Compression Behaviour of L-PBF-Manufactured Ti6Al4V BCC Lattices
Abstract
1. Introduction
- Experimental validation of solid and lattice samples: A detailed experimental validation of both solid and lattice samples, manufactured under similar process parameters and scanning conditions, is needed. While numerous studies focus on the mechanical behaviour of lattices, direct comparisons with solid samples fabricated under identical conditions are rare. Such comparisons are essential in order to establish a baseline for evaluating the mechanical performance of lattice structures relative to their solid counterparts.
- Microstructure–property correlations before and after heat treatment: A comprehensive microstructure–property correlation for lattices both before and after heat treatment is needed to understand the change in microstructure and the corresponding change in overall mechanical properties. Although heat treatment is widely recognized for its role in reducing residual stresses and altering microstructures, its specific effects on L-PBF-manufactured lattices, especially in terms of phase transformations and the resulting mechanical improvements, remain underexplored.
- Interplay of geometric characteristics and microstructure: Examining the relationship between geometric parameters, such as unit cell size and strut diameter, with the backing of the knowledge on microstructural evolution during L-PBF manufacturing is crucial. This study explores how these geometric variations influence thermal gradients and grain morphology based upon existing studies in the literature, and correlates the results with the mechanical properties obtained, offering insights that might help engineers to optimize lattice structures to achieve enhanced performances.
- Solid samples—as-built vs. heat-treated: this study analyzes the microstructural transformations and mechanical behaviour change in solid samples before and after the selected heat treatment.
- Solid vs. lattice—as-built: compares grain morphology and possible changes in thermal gradients based upon existing studies and undertakes a comparison of mechanical properties as regards solid and lattice samples in the as-built state.
- Lattices—as-built vs. heat-treated: explores the effect of heat treatment on lattice samples, focusing on microstructural evolution and the resultant property enhancements.
- Fractography—as-built vs. heat-treated: investigates failure mechanisms in both as-built and heat-treated samples and identifies the dominant failure mode through detailed fractographic analysis.
2. Experimental Methods
2.1. Design of Experiments
2.1.1. Lattice Design
2.1.2. Lattice Manufacturing
2.2. Mechanical Testing and Analysis
2.2.1. Compression Testing
2.2.2. Analytical Techniques
3. Results and Discussion
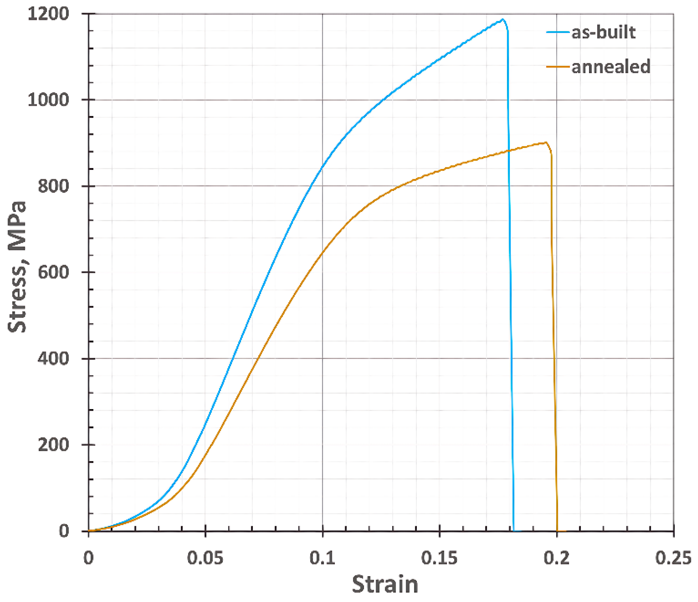
3.1. Solid Samples: As-Built vs. Heat-Treated
3.2. Solid vs. Lattice: As-Built
3.3. Lattices: As-Built vs. Heat-Treated
3.4. Fractography: As-Built vs. Heat-Treated
4. Conclusions
- The as-built solids and lattices exhibit an α’ martensitic microstructure, characterized by high stiffness and brittleness compared to the annealed solids and lattices exhibiting an α + β formation. The enhanced ductility in annealed samples is attributed to reduced residual stresses in addition to the change in phases.
- With the increase in relative density, both yield strength and Young’s modulus of the lattices increase. Lower relative density results in higher stress concentration factors, especially at nodes, leading to earlier failures.
- Smaller unit cells distribute stress more evenly due to a higher node density per unit volume, resulting in bending-dominated behaviour and lower compressive strength. However, larger unit cells with thicker struts exhibit higher localized stress on each strut, resulting in higher compressive strength despite having the same relative density.
- Annealed samples exhibit reduced hardness and improved ductility due to the α + β phase transformation, enhancing the ability to plastically deform.
- All the samples fail via the shear band formation at 45° to the loading direction due to the alignment of principal stress planes with lattice struts under compressive loads.
- With as-built samples, smaller unit cell samples (1 mm unit cell) show significant densification before failing due to a mixed mode of failure with shear and brittle failure. However, larger unit cell samples (2 mm and 3 mm unit cell) failed without any plastic deformation or densification via a mixed mode of failure with shear and brittle failure.
- Annealed samples exhibit some plastic deformation (2 mm unit cell samples), with one of the samples (1 mm unit cell sample) exhibiting complete bending-dominated behaviour with densification. During the failure of the larger unit cell samples, they experience notable plastic deformation before failing in a mixed mode of shear and ductile failure.
Contribution to the State of the Art
Author Contributions
Funding
Data Availability Statement
Conflicts of Interest
References
- Saini, M.; Singh, Y.; Arora, P.; Arora, V.; Jain, K. Implant biomaterials: A comprehensive review. World J. Clin. Cases 2015, 3, 52–57. [Google Scholar] [CrossRef] [PubMed]
- Rack, H.; Qazi, J. Titanium Alloys for Biomedical Applications. Mater. Sci. Eng. C 2006, 26, 1269–1277. [Google Scholar] [CrossRef]
- Niinomi, M. Mechanical biocompatibilities of titanium alloys for biomedical applications. J. Mech. Behav. Biomed. Mater. 2008, 1, 30–42. [Google Scholar] [CrossRef] [PubMed]
- Wang, Y. Bioadaptability: An Innovative Concept for Biomaterials. J. Mater. Sci. Technol. 2016, 32, 801–809. [Google Scholar] [CrossRef]
- Rahyussalim, A.J.; Marsetio, A.F.; Saleh, I.; Kurniawati, T.; Whulanza, Y. The Needs of Current Implant Technology in Orthopaedic Prosthesis Biomaterials Application to Reduce Prosthesis Failure Rate. J. Nanomater. 2016, 2016, 5386924. [Google Scholar] [CrossRef]
- Sammons, R.L. 15-Modifying biomaterial surfaces to optimise interactions with bone, In Surface Modification of Biomaterials; R. Williams, R., Ed.; Woodhead Publishing: Cambridge, UK, 2011; pp. 365–400. [Google Scholar]
- Philip, J.; Mathew, J.; Kuriachen, B. Tribology of Ti6Al4V: A review. Friction 2019, 7, 497–536. [Google Scholar] [CrossRef]
- De Rezende, M.R.; Johansson, C. Quantitative bone tissue response to commercially pure titanium implants. J. Mater. Sci. Mater. Med. 1993, 4, 233–239. [Google Scholar] [CrossRef]
- Donachie, M.J. Titanium: A Technical Guide; ASM International: Amsterdam, The Netherlands, 2000. [Google Scholar]
- Geetha, M.; Singh, A.K.; Asokamani, R.; Gogia, A.K. Ti based biomaterials, the ultimate choice for orthopaedic implants—A review. Prog. Mater. Sci. 2009, 54, 397–425. [Google Scholar] [CrossRef]
- Bahraminasab, M.; Hassan, M.R.; Sahari, B. Metallic biomaterials of knee and hip-A review. Trends Biomater. Artif. Organs 2010, 24, 69–82. [Google Scholar]
- Bastidos, A. Failure Analysis and Materials Characterization of Hip Implants; Stafford, S.W., Gomez, C., Stafford, S., Trueba, L., Eds.; ProQuest Dissertations Publishing: Ann Arbor, MI, USA, 2009. [Google Scholar]
- Peng, W.-M.; Liu, Y.-F.; Jiang, X.-F.; Dong, X.-T.; Jun, J.; Baur, D.A.; Xu, J.-J.; Pan, H.; Xu, X. Bionic mechanical design and 3D printing of novel porous Ti6Al4V implants for biomedical applications. J. Zhejiang Univ. SCIENCE B. 2019, 20, 647–659. [Google Scholar] [CrossRef]
- Carrozza, A.; Bircher, B.A.; Aversa, A.; Biamino, S. Investigating Complex Geometrical Features in LPBF-Produced Parts: A Material-Based Comparison Between Different Titanium Alloys. Met. Mater. Int. 2023, 29, 3697–3714. [Google Scholar] [CrossRef]
- Wu, Y.; Liu, J.; Kang, L.; Tian, J.; Zhang, X.; Hu, J.; Huang, Y.; Liu, F.; Wang, H.; Wu, Z. An overview of 3D printed metal implants in orthopedic applications: Present and future perspectives. Heliyon 2023, 9, e17718. [Google Scholar] [CrossRef] [PubMed]
- Cao, S.; Zou, Y.; Lim, S.; Wu, X. Review of laser powder bed fusion (LPBF) fabricated Ti-6Al-4V: Process, post-process treatment, microstructure, and property. Light. Adv. Manuf. 2021, 2, 20. [Google Scholar] [CrossRef]
- Naghavi, S.A.; Tamaddon, M.; Marghoub, A.; Wang, K.; Babamiri, B.B.; Hazeli, K.; Xu, W.; Lu, X.; Sun, C.; Wang, L.; et al. Mechanical Characterisation and Numerical Modelling of TPMS-Based Gyroid and Diamond Ti6Al4V Scaffolds for Bone Implants: An Integrated Approach for Translational Consideration. Bioengineering 2022, 9, 504. [Google Scholar] [CrossRef]
- Li, Z.; Wang, Q.; Liu, G. A Review of 3D Printed Bone Implants. Micromachines 2022, 13, 528. [Google Scholar] [CrossRef]
- Bauer, S.; Schmuki, P.; Mark, K.; Park, J. Engineering biocompatible implant surfaces. Prog. Mater. Sci. 2012, 58, 261–326. [Google Scholar] [CrossRef]
- Ataollahi, S. A review on additive manufacturing of lattice structures in tissue engineering. Bioprinting 2023, 35, e00304. [Google Scholar] [CrossRef]
- Pisaneschi, G.; Mele, M.; Zucchelli, A.; Fiorini, M.; Campana, G.; Marcelli, E.; Tarsitano, A.; Lucchi, E.; Cercenelli, L. Numerical and experimental investigation of a 3D-printed PCU patient-specific cranial implant. Prog. Addit. Manuf. 2024, 9, 299–313. [Google Scholar] [CrossRef]
- Cheng, L.; Bai, J.; To, A.C. Functionally graded lattice structure topology optimization for the design of additive manufactured components with stress constraints. Comput. Methods Appl. Mech. Eng. 2019, 344, 334–359. [Google Scholar] [CrossRef]
- Mahbod, M.; Asgari, M. Elastic and plastic characterization of a new developed additively manufactured functionally graded porous lattice structure: Analytical and numerical models. Int. J. Mech. Sci. 2019, 155, 248–266. [Google Scholar] [CrossRef]
- Agbedor, S.-O.; Wu, H.; Ren, Y.; Liang, L.; Yang, D.; Liu, B.; Liu, Y.; Baker, I. A two-decade odyssey in fusion-based additive manufacturing of titanium alloys and composites. Appl. Mater. Today 2024, 39, 102242. [Google Scholar] [CrossRef]
- Chen, S.-G.; Gao, H.-J.; Zhang, Y.-D.; Wu, Q.; Gao, Z.-H.; Zhou, X. Review on residual stresses in metal additive manufacturing: Formation mechanisms, parameter dependencies, prediction and control approaches. J. Mater. Res. Technol. 2022, 17, 2950–2974. [Google Scholar] [CrossRef]
- Gan, M.; Wu, Q.; Long, L. Prediction of Residual Deformation and Stress of Laser Powder Bed Fusion Manufactured Ti-6Al-4V Lattice Structures Based on Inherent Strain Method. Mater. Res. 2023, 26, e20220516. [Google Scholar] [CrossRef]
- Promoppatum, P.; Yao, S.-C. Analytical evaluation of defect generation for selective laser melting of metals. Int. J. Adv. Manuf. Technol. 2019, 103, 1185–1198. [Google Scholar] [CrossRef]
- Zhang, B.; Li, Y.; Bai, Q. Defect Formation Mechanisms in Selective Laser Melting: A Review. Chin. J. Mech. Eng. 2017, 30, 515–527. [Google Scholar] [CrossRef]
- Hernández-Nava, E.; Smith, C.; Derguti, F.; Tammas-Williams, S.; Leonard, F.; Withers, P.; Todd, I.; Goodall, R. The effect of defects on the mechanical response of Ti-6Al-4V cubic lattice structures fabricated by electron beam melting. Acta Mater. 2016, 108, 279–292. [Google Scholar] [CrossRef]
- Zhang, J.; Shen, Y.; Sun, Y.; Yang, J.; Gong, Y.; Wang, K.; Zhang, Z.; Chen, X.; Bai, L. Design and mechanical testing of porous lattice structure with independent adjustment of pore size and porosity for bone implant. J. Mater. Res. Technol. 2022, 18, 3240–3255. [Google Scholar] [CrossRef]
- du Plessis, A.D.; Yadroitsev, I.; Yadroitsava, I.; Le Roux, S.G. X-Ray Microcomputed Tomography in Additive Manufacturing: A Review of the Current Technology and Applications. 3D Print. Addit. Manuf. 2018, 5, 227–247. [Google Scholar] [CrossRef]
- Tang, Y.; Dong, G.; Zhou, Q.; Zhao, Y. Lattice Structure Design and Optimization with Additive Manufacturing Constraints. IEEE Trans. Autom. Sci. Eng. 2017, 15, 1546–1562. [Google Scholar] [CrossRef]
- Bai, L.; Zhang, J.; Chen, X.; Yi, C.; Chen, R.; Zhang, Z. Configuration Optimization Design of Ti6Al4V Lattice Structure Formed by SLM. Materials 2018, 11, 1856. [Google Scholar] [CrossRef]
- Kamranfard, M.R.; Darijani, H.; Khademzadeh, S. Mechanical behavior of Ti6Al4V lattice structures; numerical and experimental analysis. Mech. Adv. Mater. Struct. 2022, 31, 735–748. [Google Scholar] [CrossRef]
- Crupi, V.; Kara, E.; Epasto, G.; Guglielmino, E.; Aykul, H. Static behavior of lattice structures produced via direct metal laser sintering technology. Mater. Des. 2017, 135, 246–256. [Google Scholar] [CrossRef]
- Zhao, M.; Liu, F.; Fu, G.; Zhang, D.Z.; Zhang, T.; Zhou, H. Improved Mechanical Properties and Energy Absorption of BCC Lattice Structures with Triply Periodic Minimal Surfaces Fabricated by SLM. Materials 2018, 11, 2411. [Google Scholar] [CrossRef]
- Zhu, L.; Wang, X.; Sun, L.; Hu, Q.; Li, N. Optimisation of Selective Laser Melted Ti6Al4V Functionally Graded Lattice Structures Accounting for Structural Safety. Materials 2022, 15, 9072. [Google Scholar] [CrossRef]
- Feng, Q.; Tang, Q.; Liu, Y.; Setchi, R.; Soe, S.; Ma, S.; Bai, L. Quasi-static analysis of mechanical properties of Ti6Al4V lattice structures manufactured using selective laser melting. Int. J. Adv. Manuf. Technol. 2018, 94, 2301–2313. [Google Scholar] [CrossRef]
- Cardeña, A.; Sancho, R.; Barba, D.; Gálvez, F. Dynamic behaviour of additively manufactured Ti6Al4V BCC lattice-based structures. Mater. Lett. 2024, 354, 135286. [Google Scholar] [CrossRef]
- Güden, M.; Alpkaya, A.T.; Hamat, B.A.; Hızlı, B.; Taşdemirci, A.; Tanrıkulu, A.A.; Yavaş, H. The quasi-static crush response of electron-beam-melt Ti6Al4V body-centred-cubic lattices: The effect of the number of cells, strut diameter and face sheet. Strain 2022, 58, e12411. [Google Scholar] [CrossRef]
- Mazur, M.; Leary, M.; Sun, S.; Vcelka, M.; Shidid, D.; Brandt, M. Deformation and failure behaviour of Ti-6Al-4V lattice structures manufactured by selective laser melting (SLM). Int. J. Adv. Manuf. Technol. 2016, 84, 1391–1411. [Google Scholar] [CrossRef]
- Huang, X.; Zhang, S.; Hu, Q.; Lang, L.; Gong, S.; Nielsen, K.B. Coupling Effect of Unit Cell Topology and Forming Orientation on the Ti6Al4V Porous Structures Fabricated Using Selective Laser Melting. Adv. Eng. Mater. 2019, 21, 1800737. [Google Scholar] [CrossRef]
- Francesco, T.; Graziosi, S.; Bordegoni, M. The Design Process of Additively Manufactured Mesoscale Lattice Structures: A Review. J. Comput. Inf. Sci. Eng. 2018, 18, 040801. [Google Scholar] [CrossRef]
- Heinl, P.; Müller, L.; Körner, C.; Singer, R.F.; Müller, F.A. Cellular Ti–6Al–4V structures with interconnected macro porosity for bone implants fabricated by selective electron beam melting. Acta Biomater. 2008, 4, 1536–1544. [Google Scholar] [CrossRef] [PubMed]
- de Vasconcellos, L.M.R.; Leite, D.O.; de Oliveira, F.N.; Carvalho, Y.R.; Cairo, C.A.A. Evaluation of bone ingrowth into porous titanium implant: Histomorphometric analysis in rabbits. Braz. Oral Res. 2010, 24, 399–405. [Google Scholar] [CrossRef] [PubMed]
- Autodesk NetFabb, AutoDesk Inc: San Francisco, CA, USA, 2022. Available online: https://www.autodesk.com.au/products/netfabb/overview?term=1-YEAR&tab=subscription&plc=F360NFP (accessed on 23 April 2021).
- MiniMagics. Materialise: Leuven, Belgium, 2021. Available online: https://www.materialise.com/en/industrial/software/minimagics (accessed on 23 April 2021).
- Gao, P.; Sun, X.; Yu, B. Numerical Simulations and Experimental Studies on the Quasi-State Axial Compression Behavior of Steel-Based Porous Materials. Mater. Sci. Forum 2018, 933, 256–263. [Google Scholar] [CrossRef]
- Choy, S.Y.; Sun, C.-N.; Leong, K.F.; Wei, J. Compressive properties of Ti-6Al-4V lattice structures fabricated by selective laser melting: Design, orientation and density. Addit. Manuf. 2017, 16, 213–224. [Google Scholar] [CrossRef]
- Ali, H.; Ghadbeigi, H.; Mumtaz, K. Effect of scanning strategies on residual stress and mechanical properties of Selective Laser Melted Ti6Al4V. Mater. Sci. Eng. A Struct. Mater. Prop. Microstruct. Process. 2018, 712, 175–187. [Google Scholar] [CrossRef]
- Song, J.; Wu, W.; Zhang, L.; He, B.; Lu, L.; Ni, X.; Long, Q.; Zhu, G. Role of scanning strategy on residual stress distribution in Ti-6Al-4V alloy prepared by selective laser melting. Optik 2018, 170, 342–352. [Google Scholar] [CrossRef]
- Ahmed, N.; Barsoum, I.; Haidemenopoulos, G.; Al-Rub, R.A. Process parameter selection and optimization of laser powder bed fusion for 316L stainless steel: A review. J. Manuf. Process. 2022, 75, 415–434. [Google Scholar] [CrossRef]
- Singla, A.K.; Banerjee, M.; Sharma, A.; Singh, J.; Bansal, A.; Gupta, M.K.; Khanna, N.; Shahi, A.; Goyal, D.K. Selective laser melting of Ti6Al4V alloy: Process parameters, defects and post-treatments. J. Manuf. Process. 2021, 64, 161–187. [Google Scholar] [CrossRef]
- ISO 13314:2011; Metallic Materials—Ductility Testing—High Speed Compression Test for Porous and Cellular Metals. International Organization for Standardization: Geneva, Switzerland, 2014.
- ASTM E9-19; Standard Test Methods of Compression Testing of Metallic Materials at Room Temperature. ASTM International: West Conshohocken, PA, USA, 2019.
- ASTM E384-22; Standard Test Method for Microindentation Hardness of Materials. ASTM International: West Conshohocken, PA, USA, 2022.
- Motyka, M.; Kubiak, K.; Sieniawski, J.; Ziaja, W. Phase transformations and characterization of α+β Titanium alloys. Compr. Mater. Process. 2014, 2, 7–36. [Google Scholar]
- Baghi, A.; Nafisi, S.; Hashemi, R.; Ebendorff-Heidepriem, H.; Ghomashchi, R. Effective post processing of SLM fabricated Ti-6Al-4 V alloy: Machining vs thermal treatment. J. Manuf. Process. 2021, 68, 1031–1046. [Google Scholar] [CrossRef]
- Elmer, J.W.; Palmer, T.A.; Babu, S.S.; Specht, E.D. In situ observations of lattice expansion and transformation rates of α and β phases in Ti–6Al–4V. Mater. Sci. Eng. A 2005, 391, 104–113. [Google Scholar] [CrossRef]
- Ding, H.Y.; Qiu, P.K.; Han, Y.F.; Sun, Z.G.; Huang, J.; Chu, M.Q.; Lu, W.J. Influence of Post Heat Treatment on Microstructure and Mechanical Property of Ti6Al4V Parts Produced by Selective Laser Melting. Mater. Sci. Forum 2017, 898, 1312–1317. [Google Scholar] [CrossRef]
- Feng, Z.; Yang, Y.; Xu, Z.; Shi, Q. Effect of Martensitic Transformation on Elastic Modulus Anisotropy of Ti-6Al-4V Alloy. Mater. Res. 2018, 21. [Google Scholar] [CrossRef]
- Kazantseva, N.; Krakhmalev, P.; Thuvander, M.; Yadroitsev, I.; Vinogradova, N.; Ezhov, I. Martensitic transformations in Ti-6Al-4V (ELI) alloy manufactured by 3D Printing. Mater. Charact. 2018, 146, 101–112. [Google Scholar] [CrossRef]
- Vrancken, B.; Thijs, L.; Kruth, J.-P.; Van Humbeeck, J. Heat treatment of Ti6Al4V produced by Selective Laser Melting: Microstructure and mechanical properties. J. Alloys Compd. 2012, 541, 177–185. [Google Scholar] [CrossRef]
- Yan, X.; Yin, S.; Chen, C.; Huang, C.; Bolot, R.; Lupoi, R.; Kuang, M.; Ma, W.; Coddet, C.; Liao, H.; et al. Effect of heat treatment on the phase transformation and mechanical properties of Ti6Al4V fabricated by selective laser melting. J. Alloys Compd. 2018, 764, 1056–1071. [Google Scholar] [CrossRef]
- Cai, L.; Liang, S.Y. Analytical Modelling of Temperature Distribution in SLM Process with Consideration of Scan Strategy Difference between Layers. Materials 2021, 14, 1869. [Google Scholar] [CrossRef]
- Jia, H.; Hua, S.; Wang, H.; Wu, Y.; Wang, H. Scanning strategy in selective laser melting (SLM): A review. Int. J. Adv. Manuf. Technol. 2021, 113, 2413–2435. [Google Scholar] [CrossRef]
- Simonelli, M.; Tse, Y.Y.; Tuck, C. On the Texture Formation of Selective Laser Melted Ti-6Al-4V. Metall. Mater. Trans. A 2014, 45, 2863–2872. [Google Scholar] [CrossRef]
- Dai, G.; Sun, Z.; Li, Y.; Jain, J.; Bhowmik, A.; Shinjo, J.; Lu, J.; Panwisawas, C. Grain refinement and columnar-to-equiaxed transition of Ti6Al4V during additive manufacturing via different laser oscillations. Int. J. Mach. Tools Manuf. 2023, 189, 104031. [Google Scholar] [CrossRef]
- Hooper, P.A. Melt pool temperature and cooling rates in laser powder bed fusion. Addit. Manuf. 2018, 22, 548–559. [Google Scholar] [CrossRef]
- Panwisawas, C.; Qiu, C.L.; Sovani, Y.; Brooks, J.W.; Attallah, M.M.; Basoalto, H.C. On the role of thermal fluid dynamics into the evolution of porosity during selective laser melting. Scr. Mater. 2015, 105, 14–17. [Google Scholar] [CrossRef]
- Arputharaj, J.D.; Nafisi, S.; Ghomashchi, R. LPBF Fabrication of Thin Cross Sections: Challenges and Printability. In TMS 2023 152nd Annual Meeting & Exhibition Supplemental Proceedings; Springer Nature: Cham, Switzerland, 2023; pp. 150–164. [Google Scholar]
- Arputharaj, J.D.; Nafisi, S.; Ghomashchi, R. Additive manufacturing of continuous wave and pulsed wave L-PBF Ti64 thin cross sections. Prog. Addit. Manuf. 2024. [Google Scholar] [CrossRef]
- Liu, D.; Wang, Y. Multiphysics Simulation of Nucleation and Grain Growth in Selective Laser Melting of Alloys. J. Comput. Inf. Sci. Eng. 2020, 20, 1–26. [Google Scholar] [CrossRef]
- Zadpoor, A.A. Mechanical performance of additively manufactured meta-biomaterials. Acta Biomater. 2019, 85, 41–59. [Google Scholar] [CrossRef]
- Kan, W.H.; Gao, M.; Zhang, X.; Liang, E.; Chiu, N.S.L.; Lim, C.V.S.; Huang, A. The influence of porosity on Ti-6Al-4V parts fabricated by laser powder bed fusion in the pursuit of process efficiency. Int. J. Adv. Manuf. Technol. 2022, 119, 5417–5438. [Google Scholar] [CrossRef]
- Liu, X.; Sekizawa, K.; Suzuki, A.; Takata, N.; Kobashi, M.; Yamada, T. Compressive Properties of Al-Si Alloy Lattice Structures with Three Different Unit Cells Fabricated via Laser Powder Bed Fusion. Materials 2020, 13, 2902. [Google Scholar] [CrossRef]
- Alghamdi, A.; Downing, D.; Tino, R.; Almalki, A.; Maconachie, T.; Lozanovski, B.; Brandt, M.; Qian, M.; Leary, M. Buckling phenomena in AM lattice strut elements: A design tool applied to Ti-6Al-4V LB-PBF. Mater. Des. 2021, 208, 109892. [Google Scholar] [CrossRef]
- Alwattar, T.A.; Mian, A. Development of an Elastic Material Model for BCC Lattice Cell Structures Using Finite Element Analysis and Neural Networks Approaches. J. Compos. Sci. 2019, 3, 33. [Google Scholar] [CrossRef]
- Li, K.; Chen, W.; Yin, B.; Ji, C.; Bai, S.; Liao, R.; Yang, T.; Wen, P.; Jiang, B.; Pan, F. A comparative study on WE43 magnesium alloy fabricated by laser powder bed fusion coupled with deep cryogenic treatment: Evolution in microstructure and mechanical properties. Addit. Manuf. 2023, 77, 103814. [Google Scholar] [CrossRef]
- Liu, X.; Wada, T.; Suzuki, A.; Takata, N.; Kobashi, M.; Kato, M. Understanding and suppressing shear band formation in strut-based lattice structures manufactured by laser powder bed fusion. Mater. Des. 2021, 199, 109416. [Google Scholar] [CrossRef]
- Merkt, S.; Hinke, C.; Bültmann, J.; Brandt, M.; Xie, Y.M. Mechanical response of TiAl6V4 lattice structures manufactured by selective laser melting in quasistatic and dynamic compression tests. J. Laser Appl. 2014, 27 (Suppl. S1), S17006. [Google Scholar] [CrossRef]
- Zhao, M.; Zhang, D.Z.; Liu, F.; Li, Z.; Ma, Z.; Ren, Z. Mechanical and energy absorption characteristics of additively manufactured functionally graded sheet lattice structures with minimal surfaces. Int. J. Mech. Sci. 2020, 167, 105262. [Google Scholar] [CrossRef]
- Li, K.; Liao, R.; Zheng, Q.; Zuo, C.; Yin, B.; Ji, C.; Liang, H.; Wen, P.; Jiang, B.; Pan, F.; et al. Design exploration of staggered hybrid minimal surface magnesium alloy bone scaffolds. Int. J. Mech. Sci. 2024, 281, 109566. [Google Scholar] [CrossRef]



















| Sample Name | Unit Cell Size (mm) | Strut Diameter (mm) | Relative Density (Theoretical) | As Built (Non-HT) | HT (Annealed) |
|---|---|---|---|---|---|
| A-solid | - | - | 100% | ![]() | ![]() |
| A2 | 1 | 0.3 | 45% | ![]() | ![]() |
| A3 | 1 | 0.4 | 77% | ![]() | ![]() |
| B2 | 2 | 0.3 | 12% | ![]() | ![]() |
| B3 | 2 | 0.4 | 20% | ![]() | ![]() |
| B4 | 2 | 0.6 | 45% | ![]() | ![]() |
| B5 | 2 | 0.8 | 77% | ![]() | ![]() |
| C3 | 3 | 0.4 | 10% | ![]() | ![]() |
| C6 | 3 | 1.2 | 77% | ![]() | ![]() |
| Laser Power, P (W) | Hatch Space, h (μm) | Scanning Velocity/Speed, v (mm/s) | Layer Thickness, t (μm) | Beam Spot Size, w0 (μm) | Focal Offset Distance (FOD) (mm) | Volumetric Energy Density (J/mm3) | |||||||
|---|---|---|---|---|---|---|---|---|---|---|---|---|---|
| 270 | 85 | 1800 | 30 | 70 | 2 | 58.82 | |||||||
| V | Al | Fe | O | C | N | H | Ti | ||||||
| 3.97 | 5.99 | 0.18 | 0.198 | 0.015 | 0.041 | 0.005 | Bal. | ||||||
| Sample Name | Unit Cell Size (mm) | Strut Diameter (mm) | Relative Density | Yield Stress (MPa) | Max. Comp Stress (MPa) | Young’s Modulus (GPa) | Ductility (in %) | |
|---|---|---|---|---|---|---|---|---|
| (Designed) | (Measured) | |||||||
| A2 | 1 | 0.3 | 45% | 51.73% | 88 | 111 | 3.7 | 8.6 |
| A3 | 1 | 0.4 | 77% | 81.82% | 135 | 152 | 9.1 | 7.7 |
| A3—HT | 1 | 0.4 | 77% | 81.82% | 146 | 169 | 6.6 | 8.2 |
| B2 | 2 | 0.3 | 12% | 14.24% | 30 | 30 | 0.85 | 0.9 |
| B3 | 2 | 0.4 | 20% | 24.45% | 67 | 67 | 1.84 | 1 |
| B3—HT | 2 | 0.4 | 20% | 24.45% | 50 | 56 | 1.5 | 2.6 |
| B4 | 2 | 0.6 | 45% | 46.72% | 107 | 118 | 3.2 | 1.4 |
| B5 | 2 | 0.8 | 77% | 78.46% | 213 | 213 | 4.2 | 0.6 |
| B5—HT | 2 | 0.8 | 77% | 78.46% | 157 | 186 | 4.2 | 7.2 |
| C3 | 3 | 0.4 | 10% | 11.31% | 33 | 33 | 1.2 | 1.1 |
| C6 | 3 | 1.2 | 77% | 79.05% | 155 | 155 | 3.3 | 0 |
| A-solid | N/A * | N/A * | 100% | 99.83% | 867 | 1183 | 126 | 6.5 |
| A-solid HT | N/A * | N/A * | 100% | 99.83% | 740 | 895 | 94 | 8.5 |
| Mode Name | Sample | Failure Characteristics |
|---|---|---|
| Type 01: densified | A2, A3, A3 annealed | Notable densification as signified by the stress cycling, shown in Figure 16 (characteristics of lattices with bending-dominated behaviour). Postdensification, failure happens due to the formation of shear bands, as seen in Figure 16a,b. |
| Type 02: failed with no plastic deformation | C3, B2, B3, B4, B5, C6 | Most of the as-built samples failed, without any significant plastic deformation, as seen in Figure 17. This is attributed to the brittleness induced by the α’ martensite and the high stiffness due to localized stress build-ups. Failure still happens due to the formation of shear band, as shown in Figure 17. |
| Type 03: failed with some plastic deformation | B3—annealed; B5—annealed | Characterized by a change in microstructure from α’ → α + β, resulting in better ductility and hence experiences some plastic deformation, Figure 18. However, still fails due to the formation of shear band, Figure 18. |
Disclaimer/Publisher’s Note: The statements, opinions and data contained in all publications are solely those of the individual author(s) and contributor(s) and not of MDPI and/or the editor(s). MDPI and/or the editor(s) disclaim responsibility for any injury to people or property resulting from any ideas, methods, instructions or products referred to in the content. |
© 2025 by the authors. Licensee MDPI, Basel, Switzerland. This article is an open access article distributed under the terms and conditions of the Creative Commons Attribution (CC BY) license (https://creativecommons.org/licenses/by/4.0/).
Share and Cite
Arputharaj, J.D.; Nafisi, S.; Ghomashchi, R. Compression Behaviour of L-PBF-Manufactured Ti6Al4V BCC Lattices. Metals 2025, 15, 220. https://doi.org/10.3390/met15020220
Arputharaj JD, Nafisi S, Ghomashchi R. Compression Behaviour of L-PBF-Manufactured Ti6Al4V BCC Lattices. Metals. 2025; 15(2):220. https://doi.org/10.3390/met15020220
Chicago/Turabian StyleArputharaj, John Daniel, Shahrooz Nafisi, and Reza Ghomashchi. 2025. "Compression Behaviour of L-PBF-Manufactured Ti6Al4V BCC Lattices" Metals 15, no. 2: 220. https://doi.org/10.3390/met15020220
APA StyleArputharaj, J. D., Nafisi, S., & Ghomashchi, R. (2025). Compression Behaviour of L-PBF-Manufactured Ti6Al4V BCC Lattices. Metals, 15(2), 220. https://doi.org/10.3390/met15020220



