Abstract
This study investigates the effect of copper (Cu) and silver (Ag) additions on the electrochemical behavior of the Fe40Al intermetallic alloy in artificial saliva, aiming to evaluate its potential for biomedical applications such as dental implants. Alloys with varying concentrations of Ag (0.5, 1.0, and 3.0 wt%) and Cu (1.0, 3.0, and 5.0 wt%) were synthesized and exposed to a biomimetic electrolyte simulating oral conditions. Electrochemical techniques, including open circuit potential (OCP), linear polarization resistance (LPR), potentiodynamic polarization, and electrochemical impedance spectroscopy (EIS), were employed to assess corrosion performance. Results show that unmodified Fe40Al exhibits good corrosion resistance, attributed to the formation of a stable passive oxide layer. The addition of Cu, particularly at 3.0 wt%, significantly improved corrosion resistance, yielding lower corrosion current densities and higher polarization resistance and charge transfer resistance values, surpassing even 316L stainless steel in some metrics. Conversely, Ag additions led to a degradation of corrosion resistance, especially at 3.0 wt%, due to microstructural changes and the formation of metallic Ag precipitates, AgSCN, and galvanic cells, which promoted localized corrosion. EIS results revealed that Cu- and Ag-modified alloys developed less homogeneous and less protective passive layers over time, as indicated by increased double-layer capacitance (Cdl) and reduced constant phase element exponent (ndl) values. Overall, the Fe40Al alloy shows intrinsic corrosion resistance in simulated physiological environments, and Cu additions can enhance this performance under controlled conditions. However, Ag additions negatively affect the protective behavior of the passive layer. These findings offer critical insight into the design of Fe-Al-based biomaterials for dental or biomedical applications where corrosion resistance and electrochemical stability are paramount.
1. Introduction
When metallic odontology implants are exposed to biomimetic human body fluids, then these kinds of materials are prone to degradation, since the human biologic environment is very corrosive due to the presence of chlorides and proteins. The surface of some dental alloys is oxidized when they are in contact with the surrounding media; this promotes the formation of a thin oxide layer onto the alloy surface, which protects the metal against a corrosive environment. Corrosion behavior is dependent on properties of this thin oxide layer. Generally, metallic materials are not easily affected by corrosion when the protective layer on their surface remains intact, but when the breakdown potential of an alloy is surpassed, then the oxide film dissolves, and the onset of uniform or pitting corrosion begins [1]. A variety of chemical and electrochemical reactions are developed in the substrate and induce oxidation of some constituents of the alloy to produce ions, and the oxygen present in the surroundings is reduced to hydroxide ions.
Corrosion behavior of biomedical metals is usually evaluated in biomimetic physiological solutions that simulate human body fluid. Generally, the synthetic solutions are formed by a mixture of salts that are like those contained in a real human body environment [2]. In the oral cavity, corrosion performance depends upon some properties of the biological solution, such as pH variation, temperature changes, chemical composition, stress, humidity grade, and microorganisms, among other factors [3]. These interactions between host tissue and external implants play an important role in the long-term stability and useful life cycle of dental materials.
Protection against corrosion of these alloys is influenced by alloying elements, the passive film formed onto the alloy surface, structural change in the protective scale, or ionic and electric conductivity variations of the film. NiTi compound is one of the intermetallic alloys that have been used for dental implant applications. Research conducted has reported that the formation of a passive TiO2 layer formed onto the NiTi surface is responsible for the good corrosion resistance of this intermetallic compound. In this kind of intermetallic compound, the Ni is not strongly bonded within the crystal structure of the alloy, and the release of this element to the oral cavity can contribute to the beginning of hypersensitivity reactions [4,5].
Also, the corrosion behavior of Ni-Al-Fe intermetallic alloy has been studied in a synthetic human body fluid environment (Hank’s solution). This research exhibited that these alloys presented similar or higher corrosion resistance than conventional 316L stainless steel, and their corrosion resistance decreased as the Al content in the alloy increased [6]. Arrieta-Gonzalez et al. [7] studied the influence of Ni additions in Fe3Al intermetallic alloys on their corrosion behavior when exposed to Hank’s solution. Their results showed that 316L stainless steel and Ti exhibited higher corrosion resistance in chloride-rich environments. However, Fe3Al showed higher susceptibility to pitting corrosion than 316L stainless steel and Ti. Furthermore, they observed that the addition of metallic Ni improves the corrosion resistance of the Fe3Al intermetallic. Similar studies performed with the Fe40Al intermetallic [8] showed that the addition of a third element (Ti or Ni) substantially improves its corrosion resistance, achieving corrosion current densities similar to those observed for pure Ti. This behavior has been associated with the formation of an Al-based passive layer, which has been modified with the incorporation of the oxides of the third metallic alloy element (TiO2, NiO) [8,9].
Intermetallic alloys such as Fe40Al exhibit corrosion mechanisms that differ significantly from those of conventional metallic alloys due to their unique ordered crystal structures and strong covalent–metallic bonding. The corrosion resistance of Fe-Al intermetallics is primarily governed by the formation of a stable and adherent aluminum-rich passive film, predominantly composed of Al2O3. This oxide layer serves as a diffusion barrier to aggressive ions, especially chlorides, which are prevalent in biological environments. Electrochemical behavior is influenced by the selective dissolution of the less noble constituent (typically Fe), while Al tends to remain in the passive layer or form protective oxides. In chloride-containing environments, pitting corrosion can occur if the passive film is locally damaged or penetrated, leading to localized acidification and autocatalytic dissolution processes. Furthermore, the low solubility of Al2O3 and its tendency to self-heal confer significant passivity to the surface, though the presence of secondary phases or grain boundary segregation can locally compromise passivity. The addition of third elements (e.g., Cu or Ag) can alter the electronic properties of the passive film and modify anodic and cathodic reaction kinetics, thus influencing the alloy’s susceptibility to uniform or localized corrosion.
From a medical point of view, other types of properties that dental materials must meet are those related to antimicrobial effects. In this sense, silver compounds and Ag nanoparticles (AgNP) have been considered candidate materials for dental applications such as dental implants and dental restorative material. Ag has been reported to interact with the sulfhydryl groups of proteins and with DNA and affect cell wall synthesis and cell division [10,11]. From a macro-level perspective, these interactions kill bacteria [12].
Various studies have considered metallic particles such as silver and copper as a new generation of antimicrobial agents for biomedical applications [13,14]. Both metallic elements have shown good efficacy as antimicrobials in a wide variety of pathogens [15]; however, the bactericidal performance of Cu can be achieved at a lower cost than with Ag [16].
Due to the outstanding corrosion performance that Fe-Al intermetallic alloys have shown, it is relevant to assess their performance in artificial biomimetic fluids to know if these alloys can be applied as possible biomaterials. Therefore, the objective of this research is to carry out an evaluation of the electrochemical behavior of the modified Fe40Al intermetallic alloy with the addition of different concentrations of Ag and Cu, considering the antimicrobial properties of both elements. The electrochemical techniques applied were polarization curves and measurements of open circuit potential, polarization resistance, and electrochemical impedance in artificial saliva.
2. Materials and Methods
2.1. Materials
Cast alloys of Fe40Al-X (X = 0.5, 1.0, and 3.0 Ag, and 1.0, 3.0, and 5.0 Cu, weight%) alloys were produced by using an induction furnace at about 1600 °C in air. High-purity (99.9%) Fe, Al, Ag, and Cu were put inside a SiC crucible to be induction melted. After melting, the Fe40Al-X alloys were poured into a rectangular parallelepiped steel mold, and then the alloys experienced the solidification process during cooling until room temperature was attained. Ingots produced in this manner exhibit a coarse-grained microstructure, as has been reported in previous publications [8].
2.2. Artificial Saliva
Fe40Al-X alloys were exposed to the biomimetic electrolyte; In this case, the artificial saliva solution was used as the corrosion environment. The chemical composition of artificial saliva is that reported by G.S. Duffó and E. Quezada Castillo [17], NaCl (0.600 g/L), KCl (0.720 g/L), KH2PO4 (0.680 g/L), Na2HPO4·12H2O (0.856 g/L), KSCN (0.060 g/L), CaCl2·2H2O (0.220 g/L), KHCO3 (1.500 g/L) and Citric acid (0.030 g/L). The tests were carried out at a temperature of 37 °C.
2.3. Electrochemical Corrosion Tests
Electrochemical corrosion tests were developed by using an ACM Instruments zero-resistance ammeter (Zero Resistance Ammeter, ACM Instruments, Cartmel, UK)) coupled to a personal computer. The electrochemical cell used was a three-electrode type, where the reference electrode (RE) was a saturated calomel electrode (SCE), the counter electrode (CE) a Pt wire, and Fe40Al-X alloys were used as the working electrodes (WE). The working electrodes consisted of metallic samples with dimensions of 10 × 5 × 3 mm encapsulated in epoxy resin. Prior to encapsulation, a copper wire was spot-welded to the metallic samples, which served as the conductive wire to obtain the electrochemical signal from the reaction surface. The encapsulated samples were subjected to a surface preparation process by roughing their surface with abrasive paper up to 600-grade sandpaper. Then, the surface was washed with distilled water and ethyl alcohol and subsequently dried with a hot air stream. Corrosion performance of the alloys was assessed by potentiodynamic polarization from −400 mV to 900 mV with respect to Ecorr, and the polarization scans were developed at a rate of 1 mV/s. Prior to the electrochemical evaluation, the prepared specimens were left to stabilize for 20 min. Electrochemical corrosion parameters (icorr, Tafel slopes, Ecorr) were determined by using the extrapolation Tafel method from ±250 mV around the rest potential (Ecorr). To obtain the LPR data, the specimens were polarized at ±10 mV with respect to the Ecorr at a scan rate of 10 mV/min during 24 h. Open circuit potential (OCP) variation was measured and recorded also during 24 h. The impedance spectra derived from the electrochemical impedance spectroscopy (EIS) tests were recorded at the rest potential (OCP). These tests were carried out in the frequency range of 0.01 Hz to 100,000 Hz with a perturbation of ±10 mV.
3. Results and Discussion
3.1. Polarization Curves
Figure 1 displays the potentiodynamic polarization curves of the Fe40Al-XAg alloys in contact with the synthetic saliva electrolyte. It can be observed from this graph that the Fe40Al base alloy exhibits a more active corrosion potential than 316L stainless steel. 316L stainless steel presents the most pronounced passivation process, which prevails within the potential interval from about −300 to 300 mV. Also, the addition of Ag shifted the Ecorr values of the Fe40Al base alloy towards nobler values. However, the Ecorr of Fe40Al-XAg alloys was more active than that of 316L steel. Also, the intervals of potential that delimited the passivation field of Fe40Al-XAg alloys were much lower than those of 316L steel. Table 1 shows that the Fe40Al base alloy exhibits a higher icorr than 316L stainless steel. Also, an addition of 0.5% Ag induced a decrease of icorr; however, when 3% of this element was added, the corrosion rate of binary iron aluminide was increased. It is worth noticing that the icorr value of Fe40Al-0.5Ag resulted in something similar to those of Fe40Al-3Cr, Fe40Al-3Co, and Fe40Al-3Ni assessed in previous work under the same experimental conditions [8]. Regarding the addition of Ag, Figure 1 shows that alloys with an Ag content up to 1% exhibited active–passive behavior. These alloys showed a tendency toward passivation upon application of a potential increase relative to their corrosion potential. During the passivation process, an increase in the slope of the i-E relationship is observed, indicating a decrease in current density. In the passive region, further increases in potential have little effect on the current until the passivity breaks down. However, the alloy with the addition of 3% Ag showed predominantly active behavior.
Figure 1.
Potentiodynamic polarization curves of Fe40Al-XAg alloys exposed to artificial saliva.
Table 1.
Electrochemical parameters of the Fe40Al-X-based alloys evaluated in artificial saliva.
It is worth noticing that additions of Cu promoted a decrease of corrosion current density, icorr, on the binary aluminide alloy (Figure 2). Also, additions of 3.0 and 5.0% of Cu to Fe40Al turned its corrosion potential more active. Also, Table 1 shows that the Fe40Al-3.0Cu alloy presented the lowest icorr, even lower compared with the corrosion current density of 316L stainless steel. In general terms, the ternary alloys modified with copper displayed the most pronounced passivation process, which prevailed from intervals of potential from about 300 mV to 500 mV. One of the alloys that exhibits the higher Ecorr and the minor icorr is Fe40Al-1.0Cu; this observation could be associated with the better corrosion performance of all the studied materials [18]. This behavior is due to the formation of a passive layer on the surface of intermetallic alloys.
Figure 2.
Potentiodynamic polarization curves of Fe40Al-XCu alloys exposed to artificial saliva.
Fe40Al-5.0Cu alloy exhibited the greatest range of passivation potential (477 mV), while the Fe40Al and Fe40Al-0.5Ag alloys showed the lowest values of passivation potential intervals (62 and 66 mV, respectively). Additionally, it is important to note that 316L steel showed the greatest range of passivation potential with 575 mV. Fe40Al-XCu alloys exhibited higher values of intervals of passivation potential than those of Fe40Al-XAg alloys, ranging from about 320 to 477 mV. In similar research [19], the corrosion behavior of a Co20Cr alloy exposed to artificial saliva was assessed. The authors reported an icorr of 0.001 mA/cm2, which is close to the corrosion current densities determined in the present work. Ionic compounds, predominantly Cr2O3 and Cr(OH)3, revealed on the surface of Co-Cr alloys could provide a passive character to this film and are responsible for the good corrosion performance of these alloys [20,21,22].
Fe40Al-XAg alloys exhibited higher icorr values than those of Fe40Al-XCu alloys; this behavior can be due in the first place to the modification of microstructure and precipitation process, both induced by silver addition. Since the addition of Ag to Fe40Al results in the uniform precipitation of pure Ag phases on the Fe40Al binary matrix [23]. Pure silver uniformly dispersed on an iron aluminide matrix suggests promoting an increase in the corrosion rate, since these precipitates act as local anodes susceptible to localized corrosion [24].
The current density values recorded with the addition of Cu are on average lower than those obtained with the addition of Cr and Ti to the Fe40Al alloy reported in previous studies [25]. This suggests that the protective layer formed on the Cu-alloyed intermetallic compounds could have a more protective nature than those formed with the addition of Ti and Cr.
3.2. OCP Measurements
Figure 3 presents the dependence of open corrosion potential, OCP, as a function of exposure period for 316L SS, Fe40Al base alloy, and Fe40Al-XAg and Fe40Al-XCu ternary alloys.
Figure 3.
OCP measurements of the tested alloys exposed to artificial saliva.
316L stainless steel, a standard biomaterial, exhibits significant passive transient behavior during the first 6 h of contact with the synthetic electrolyte. After this period, the open-circuit potential of this steel remained constant. Furthermore, the corrosion potential of 316L stainless steel was higher than that of the alloys studied. In previous research, the composition of the passive surface layer formed on the surface of 316L stainless steel exposed to biomimetic saliva following open circuit potential (OCP) testing was evaluated. The results showed that the passive layer formed was mainly composed of Cr oxide with traces of Fe oxide [26]. In this case, the Cr oxides formed on the surface of 316L stainless steel are responsible for the highest OCP and Rp values observed during almost the entire immersion period. In the case of intermetallic alloys, the protective layers are mainly based on Al oxide. In general, the addition of Ag and Cu caused a shift in OCP values toward the active direction during the first few hours of immersion. Subsequently, the potential shifted towards more positive values.
The addition of 0.5 and 3.0% of Ag induced a shift of the potential rest towards the active direction relative to the OCP values of binary iron aluminide; this behavior was observed during almost the whole exposure period of the electrochemical test. However, the alloying with 1.0% of Ag induced a shift of OCP values toward the noble direction relative to the binary Fe40Al alloy. This behavior could be ascribed to the modification of the Al-oxide film formed on the Fe-Al alloy surface by Ag2O, where the formation of this silver oxide was revealed by using the XPS technique on Ti-Ag alloys after potentiodynamic polarization tests in artificial solution [27,28]. Another process that could have induced a detrimental effect on the protective nature of the iron aluminide surface layer is the formation of AgSCN, as previously reported [29].
The alloys with the addition of 3.0 and 5.0% Cu showed the most noble behavior with respect to the binary alloy, and the alloy with 1.0% Cu also showed more noble behavior with respect to the binary alloy for most of the immersion time, and at the end of the test it showed values close to those of the binary alloy. This behavior could be attributed to the formation of a protective layer film probably constituted by the Cu2O and CuO oxides. These results are well related to previous studies in which the corrosion properties of Pd-Ag-Cu alloys exposed to synthetic saliva were studied. In these investigations, a mechanism for the formation of a passive film on Cu in the environment containing thiocyanates was proposed. According to this mechanism, the formation of CuSCN initially occurs, and later it is transformed into a Cu2O/CuO layer [29,30,31].
3.3. LPR Measurements
The variation of Rp as a function of exposure period for both sets of alloys, Fe40Al-XAg and Fe40Al-XCu, is presented in Figure 4. It can be observed in this plot that the addition of Ag to the binary iron aluminide shifted its Rp towards lower values; this behavior is observed during the whole exposure time. According to Stern–Geary equation, a decrease of Rp is associated with an increment of icorr, which in turn represents an increment of corrosion rate.
Figure 4.
LPR measurements of the tested alloys exposed to artificial saliva.
This behavior is in part related to the lower interval of passive region observed in the Ag-modified Fe40Al alloys. Also, in this case, the presence of SCN- anions in artificial saliva could induce pitting corrosion [32,33]. Thiocyanate anions combined with Ag in the form of AgSCN were considered among the corrosion products that can form between Ag and the components of artificial saliva once the steady state is reached [29,34]. Furthermore, the increment of corrosion rate could be attributed to a combined effect derived from the formation of a galvanic pair (Ag-Iron aluminide) and the precipitation of Ag compounds, such as AgCl and Ag2O. It is significant to remark that the Fe40Al-3.0Ag alloy showed the lowest Rp values over the entire exposure period; this behavior agrees with the highest icorr observed in this alloy (see Table 1).
Also, the binary Fe40Al alloy exhibited higher Rp value than Fe40Al-1.0Cu and Fe40Al-5.0Cu alloys during almost all the immersion periods. This indicates that the binary iron aluminide presented a lower corrosion rate as compared with both cooper alloys. However, Fe40Al-3.0Cu alloy and 316L stainless steel presented the lower corrosion rates, since both materials displayed higher Rp values than those of binary iron aluminide. In previous research [29], the OCP variation of pure Cu as a function of immersion in artificial saliva was assessed, and the results showed suggest that the copper electrode was covered by a CuSCN layer when the potential underwent the first delay at 0.1V vs. SHE. Based on a complementary study focused on calculation of equilibrium composition, the authors also proposed a mechanism where the primarily produced CuSCN transform with increasing potential to a Cu2O/CuO layer [30,31]. This supports the observed trend on Rp variation test, where the concentration increments of Cu up to 5.0 wt% induced a shift of Rp to higher values. On the other hand, the protective nature of the surface film formed on 316L stainless steel is mainly Cr oxide with a thickness of about 3.6 nm [27].
3.4. Electrochemical Impedance Spectroscopy Measurements
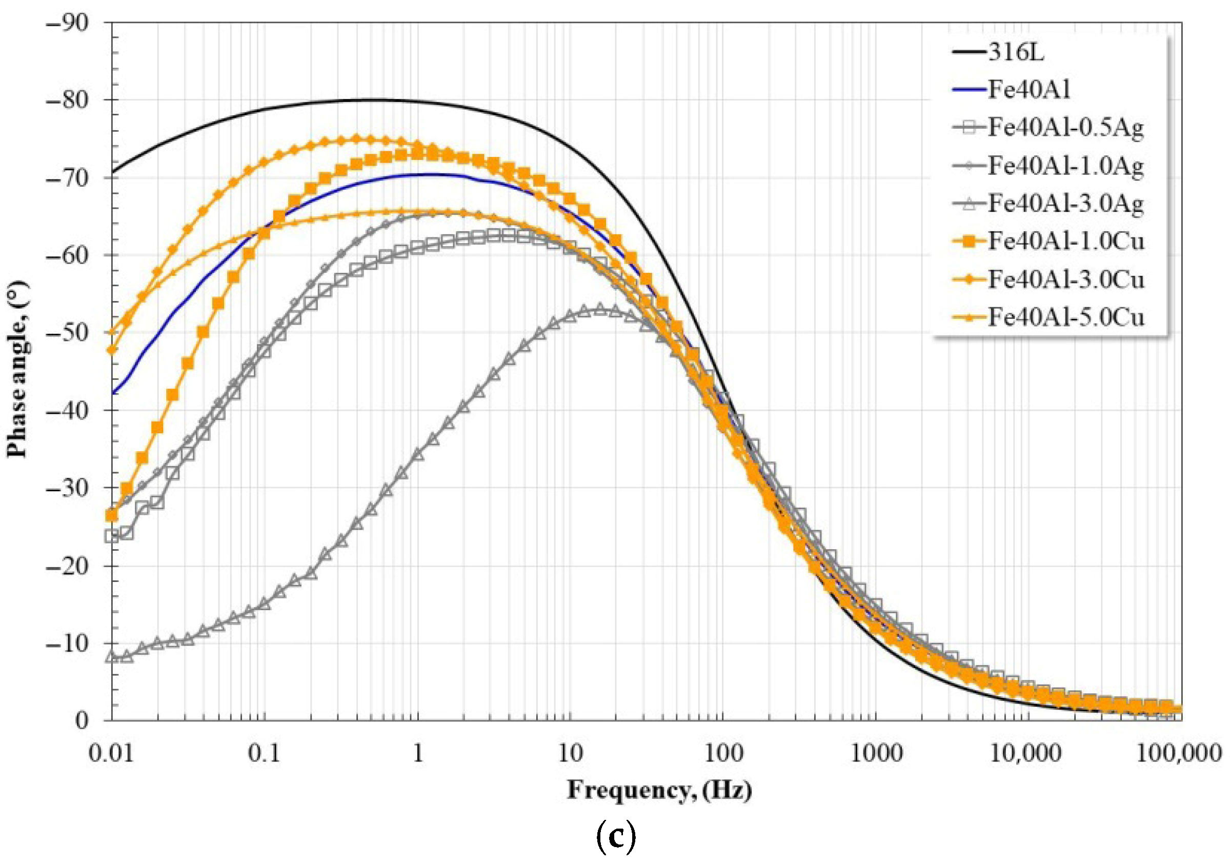
Figure 5 shows the impedance spectra of 316L stainless steel and intermetallic alloys evaluated in artificial saliva after 24 h of immersion at 37 °C.

Figure 5.
Nyquist (a) and Bode (b,c) plots for alloys exposed in artificial saliva at 37 °C after 24 h.
From the Nyquist diagram it is observed that all materials show the formation of a capacitive semicircle, where stainless steel exhibits the semicircle with the largest diameter and Fe40Al-XAg alloys those with the smallest diameter.
Similar behavior is observed from the Bode plot in its impedance modulus format, |Z|. In the high-frequency region (>1000 Hz), the development of a high-frequency plateau corresponding to the solution resistance, Rs, is observed in all cases, and in the intermediate-frequency region (1000–1.0 Hz), the formation of a linear relationship between log f and |Z| is observed; this is consistent with the presence of a single capacitive semicircle. However, in the low-frequency region (<1.0 Hz), the formation of a low-frequency plateau is not observed in all cases. This suggests that the impedance modulus, and consequently the resistance to charge transfer, is greater than the last recorded value. Accordingly, it is observed that 316L steel and the Fe40Al-3.0Ag alloy present the highest and lowest values of charge transfer resistance, respectively.
The phase angle represented in the Bode diagram tends to zero at both high and low frequencies. In all cases, a phase angle maximum is observed only around 0.4–20 Hz, with the highest value recorded for the 316L sample (−80°) and the lowest value recorded for Fe40Al-3.0Ag (−53°). The amplitude of the phase angle maximum, as well as its broadening, has been associated with the passivation of the metal surface [35].
From the Bode plots, it is interesting to observe that at frequencies greater than 100 Hz, virtually all spectra overlap, and at lower frequencies, the observed behavior depends on the resistive and capacitive characteristics of each material’s surface. This suggests the exclusive formation of solid, stable surface layers and the absence of metal oxyhydroxide corrosion products.
In order to determine the evolution of the described electrochemical behavior, charge transfer resistance, Rct, and capacitance of the electrochemical double layer, Cdl, the impedance spectra were modeled considering the presence of a single time constant according to the equivalent circuit shown in Figure 6, where Rs represents the electrolyte resistance and ZCPEdl the impedance of the constant phase element (CPE).
Figure 6.
Schematic representation of an equivalent circuit with a time constant.
To compensate for surface irregularities in the working electrode, it is common to use CPE instead of capacitance. The impedance of the CPE has been defined as follows [36]:
In this expression the different variables are defined as magnitude of the CPE (Y0, Ω−1 cm−2 sn), angular frequency (ω, rad s−1), coefficient n (0 < n <1), and the imaginary number (j2 = −1). Based on these parameters, the capacitance of the electrochemical double layer can be calculated according to the following [36]:
Figure 7 shows the variation of the values of Rct and Cdl as a function of time from the modeling of the impedance spectra of the materials evaluated according to the proposed equivalent circuit. The data correspond to a quality adjustment represented by “chi-square”, χ2 = 0.001).

Figure 7.
Evolution of (a) Cdl and (b) Rct values as a function of time for alloys exposed in artificial saliva at 37 °C.
Regarding the Cdl values, it can be observed that all materials show Cdl values within a close range, although their trends differ. 316L stainless steel is the only material that shows a clear tendency to decrease its Cdl values with increasing immersion time. This may be associated with the formation of a protective oxide with excellent capacitive properties, low surface heterogeneity, and high resistance to charge transfer, as suggested by Equation (2). On the other hand, the Fe40Al alloy shows very stable Cdl values with a slight tendency to decrease with increasing immersion time. This also suggests a good protective capacity for its developed surface oxide. However, the Cu- and Ag-doped alloys, although some of them show lower Cdl values than those of the Fe40Al alloy, show a slight tendency to increase with increasing immersion time. In general, it has been reported that the addition of a third element to Fe-Al alloys improves their corrosion resistance because the presence of iron oxides in the protective film is reduced when they are replaced by oxides of the third element [8,37,38,39,40,41]. However, this depends on the reactivity of the third element with other species present in the electrolyte. In this case, as previously indicated, both Cu and Ag react with thiocyanate ions (SCN-) to form CuSCN and AgSCN [29,30,31], also inducing localized corrosion [32,33], and in the case of Ag-doped alloys, the presence of galvanic corrosion [34]. This is consistent with the behavior observed in the Rct and Rp values.
Similar behaviors are observed in the ndl values (Figure 8), namely an increase for 316L steel and the Fe40Al intermetallic alloy, and a decrease for the Cu- and Ag-doped alloys. This suggests an increase in surface homogeneity in the first case and an increase in surface heterogeneity in the second case. The latter may be associated with the reactivity of Cu and Ag with thiocyanate ions, in addition to the galvanic corrosion promoted by the presence of Ag.
Figure 8.
Evolution of ndl as a function of time for alloys exposed in artificial saliva at 37 °C.
As observed, the results of electrochemical impedance spectroscopy demonstrate that 316L stainless steel has the highest corrosion resistance among the materials tested, as evidenced by its high charge transfer resistance (Rct), low double-layer capacitance (Cdl), and increasing surface homogeneity over time. The intermetallic alloy Fe40Al also exhibits favorable electrochemical behavior, although slightly lower than that of 316L, indicating the formation of a stable, protective passive layer. Conversely, the addition of Cu and Ag to Fe40Al results in a deterioration of the protective properties, as reflected by decreased Rct values, increased Cdl, and reduced ndl exponent values over time. This behavior is attributed to the interaction of Cu and Ag with thiocyanate ions in the medium, which promotes the formation of corrosion products and localized or galvanic corrosion phenomena. These findings highlight the importance of understanding the electrochemical reactivity of alloying elements in complex media, as well as their impact on the protective behavior and long-term stability of passive films.
4. Conclusions
This study demonstrated that the electrochemical behavior of Fe40Al intermetallic alloys in artificial saliva is significantly influenced by the addition of Cu and Ag. Among the tested materials, 316L stainless steel showed the best corrosion resistance, as evidenced by its low corrosion current density, high polarization resistance, and superior charge transfer resistance. The unalloyed Fe40Al alloy also exhibited good corrosion performance, suggesting the formation of a stable and protective passive oxide layer.
The addition of Cu to the Fe40Al matrix improved corrosion resistance at specific concentrations, particularly at 3.0 wt%, which showed the lowest corrosion current density and high values of Rp and Rct, even surpassing 316L in some cases. This effect is attributed to the formation of a protective Cu2O/CuO film after initial surface reactions involving CuSCN.
In contrast, Ag additions led to a general deterioration in corrosion resistance, especially at higher concentrations (3.0 wt%), due to the precipitation of metallic Ag, formation of AgSCN, and galvanic coupling with the Fe-Al matrix, all of which promoted localized corrosion. The electrochemical impedance data also showed that Cu- and Ag-doped alloys developed less homogeneous passive layers over time, as evidenced by their increasing Cdl and decreasing ndl values.
Overall, the study confirms that while the Fe40Al intermetallic alloy has intrinsic corrosion resistance in simulated biological environments, the incorporation of Cu can enhance this behavior under optimized conditions, whereas Ag additions tend to be detrimental. These findings provide valuable insight into the design of Fe-Al-based biomaterials and the careful selection of alloying elements for applications in physiological environments.
Author Contributions
Conceptualization, J.G.C.-N.; Methodology, J.P.-C., J.d.l.V.O., C.D.A.-G., J.G.G.-R. and J.G.C.-N.; Validation, J.d.l.V.O. and J.L.R.-B.; Formal analysis, R.A.R.-D., J.d.l.V.O., J.G.G.-R., J.G.C.-N. and J.L.R.-B.; Investigation, J.P.-C., R.A.R.-D. and C.D.A.-G.; Resources, J.L.R.-B.; Writing—original draft, J.P.-C. and J.G.G.-R.; Writing—review & editing, J.P.-C. and C.D.A.-G. All authors have read and agreed to the published version of the manuscript.
Funding
This research received no external funding.
Data Availability Statement
The original contributions presented in this study are included in the article. Further inquiries can be directed to the corresponding author.
Conflicts of Interest
The authors declare no conflicts of interest.
References
- Fróis, A.; Santos, A.C.; Louro, C.S. Corrosion of Fixed Orthodontic Appliances: Causes, Concerns, and Mitigation Strategies. Metals 2023, 13, 1955. [Google Scholar] [CrossRef]
- Mohammed, S.; Kök, M.; Qader, I.N.; Coşkun, M. A Review Study on Biocompatible Improvements of NiTi-based Shape Memory Alloys. Int. J. Innov. Eng. Appl. 2021, 5, 125–130. [Google Scholar] [CrossRef]
- Małkiewicz, K.; Sztogryn, M.; Mikulewicz, M.; Wielgus, A.; Kamiński, J.; Wierzchoń, T. Comparative assessment of the corrosion process of orthodontic archwires made of stainless steel, titanium-molybdenum and nickel-titanium alloys. Arch. Civ. Mech. Eng. 2018, 18, 941–947. [Google Scholar] [CrossRef]
- Anandan, A.; Rajendran, S.; Sathiyabama, J.; Sathiyaraj, D. Electrochemical Behavior of NI-TI Super Elastic Shape Memory Alloy in Artificial Saliva. Int. J. Chemtech. Res. 2018, 11, 29–34. [Google Scholar] [CrossRef]
- Močnik, P.; Kosec, T. A Critical Appraisal of the Use and Properties of Nickel–Titanium Dental Alloys. Materials 2021, 14, 7859. [Google Scholar] [CrossRef]
- Castañeda, I.E.; Gonzalez-Rodriguez, J.G.; Colin, J.; Neri-Flores, M.A. Electrochemical behavior of Ni-Al-Fe alloys in simulated human body solution. J. Solid State Electrochem. 2010, 14, 1145–1152. [Google Scholar] [CrossRef]
- Arrieta-Gonzalez, C.D.; Porcayo-Calderon, J.; Salinas-Bravo, V.M.; Gonzalez-Rodriguez, J.G.; Chacon-Nava, J.G. Electrochemical behavior of Fe3Al modified with Ni in Hank’s solution. Int. J. Electrochem. Sci. 2011, 6, 4016–4031. [Google Scholar] [CrossRef]
- Arrieta-Gonzalez, C.D.; Rodriguez-Diaz, R.A.; Mayen, J.; Retes-Mantilla, R.F.; Torres-Mancera, M.T.; Oros-Méndez, L.A.; Cruz-Mejía, H.; Flores-Garcia, N.S.; Porcayo-Calderon, J. Electrochemical performance of Fe40Al-X (X = Cr, Ti, Co, Ni) alloys exposed to artificial saliva. Materials 2020, 13, 1095. [Google Scholar] [CrossRef]
- Chang, S.H.; Lin, J.X.; Chiang, C.H. Surface properties and metal ions leaching behaviors of nickel-titanium orthodontic archwires modified by oxidation. Dig. J. Nanomater. Biostruct. 2024, 19, 1825–1834. [Google Scholar] [CrossRef]
- Kaiser, K.G.; Delattre, V.; Frost, V.J.; Buck, G.W.; Phu, J.V.; Fernandez, T.G.; Pavel, I.E. Nanosilver: An Old Antibacterial Agent with Great Promise in the Fight against Antibiotic Resistance. Antibiotics 2023, 12, 1264. [Google Scholar] [CrossRef]
- Mathur, A.; Mathur, A.; Jain, M.; Gopalakrishnan, D. Level of Copper in Unstimulated Saliva and its Impact on Dental Caries amongst Different Dentition: A in vivo Comparative Analysis. Adv. Hum. Biol. 2023, 13, S23–S26. [Google Scholar] [CrossRef]
- Bora, P.; Nangia, T.; Saxena, A.; Kunchok, T.; Sangal, A. Silver diamine fluoride: Role in management of dental caries. Int. J. Appl. Dent. Sci. 2022, 8, 384–391. [Google Scholar] [CrossRef]
- Shreyash, N.; Bajpai, S.; Khan, M.A.; Vijay, Y.; Tiwary, S.K.; Sonker, M. Green Synthesis of Nanoparticles and Their Biomedical Applications: A Review. ACS Appl. Nano Mater. 2021, 4, 11428–11457. [Google Scholar] [CrossRef]
- Bharti, S.; Mukherji, S.; Mukherji, S. Enhanced antibacterial activity of decahedral silver nanoparticles. J. Nanopart Res. 2021, 23, 1–18. [Google Scholar] [CrossRef]
- Abbasi, R.; Shineh, G.; Mobaraki, M.; Doughty, S.; Tayebi, L. Structural parameters of nanoparticles affecting their toxicity for biomedical applications: A review. J. Nanopart Res. 2023, 25, 43. [Google Scholar] [CrossRef]
- Crisan, M.C.; Teodora, M.; Lucian, M. Copper Nanoparticles: Synthesis and Characterization, Physiology, Toxicity and Antimicrobial Applications. Appl. Sci. 2022, 12, 141. [Google Scholar] [CrossRef]
- Duffó, G.S.; Quezada-Castillo, E. Development of an artificial saliva solution for studying the corrosion behavior of dental alloys. Corrosion 2004, 60, 594–602. [Google Scholar] [CrossRef]
- Eliaz, N.; Gileadi, E. Physical Electrochemistry: Fundamentals, Techniques, and Applications, 2nd ed.; Wiley-VCH: Weinheim, Germany, 2019; ISBN 978-3-527-34139-9. [Google Scholar]
- Rodríguez-Díaz, R.A.; Ramirez-Ledesma, A.L.; Aguilar-Mendez, M.A.; Chavarin, J.U.; Gallegos, M.H.; Juarez-Islas, J.A. Electrochemical corrosion behavior of a Co20Cr alloy in artificial saliva. Int. J. Electrochem. Sci. 2015, 10, 7212–7226. [Google Scholar] [CrossRef]
- Fu, W.; Liu, S.; Jiao, J.; Xie, Z.; Huang, X.; Lu, Y.; Liu, H.; Hu, S.; Zuo, E.; Kou, N.; et al. Wear Resistance and Biocompatibility of Co-Cr Dental Alloys Fabricated with CAST and SLM Techniques. Materials 2022, 15, 3263. [Google Scholar] [CrossRef]
- Gurel, S.; Nazarahari, A.; Canadinc, D.; Gerstein, G.; Maier, H.J.; Cabuk, H.; Bukulmez, T.; Cananoglu, M.; Yagci, M.B.; Toker, S.M.; et al. From corrosion behavior to radiation response: A comprehensive biocompatibility assessment of a CoCrMo medium entropy alloy for utility in orthopedic and dental implants. Intermetallics 2022, 149, 107680. [Google Scholar] [CrossRef]
- Kocijan, A.; Milošev, I.; Pihlar, B. Cobalt-based alloys for orthopaedic applications studied by electrochemical and XPS analysis. J. Mater. Sci. Mater. Med. 2004, 15, 643–650. [Google Scholar] [CrossRef]
- Rodríguez-Diaz, R.A.; Uruchurtu-Chavarin, J.; Molina-Ocampo, A.; Porcayo-Calderon, J.; Mendoza, M.E.; Valdez, S.; Juárez-Islas, J. Hot corrosion behavior of FeAl intermetallic compound modified with silver in molten salt mixture. Int. J. Electrochem. Sci. 2013, 8, 11877–11895. [Google Scholar] [CrossRef]
- Beltrán-González, J.; Villamar-Barajas, Y.; Carbajal-De la Torre, G.; Ruiz, A.; Espinosa-Medina, M.A. Effect of temperature on the corrosion behavior of a superplastic Zn–Al–Ag alloy in acid rain solution. MRS Adv. 2021, 6, 815–819. [Google Scholar] [CrossRef]
- Rodríguez-Díaz, R.A.; Uruchurtu-Chavarín, J.; Molina-Ocampo, A.; Porcayo-Calderón, J.; González-Pérez, M.; López-Oglesby, J.M.; Gonzalez-Rodríguez, J.G.; Juárez-Islas, J.A. Corrosion behavior of Fe-Al alloy modified with Cr and Ti in simulated physiological human media. Int. J. Electrochem. Sci. 2013, 8, 958–972. [Google Scholar] [CrossRef]
- Bedmar, J.; García-Rodríguez, S.; Roldán, M.; Torres, B.; Rams, J. Effects of the heat treatment on the microstructure and corrosion behavior of 316 L stainless steel manufactured by Laser Powder Bed Fusion. Corros. Sci. 2022, 209, 110777. [Google Scholar] [CrossRef]
- Zambrano Carrullo, J.C.; Borrás, A.D.; Borrás, V.A.; Navarro-Laboulais, J.; Falcón, J.C.P. Electrochemical corrosion behavior and mechanical properties of Ti–Ag biomedical alloys obtained by two powder metallurgy processing routes. J. Mech. Behav. Biomed. Mater. 2020, 112, 104063. [Google Scholar] [CrossRef]
- Vaidyanathan, T.K.; Prasad, A. In vitro corrosion and tarnish analysis of the Ag-Pd binary system. J. Dent. Res. 1981, 60, 707–715. [Google Scholar] [CrossRef]
- Joska, L.; Poddana, M.; Leitner, J. Corrosion behavior of palladium–silver–copper alloys in model saliva. Dent. Mater. 2008, 24, 1009–1016. [Google Scholar] [CrossRef]
- Figueroa, M.G.; Salvarezza, R.C.; Arvia, A.J. Electrochemical behavior of copper in potassium thiocyanate—I. Dissolution, passivation and pitting processes. Electrochim. Acta 1986, 31, 671–680. [Google Scholar] [CrossRef]
- Figueroa, M.G.; De Mele, M.F.L.; Salvarezza, R.C.; Arvia, A.J. Electrochemical behavior of copper in potassium thiocyanate solution—II. Analysis of potentiostatic current transients. Electrochim. Acta 1987, 32, 231–238. [Google Scholar] [CrossRef]
- Amin, M.A.; Ibrahim, M.M. Pit initiation and growth control of Al in KSCN solutions. Comptes Rendus Chim. 2011, 14, 429–433. [Google Scholar] [CrossRef]
- Amin, M.A. Pitting of Al and Al-Si alloys in KSCN solutions and the effect of light. Arab. J. Chem. 2013, 6, 87–92. [Google Scholar] [CrossRef]
- Salgado-Salgado, R.J.; Porcayo-Calderon, J.; Sotelo-Mazon, O.; Rodriguez-Diaz, R.A.; Salinas-Solano, G.; Salinas-Bravo, V.M.; Martinez-Gomez, L. Effect of Ag Addition on the Electrochemical Performance of Cu10Al in Artificial Saliva. Bioinorg. Chem. Appl. 2016, 2016, 4792583. [Google Scholar] [CrossRef]
- Badawy, W.A.; Al-Kharafi, F.M.; Al-Ajmi, J.R. Electrochemical behavior of cobalt in aqueous solutions of different pH. J. Appl. Electrochem. 2000, 30, 693–704. [Google Scholar] [CrossRef]
- Brug, G.J.; Van Den Eeden, A.L.G.; Sluyters-Rehbach, M.; Sluyters, J.H. The analysis of electrode impedances complicated by the presence of a constant phase element. J. Electroanal. Chem. 1984, 176, 275–295. [Google Scholar] [CrossRef]
- Garcıa-Alonso, M.C.; Lopez, M.F.; Escudero, M.L.; González-Carrasco, J.L.; Morris, D.G. Corrosion behaviour of an Fe3Al-type intermetallic in a chloride containing solution. Intermetallics 1999, 7, 185–191. [Google Scholar] [CrossRef]
- Rao, V.S. A review of the electrochemical corrosion behaviour of iron aluminides. Electrochim. Acta 2004, 49, 4533–4542. [Google Scholar] [CrossRef]
- Escudero, M.L.; Garcia-Alonso, M.C.; Gonzalez-Carrasco, J.L.; Muñoz-Morris, M.A.; Montealegre, M.A.; Garcia-Oca, C.; Morris, D.G.; Deevi, S.C. Possibilities for improving the corrosion resistance of Fe-40Al intermetallic strip by prior oxide protection. Scr. Mater. 2003, 48, 1549–1554. [Google Scholar] [CrossRef]
- Sharma, G.; Gaonkar, K.B.; Singh, P.R. Effect of Cr addition on pitting behavior of iron aluminide intermetallic. Mater. Lett. 2007, 61, 971–973. [Google Scholar] [CrossRef]
- Negache, M.; Taibi, K.; Souami, N.; Bouchemel, H.; Belkada, R. Effect of Cr, Nb and Zr additions on the aqueous corrosion behavior of iron-aluminide. Intermetallics 2013, 36, 73–80. [Google Scholar] [CrossRef]
Disclaimer/Publisher’s Note: The statements, opinions and data contained in all publications are solely those of the individual author(s) and contributor(s) and not of MDPI and/or the editor(s). MDPI and/or the editor(s) disclaim responsibility for any injury to people or property resulting from any ideas, methods, instructions or products referred to in the content. |
© 2025 by the authors. Licensee MDPI, Basel, Switzerland. This article is an open access article distributed under the terms and conditions of the Creative Commons Attribution (CC BY) license (https://creativecommons.org/licenses/by/4.0/).









