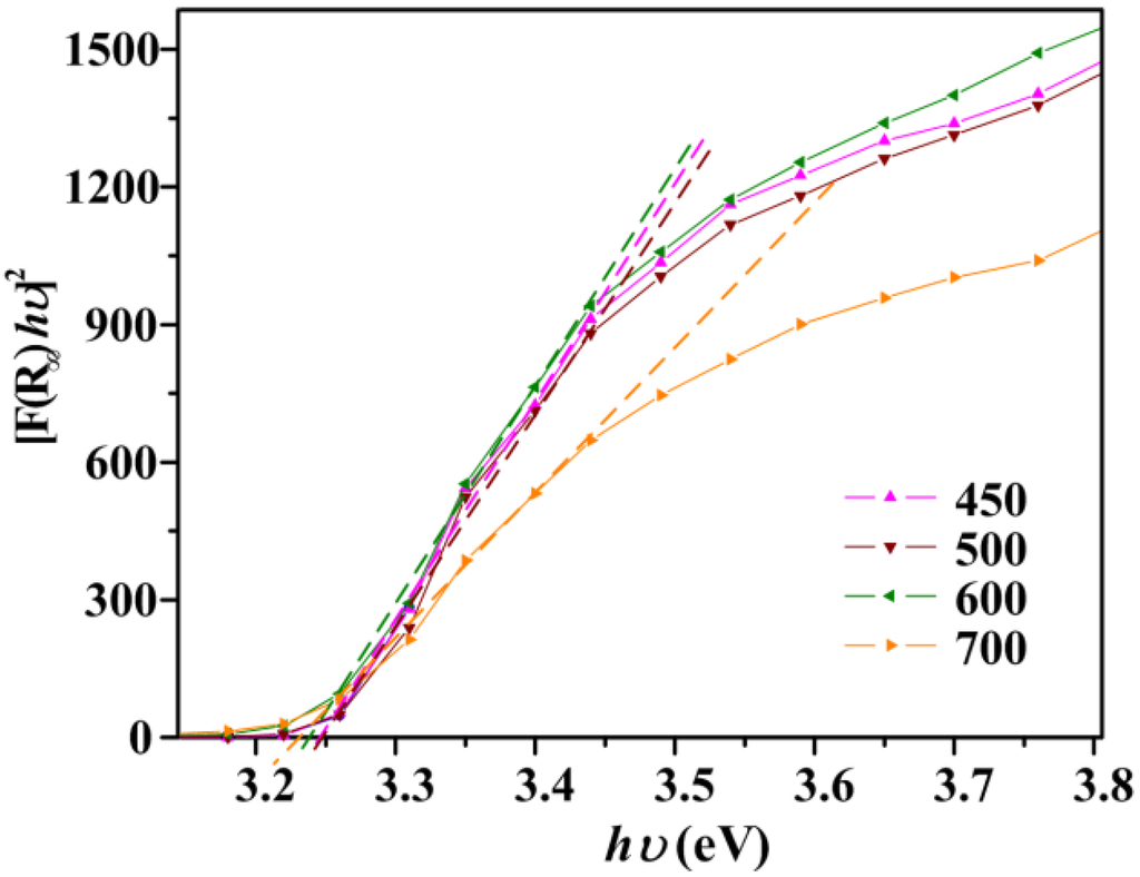
3. Results and Discussion



| Calcination Temperature (°C) | d-Spacing (Å) | Crystalline Size (nm) | Lattice Parameter (Å) | c/a Ratio | |
|---|---|---|---|---|---|
| a | c | ||||
| 450 | 2.4769 | 30.1 | 3.2506 | 5.2090 | 1.6023 |
| 500 | 2.4781 | 37.6 | 3.2499 | 5.2065 | 1.6022 |
| 600 | 2.4774 | 50.7 | 3.2516 | 5.2088 | 1.6019 |



| Calcination Temperature (°C) | Average Particle Size (nm) | Band Gap Eg (eV) |
|---|---|---|
| 450 | 34.14 | 3.249 |
| 500 | 60.17 | 3.246 |
| 600 | 83.15 | 3.239 |
4. Conclusions
Acknowledgments
Author Contributions
Conflicts of Interest
References
- Zhang, L.; Shi, J.J. Phonon states of polar mixing optical modes in wurtzite ZnO-based coupling quantum dots. Solid State Commun. 2014, 177, 68–73. [Google Scholar] [CrossRef]
- Huang, C.Y.; Yang, Y.J.; Chen, J.Y.; Wang, C.H.; Chen, Y.F.; Hong, L.S.; Liu, C.S.; Wu, C.Y. P-Si nanowires/SiO2/n-ZnO heterojunction photodiodes. Appl. Phys. Lett. 2010. [Google Scholar] [CrossRef]
- Shevchenko, E.V.; Talapin, D.V.; Schnablegger, H.; Kornowski, A.; Festin, Ö.; Svedlindh, P.; Haase, M.; Weller, H. Study of nucleation and growth in the organometallic synthesis of magnetic alloy nanocrystals: The role of nucleation rate in size control of CoPt3 nanocrystals. J. Am. Chem. Soc. 2003, 125, 9090–9101. [Google Scholar] [CrossRef] [PubMed]
- Akgul, G.; Akgul, F.A.; Attenkofer, K.; Winterer, M. Structural properties of zinc oxide and titanium dioxide nanoparticles prepared by chemical vapor synthesis. J. Alloy. Compd. 2013, 554, 177–181. [Google Scholar] [CrossRef]
- Wahab, H.; Salama, A.; El-Saeid, A.; Nur, O.; Willander, M.; Battisha, I. Optical, structural and morphological studies of (ZnO) nano-rod thin films for biosensor applications using sol gel technique. Res. Phys. 2013, 3, 46–51. [Google Scholar] [CrossRef]
- Goldberger, J.; Sirbuly, D.J.; Law, M.; Yang, P. ZnO nanowire transistors. J. Phys. Chem. B 2005, 109, 9–14. [Google Scholar] [CrossRef] [PubMed]
- Hsueh, T.J.; Chang, S.J.; Hsu, C.L.; Lin, Y.R.; Chen, I. Highly sensitive ZnO nanowire ethanol sensor with Pd adsorption. Appl. Phys. Lett. 2007. [Google Scholar] [CrossRef]
- Zhao, X.; Chen, Z.; Luo, Y.; Wang, L. Giant enhanced infrared and orange emissions of ZnO nanoparticles induced by rich oxygen atmosphere. Solid State Commun. 2008, 147, 447–451. [Google Scholar] [CrossRef]
- Escudero, R.; Escamilla, R. Ferromagnetic behavior of high-purity ZnO nanoparticles. Solid State Commun. 2011, 151, 97–101. [Google Scholar] [CrossRef]
- Shamsipur, M.; Pourmortazavi, S.M.; Hajimirsadeghi, S.S.; Zahedi, M.M.; Rahimi-Nasrabadi, M. Facile synthesis of zinc carbonate and zinc oxide nanoparticles via direct carbonation and thermal decomposition. Ceram. Int. 2013, 39, 819–827. [Google Scholar] [CrossRef]
- Banerjee, P.; Chakrabarti, S.; Maitra, S.; Dutta, B.K. Zinc oxide nano-particles—Sonochemical synthesis, characterization and application for photo-remediation of heavy metal. Ultrason. Sonochem. 2012, 19, 85–93. [Google Scholar] [CrossRef] [PubMed]
- Zamiri, R.; Zakaria, A.; Ahangar, H.A.; Darroudi, M.; Zak, A.K.; Drummen, G.P. Aqueous starch as a stabilizer in zinc oxide nanoparticle synthesis via laser ablation. J. Alloy. Compd. 2012, 516, 41–48. [Google Scholar] [CrossRef]
- Cui, H.; Feng, Y.; Ren, W.; Zeng, T.; Lv, H.; Pan, Y. Strategies of large scale synthesis of monodisperse nanoparticles. Recent Pat. Nanotechnol. 2009, 3, 32–41. [Google Scholar] [CrossRef] [PubMed]
- Naseri, M.G.; Saion, E.B.; Ahangar, H.A.; Hashim, M.; Shaari, A.H. Simple preparation and characterization of nickel ferrite nanocrystals by a thermal treatment method. Powder Technol. 2011, 212, 80–88. [Google Scholar] [CrossRef]
- Naseri, M.G.; Saion, E.B.; Ahangar, H.A.; Hashim, M.; Shaari, A.H. Synthesis and characterization of manganese ferrite nanoparticles by thermal treatment method. J. Magn. Magn. Mater. 2011, 323, 1745–1749. [Google Scholar] [CrossRef]
- Naseri, M.G.; Saion, E.B.; Hashim, M.; Shaari, A.H.; Ahangar, H.A. Synthesis and characterization of zinc ferrite nanoparticles by a thermal treatment method. Solid State Commun. 2011, 151, 1031–1035. [Google Scholar] [CrossRef]
- Al-Hada, N.M.; Saion, E.B.; Shaari, A.H.; Kamarudin, M.A.; Flaifel, M.H.; Ahmad, S.H.; Gene, A. A facile thermal-treatment route to synthesize the semiconductor CdO nanoparticles and effect of calcination. Mater. Sci. Semicond. Process. 2014, 26, 460–466. [Google Scholar] [CrossRef]
- Kamari, H.M.; Naseri, M.G.; Saion, E.B. A novel research on behavior of zinc ferrite nanoparticles in different concentration of poly(vinyl pyrrolidone)(PVP). Metals 2014, 4, 118–129. [Google Scholar] [CrossRef]
- Sui, X.; Liu, Y.; Shao, C.; Liu, Y.; Xu, C. Structural and photoluminescent properties of ZnO hexagonal nanoprisms synthesized by microemulsion with polyvinyl pyrrolidone served as surfactant and passivant. Chem. Phys. Lett. 2006, 424, 340–344. [Google Scholar] [CrossRef]
- Al-Hada, N.M.; Saion, E.B.; Shaari, A.H.; Kamarudin, M.A.; Flaifel, M.H.; Ahmad, S.H.; Gene, S.A. A facile thermal-treatment route to synthesize ZnO nanosheets and effect of calcination temperature. PLoS ONE 2014. [Google Scholar] [CrossRef] [PubMed]
- Tian, Z.R.; Voigt, J.A.; Liu, J.; Mckenzie, B.; Mcdermott, M.J.; Rodriguez, M.A.; Konishi, H.; Xu, H. Complex and oriented ZnO nanostructures. Nat. Mater. 2003, 2, 821–826. [Google Scholar] [CrossRef] [PubMed]
- Soltani, N.; Saion, E.; Hussein, M.Z.; Bahrami, A.; Naghavi, K.; Yunus, R.B. Microwave irradiation effects on hydrothermal and polyol synthesis of ZnS nanoparticles. Chalcogenide Lett. 2012, 9, 265–274. [Google Scholar]
- De Graef, M.; McHenry, M.E. Structure of Materials: An Introduction to Crystallography, Diffraction and Symmetry; Cambridge University Press: New York, NY, USA, 2007. [Google Scholar]
- Al-Hada, N.M.; Saion, E.; Shaari, A.; Kamarudin, M.; Gene, S.A. The influence of calcination temperature on the formation of zinc oxide nanoparticles by thermal-treatment. Appl. Mech. Mater. 2014, 446, 181–184. [Google Scholar] [CrossRef]
- Al-Hada, N.M.; Saion, E.B.; Shaari, A.H.; Kamarudeen, M.A.; Flaifel, M.H.; Gene, S.A. Synthesis, Structural and Morphological Properties of Cadmium Oxide Nanoparticles Prepared by Thermal Treatment Method. Adv. Mater. Res. 2015, 1107, 291–294. [Google Scholar]
- Zakiyah, L.B.; Saion, E.; Al-Hada, N.M.; Gharibshahi, E.; Salem, A.; Soltani, N.; Gene, S. Up-scalable synthesis of size-controlled copper ferrite nanocrystals by thermal treatment method. Mater. Sci. Semicond. Process. 2015, 40, 564–569. [Google Scholar] [CrossRef]
© 2015 by the authors; licensee MDPI, Basel, Switzerland. This article is an open access article distributed under the terms and conditions of the Creative Commons Attribution license (http://creativecommons.org/licenses/by/4.0/).
Share and Cite
Lee, P.J.; Saion, E.; Al-Hada, N.M.; Soltani, N. A Simple Up-Scalable Thermal Treatment Method for Synthesis of ZnO Nanoparticles. Metals 2015, 5, 2383-2392. https://doi.org/10.3390/met5042383
Lee PJ, Saion E, Al-Hada NM, Soltani N. A Simple Up-Scalable Thermal Treatment Method for Synthesis of ZnO Nanoparticles. Metals. 2015; 5(4):2383-2392. https://doi.org/10.3390/met5042383
Chicago/Turabian StyleLee, Phin Jit, Elias Saion, Naif Mohammed Al-Hada, and Nayereh Soltani. 2015. "A Simple Up-Scalable Thermal Treatment Method for Synthesis of ZnO Nanoparticles" Metals 5, no. 4: 2383-2392. https://doi.org/10.3390/met5042383
APA StyleLee, P. J., Saion, E., Al-Hada, N. M., & Soltani, N. (2015). A Simple Up-Scalable Thermal Treatment Method for Synthesis of ZnO Nanoparticles. Metals, 5(4), 2383-2392. https://doi.org/10.3390/met5042383

