Characterization of Deformation Behavior of Individual Grains in Polycrystalline Cu-Al-Mn Superelastic Alloy Using White X-ray Microbeam Diffraction
Abstract
:1. Introduction
2. Experimental Section
2.1. Materials

2.2. White X-ray Microbeam Diffraction Experiments



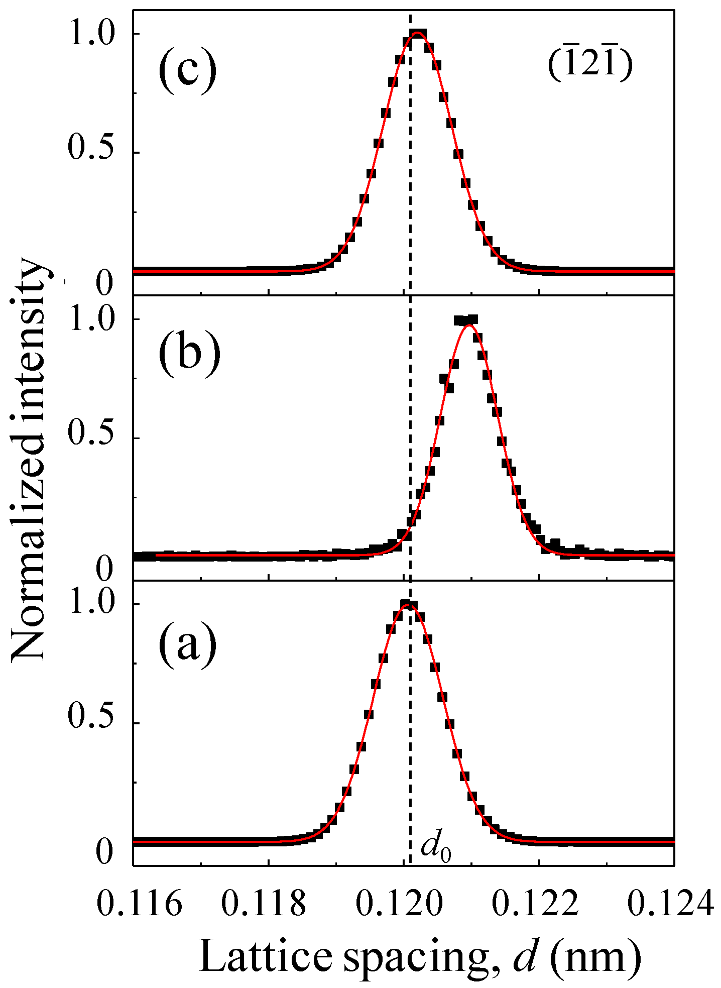
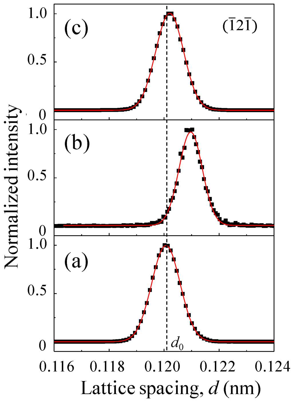
3. Results and Discussion
3.1. Variation of Laue Patterns during Superelastic Behavior

3.2. Strain and Stress Evolution during Superelastic Behavior



| Grains | Schmid Factor | Transformation Strain (%) | σ1 (MPa) | σ2 (MPa) |
|---|---|---|---|---|
| G1 | 0.37 | 7.8 | 344 | −41 |
| G2 | 0.38 | 7.8 | 124 | −155 |
| G3 | 0.48 | 10.2 | 348 | −195 |
| 0.48 | 10.2 | 585 | 26 | |
| 0.48 | 10.2 | 701 | −108 | |
| 0.48 | 10.2 | 138 | −296 | |
| G4 | 0.49 | 10.3 | 366 | −21 |
| G5 | 0.43 | 8.8 | 309 | −657 |


4. Conclusions
Acknowledgments
Author Contributions
Conflicts of Interest
References
- Sutou, Y.; Omori, T.; Kainuma, R.; Ono, N.; Ishida, K. Enhancement of superelasticity in Cu-Al-Mn-Ni shape memory alloys by texture control. Metall. Mater. Trans. 2002, 33A, 2817–2824. [Google Scholar] [CrossRef]
- Sutou, Y.; Omori, T.; Yamauchi, K.; Ono, N.; Kainuma, R.; Ishida, K. Effect of grain size and texture on pseudoelasticity in Cu-Al-Mn-based shape memory wire. Acta Mater. 2005, 53, 4121–4133. [Google Scholar] [CrossRef]
- Sutou, Y.; Omori, T.; Wang, J.J.; Kainuma, R.; Ishida, K. Effect of grain size and texture on superelasticity of Cu-AI-Mn-based shape memory alloys. J. Phys. IV 2003, 112, 511–514. [Google Scholar] [CrossRef]
- Berveiller, S.; Malard, B.; Wright, J.; Patoor, E.; Geandier, G. In situ synchrotron analysis of lattice rotations in individual grains during stress-induced martensitic transformations in a polycrystalline Cu-Al-Be shape memory alloy. Acta Mater. 2011, 59, 3636–3645. [Google Scholar] [CrossRef]
- Kwon, E.P.; Sato, S.; Fujieda, S.; Shinoda, K.; Kajiwara, K.; Sato, M.; Suzuki, S. Microscopic residual stress evolution during deformation process of an Fe-Mn-Si-Cr shape memory alloy investigated using white X-ray microbeam diffraction. Mater. Sci. Eng. 2013, 570, 43–50. [Google Scholar] [CrossRef]
- Tomota, Y.; Harjo, S.; Lukas, P.; Neov, D.; Sittner, P. In-situ neutron diffraction during shape-memory behavior in Fe-Mn-Si-Cr. JOM 2000, 52, 32–34. [Google Scholar] [CrossRef]
- Kajiwara, K.; Sato, M.; Hashimoto, T.; Hirosawa, I.; Yamada, T.; Terachi, T.; Fukumura, T.; Arioka, K. Development of visualization method of grain boundaries in stainless steel by using white X-ray micro-beam and image detector. Phys. Status Solidi 2009, 206, 1838–1841. [Google Scholar] [CrossRef]
- Pyzalla, A. Methods and feasibility of residual stress analysis by high-energy synchrotron radiation in transmission geometry using a white beam. J. Nondestruct. Eval. 2000, 19, 21–31. [Google Scholar] [CrossRef]
- Dutkiewicz, J.; Kato, H.; Miura, S.; Messerschmidt, U.; Bartsch, M. Structure changes during pseudoelastic deformation of Cu-Al-Mn single crystals. Acta Mater. 1996, 44, 4597–4609. [Google Scholar] [CrossRef]
- Tanaka, K.; Suzuki, K.; Akiniwa, Y. Evaluation of Residual Stress by X-ray Diffraction, Fundamentals and Application; Yokendo: Tokyo, Japan, 2006; pp. 38–357. [Google Scholar]
- Sedlak, P.; Seiner, H.; Landa, M.; Novak, V.; Sittner, P.; Manosa, L. Elastic constants of bcc austenite and 2H orthorhombic martensite in Cu-Al-Ni shape memory alloy. Acta Mater. 2005, 53, 3643–3661. [Google Scholar] [CrossRef]
- Ueland, S.M.; Schuh, C.A. Grain boundary and triple junction constraints during martensitic transformation in shape memory alloys. J. Appl. Phys. 2013, 114, 053503. [Google Scholar] [CrossRef]
© 2015 by the authors; licensee MDPI, Basel, Switzerland. This article is an open access article distributed under the terms and conditions of the Creative Commons Attribution license (http://creativecommons.org/licenses/by/4.0/).
Share and Cite
Kwon, E.P.; Sato, S.; Fujieda, S.; Shinoda, K.; Kainuma, R.; Kajiwara, K.; Sato, M.; Suzuki, S. Characterization of Deformation Behavior of Individual Grains in Polycrystalline Cu-Al-Mn Superelastic Alloy Using White X-ray Microbeam Diffraction. Metals 2015, 5, 1845-1856. https://doi.org/10.3390/met5041845
Kwon EP, Sato S, Fujieda S, Shinoda K, Kainuma R, Kajiwara K, Sato M, Suzuki S. Characterization of Deformation Behavior of Individual Grains in Polycrystalline Cu-Al-Mn Superelastic Alloy Using White X-ray Microbeam Diffraction. Metals. 2015; 5(4):1845-1856. https://doi.org/10.3390/met5041845
Chicago/Turabian StyleKwon, Eui Pyo, Shigeo Sato, Shun Fujieda, Kozo Shinoda, Ryosuke Kainuma, Kentaro Kajiwara, Masugu Sato, and Shigeru Suzuki. 2015. "Characterization of Deformation Behavior of Individual Grains in Polycrystalline Cu-Al-Mn Superelastic Alloy Using White X-ray Microbeam Diffraction" Metals 5, no. 4: 1845-1856. https://doi.org/10.3390/met5041845
APA StyleKwon, E. P., Sato, S., Fujieda, S., Shinoda, K., Kainuma, R., Kajiwara, K., Sato, M., & Suzuki, S. (2015). Characterization of Deformation Behavior of Individual Grains in Polycrystalline Cu-Al-Mn Superelastic Alloy Using White X-ray Microbeam Diffraction. Metals, 5(4), 1845-1856. https://doi.org/10.3390/met5041845
