Advancements in Metal Processing Additive Technologies: Selective Laser Melting (SLM)
Abstract
1. Introduction
| Alloys | AM Process | Area of Applications | Limitations | Advantages | Comments | Ref. |
|---|---|---|---|---|---|---|
| Aluminum | 3D SLM process, building direction can be modified as per the consideration of the most appropriate strategy | Thermal insulation, Aircraft wings, Weapon manufacturing, Electrical appliance, Shock damping/Absorption, Storage tanks, Acoustic absorption, Gas turbine engine components, Catalyst support, Automotive applications, and Biomedical implants, Structural, Robotics, Engine blocks | -Limitations of Material selection under the SLM process. -Cost is higher. -Balling effect during the process. -Vertical building is stronger than the horizontal part. -Powder is costly. -Process parameters need more trial experiments. | -Easy to deform with better density. Number of part reduction. Cost reduction for the easy-to-make complex geometry. Lattice structure with reducing 50–60% of the total weight of components. | Need additional time to manufacture supporting structure. | [5,6,54,91,92,93] |
| Steel | 3D SLM process, building parts can be modified as per the consideration of the scanning scheme | Pump casings, Heat exchanger, Valves impellers, Biomedical implantation, Gears, Engine parts, Aviation industries, | [37,52,94,95,96] | |||
| Titanium | 3D SLM process, Manufacturing parts, and Process parameters can vary as per the systematically articulated suitable parameters | Biomedical implant, Space crafts, Automotive, High-speed cars, Structural, Electronics, Robotics, | [43,46,53,97,98,99,100,101] |
Historical Background of Metal AM Technologies
2. Selective Laser Melting Process and Powder
- -
- Requirements of powder material properties, such as size, shape, composition, and melting range;
- -
- Machine parameters, including inert gas atmosphere, chamber temperature, axis configuration, and initial laser heat time;
- -
- Laser and scanning parameters such as scan speed, hatching time, spacing, spot size, and layer thickness significantly influence the machine’s operation;
- -
- Pre- and post-processing methods include preheating and residual stress-relieving techniques;
- -
- The knowledge and experience of the operator;
- -
- The interconnection between powder and temperature. Inappropriate matching of a low-melting powder with a high operating temperature can lead to improper execution of desired commands.
2.1. Procedure Description
2.2. Process Parameters of SLM
3. SLM for Non-Ferrous and Ferrous Alloys
3.1. SLM Parts in Aluminum Alloys
| Powder | Laser Beam Diameters [µm] | Laser Power [W] | Layer Thickness [µm] | Hatch Distance [µm] | Laser Type | Scan Speed mm/s | Remarks | Ref. |
|---|---|---|---|---|---|---|---|---|
| AlSi10Mg | 50–250 | 100–400 | 40 | 112 | Ytterbium fiber laser (ʎ = 1070 nm) | 600–1400 | Under nitrogen atmosphere % 0.4 O2 | [188] |
| AlSi10Mg | - | 240–320 | 30 | 80–160 | Ytterbium fiber laser 400 W | 500–1800 | Laser linear densities 90.64–104.16 J/mm3 | [189] |
| AlSi10Mg | 100 | 370 | 40 | 150 | Ytterbium fiber laser 400 W | 1000–1900 | 99.9% Argon atmosphere, and E = 32.5–61.7 J/mm3 | [190] |
| AlSi10Mg +TiB2, TiC | - | 270 | 30 | 110 | Ytterbium-fiber laser 400 W | 1600 | Without preheating treatment on the powder, the hatch angle is considered 67° | [191] |
| AlSi10Mg | - | 370 | 30 | 190 | - | 1300 | Preheating at 80 °C, the process under Argon atmosphere, and 0.1% O2. | [192] |
| AlSi10Mg | - | 291–459 | 30 | 43–77 | Fiber laser 200 W | 1395–2405 | T6 heat treatment cycle and 520 °C for 1 h and 180 °C for 12 h | [193] |
| AlSi10Mg | 75 | 220–280 | 30 | 90 | Fiber laser P = 300 W–λ = 1070 nm | 800–2000 | Argon atmosphere flow with oxygen content < 200 ppm to avoid oxidation | [194] |
| AlSi10Mg | - | 370 | 30 | 160–180 | Ytterbium-fiber laser 400 W | 1161–573 | Volume energy density 49–59 J/mm3, argon atmosphere flow with oxygen content < 100 ppm to avoid oxidation. | [195] |
| AlSi10Mg | - | 300 | 50 | 150 | Ytterbium-fiber laser 400 W | 200 | Preheating at 160 °C, with checkerboard scanning strategy, basic block supporting structure | [196] |
| AlSi10Mg | - | 300–400 | 30 | 130 | laser power of 400 W | 1800 | Volumetric energy density 32.05–128.21 J/mm3, preheating at 150 °C, argon atmosphere flow with oxygen content < 500 ppm to avoid oxidation | [197] |
| AlSi10Mg | 80 | 200–240 | 30 | 100 | Yb-fiber laser; 400 W | 3300–1900 | Forming platform temperature 125 °C, energy density 2.0–4.2 J/mm3 | [198] |
| AlSi10Mg | - | 300 | 30 | 150 | Yb-fiber laser; 400 W | 1700 | They were constructed at 0°,45°, and 90° angles, annealing post-heating treatment of 270 °C for 2 h | [199] |
| AlSi10Mg | - | 400 | 30 | 170 | Yb-fiber laser; 400 W | 1300 | - | [200] |
| AlSi10Mg | 55 | 175 | 20–30 | 70 | Yb-fiber laser; 400 W | 800–1025 | Pretreatment at 60 °C for 3 h, nitrogen chamber with O2 content (0.1 vol.%) and energy density 71–137 J/mm3, scan strategy followed by three angles 0°, 45°, and 90° SS1, SS2, SS3, respectively | [201] |
| AlSi10Mg | - | 300 | 40 | 190 | Yb-fiber laser; 400 W | 1200 | Argon atmosphere flow with oxygen content < 200 ppm to avoid oxidation, preheating at 150 °C | [202] |
3.1.1. Microstructural Morphology of SLM Parts in Al Alloys
3.1.2. Mechanical Properties of the SLM Parts in Al Alloys
| Powder Used | UTS (σb) [MPa] | YS (σ0.2) [MPa] | Elongation (δ) [%] | Remarks | Ref. |
|---|---|---|---|---|---|
| AlSi10Mg | 494 | 309 | 6 | The author reported that the YS of the horizontal direction is higher than the vertical due to the rapid cooling effect changing the powder’s microstructural and mechanical properties. | [219] |
| AlSi10Mg | (a) 448.0 (b) 241.7 (c) 451.7 | (a) 263.0 (b) 180.3 (c) 310.2 | (a) 9.8 (b) 9.6 (c) 6.2 | They have found three different categories: (a) as built (ab), (b) T6 treatment, and (c) direct aging (DA) | [220] |
| AlSi10Mg | 385 ± 5 | - | 4.5 | The author reported under the argon and nitrogen environment of a closed chamber. | [68] |
| AlSi10Mg | 452 ± 1 (H) 482 ± 1 (V) | 264 ± 4 (H) 247 ± 1 (V) | 3.6 ± 1 (H) 6.5 ± 0.3 (V) | NA | [221] |
| AlSi10Mg | 420 (H) 400 (V) | 245 (H) 220 (V) | 5.9 (H) 3.2 (V) | They used an argon environment to process SLM and there was no preheat as described. | [222] |
| AlSi10Mg | 434.24 ± 10.7 282.36 ± 6.1 | 322.17 ± 8.1 196.58 ± 3.6 | 5.3 ± 0.22 13.4 ± 0.51 | The built sample has higher strength than the solutionized treated samples at 550 °C for 2 h due to Si particles significantly influencing the tensile properties of the used powder Argon with 100 °C preheat environment | [223] |
| AlSi10Mg | 473 (AB) 479 (HT) | 263 (AB) 298 (HT) | 7.8 (AB) 5.6 (HT) | Relatively little difference is as built AB and Heat-Treated HT | [224] |
| AlSi10Mg | 391 (XY-direction) 343 (XZ-direction) | 311(XY-direction) 266 (XZ-direction) | 7.2(XY-direction) 5.46(XZ-direction) | The difference between the strength of the cast material and the forging material is because of the acceptable microstructure performance. | [225] |
| Al–Li alloys | 64.66 (parallel direction) to 99.35 | - | 6.3, 4.6 | Investigated results show that, with the decrease in scanning speed, the micro-hardness of parallel to building direction was increased from 105.4 HV to 121.4 HV, and the tensile strength increased, indicating that the decrease of the scanning speed can reduce metallurgical defects of Al–Li alloy | [226] |
| AlSi10Mg | 456 (XY-direction) 359.5 (Z-direction) 290 (MPa) | 368 (XY-direction) 306.5 (Z-direction) 262 | 3.0 (XY-direction) 1.7 (Z-direction) 2.5 | Samples (a) and (b) are built, and (c) heat is treated with solutionized treatment quenching + artificial aging T6 due to hardening microstructure refinement as a reference of the hall patch equation. | [227] |
| AlSi10Mg | 373 ± 3 369 ± 8 363 ± 7 348 ± 2 | 230 ± 3 229 ± 6 219 ± 6 210 ± 2 | 8.3 ± 0.9 | Direct aging could increase yield strength 300 MPa and 500 MPa, as cold-built materials resist softening by stress relief treatment. | [228] |
| AlSi10Mg | 260 496 | 220 296 | 1.0 5.0 | The Si eutectic network globalized into Si particles, continuing to decrease UTS 400 MPa to 290 MPa and increasing ductility; up to 15 of these are cast and T6 treated used alloys. | [229] |
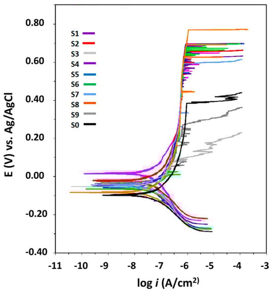
3.1.3. Corrosion Behavior of SLM Parts in Al Alloys
3.2. SLM Parts in Titanium Alloys
| Laser Beam Diameters [µm] | Laser Power [W] | Layer Thickness [µm] | Hatch Distance [µm] | Laser Type | Scan Speed [mm/s] | Remarks | Ref. |
|---|---|---|---|---|---|---|---|
| - | 51.84–388.8 | 30 | 120 | IPG Photonics Ytterbium YLR-400-SM fiber laser | 600–1200 | Experimentation was done under the Ar atmosphere with O2 content below 100 ppm, volume energy density 24–90 J/mm3 | [240] |
| - | 140–180 | 30 | 60–100 | Dimetal-100 SLM | 700–1500 | Annealing heat treatment for 2 h at 600–1050 °C set for the β phase | [241] |
| 60 | 50–140 | 30 | 60–100 | Yb-fiber laser 500 W | 300–1200 | The Ar atmosphere with high purity of 99.999%, O2 content below 0.02%, and annealing heat treatment cycles was used to manage under the three different cycles at different temperatures 850 °C/2 h/FC (furnace cooling), 1050 °C/2 h/FC, and 950 °C/1 h/AC (air cooling) 550 °C/6 h/AC | [242] |
| - | 120–200 | 25 | 100 | Laser M2, 400 W | 900–1400 | Volume energy density 34.29–97.78 J/mm3, maximum scan speed 7000 mm/s, under protective argon atmosphere | [243] |
| 70 | 80–180 | 20–80 | 30–100 | Yb-fiber laser 200 W | 800–2500 | Under argon gas to maintain an oxygen level below 0.5 volume % (vol.%). | [244] |
| 80–100 | 346–382 | 50–100 | 300 | - | 900 | 10 m, (11%) of the laser beam size could lead to over 40% change in the overall volume of the spatter generated. | [245] |
| 300 | 200 | 30 | 140 | - | 900 | Zigzag scanning strategy, the overlap rate is 50% | [246] |
| - | 280–360 | 30 | 141 | Yb-fiber laser; 400 W | 1000–1400 | Laser power, the scanning speed, has a more substantial influence on the performance of the part | [247] |
| - | 95–180 | 30 | 50–70 | 300 W-fiber laser | 1600–2505 | 30 °C and <500 ppm O2 to limit oxidation on each layer maintained Energy Density 23.7–63.0 J/mm3. They also performed heat treatment at 850 °C, holds for 25 h and 50 h, followed by a 40 °C/min cooling rate to 20 °C | [248] |
| - | 60 | 25 | 60 | 120 W-Yb-fiber laser with a wavelength of 1.07 μm. | 1000 | Shielding gas argon, and heating 750 °C for 3 h | [249] |
| 75 | 200 | 30 | 65 | a fiber-modulated pulsed laser having a maximum power of 500 W and a wavelength of 1070 nm | 1500 | Preheated to 80 °C, argon gas to prevent oxidation | [250] |
| 200 | 240 | 30 | 50 | Yb-fiber laser (1064 nm) maximum laser powder of 400 W | 240 | Argon gas to oxygen concentration below 0.13 Vol%, heated to 900 °C for 2 h under argon atmosphere and furnace cooling | [251] |
| - | 40–500 | 20–200 | 22.5–693 | Yb-fiber laser 400 W | 25–3200 | 11.11–373.33 Energy density J/mm3, | [252] |
| - | 240 | 50 | 120 | 500 W Yb: YAG-fiber laser and an F-theta lens | 300 | Argon until the oxygen volume fraction was below 0.1%, zigzag scanning manner, preheating temperature 200 °C., annealing 950 °C, 1000 °C and 1050 °C for 40 min | [253] |
| 80 | 500 | 60 | 200 | 500 W, Yb | 1000 | Operating under a protective argon atmosphere | [254] |
| - | 200 | 50 | 100 | 1.064 µm, Yb: YAG | 500, 625, 750, 1000, 1250 | 0.1% of the Ar higher-purity environment used for the processing of the Ti alloys by SLM, energy density was varying from 32–80 J/mm3 | [255] |
| 40 | 200 | 50 | 100 | 1.064, Yb: YAG | 500 | Used alternating scanning vector 90° angle for processing to avoid residual stress and to enhance the bonding of particles. | [256] |
3.2.1. Microstructural Morphology of SLM Parts in Ti Alloys
3.2.2. Mechanical Properties of the SLM Parts in Ti Alloys
| Powder Material | UTS (σb) [MPa] | YS (σ0.2) [MPa] | Elongation (δ) [%] | Remarks | Ref. |
|---|---|---|---|---|---|
| Ti6Al2Zr-1Mo1V | 780–1422 | - | 3–18 | α + β phases show a needle-like structure that looks like a martensitic phase, and coarse lamellae structure also formed | [60] |
| Ti37Nb6Sn | 891 | 850 | E-Mod. 66 GPa, Ductility 27.5%, max | This method can aid the design of customized titanium devices with low the elastic modulus for orthopedic implant applications | [97] |
| Ti6Al4V | 1012 | 932 | - | Strain-1.4% after heat treatment | [262] |
| Ti6Al4V | 1195 | 1118 ± 39 | 5 | Ti6Al4V Samples have higher tensile strength than EBM-produced samples | [263] |
| Ti6Al4V | 1095 | 955 ± 6MPa | 8.1 | Its mechanical properties strongly depend on its microstructure | [264] |
| VT6 and VT20L | (Before Heating) BH-UTS-863 ± 9, (After Heating) AH- UTS- 580 ± 12 | (Before heating) BH-YS-840 ± 6, (After Heating) AH-YS-453 ± 2 | BH-EL 2.2 ± 1.7%, AH-EL 8.2 ± 1.6% | Bending α 25 ± 4° properties, the impact energy 49 ± 18 kJ/cm2, heating at 300 °C | [99] |
| Ti6Al4V | 1267 ± 5 | 1110 ± 9 | E-Mod. 109.2 ± 3.1 GPa, EL 7.28 ± 1.12 | The SLM-processed specimen was characterized under different heating conditions | [100] |
| Ti6Al4V | 989 ± 10 | 940 ± 10 | - | 61% Porosity achieved in this specimen that is almost near to natural bone, Compression YS 1040 ± 13 MP; UCS 1842 ± 17 MPa | [101] |
| Ti6Al4V | 1140 | 760 ± 1 | 3.2 | Variations in thermophysical properties may arise from differences in the initial metallurgical state, potentially attributed to alterations in the transformation behavior | [265] |
| Ti6Al4V | 975–1120 | 1350 | EL 7.7%, E-Mod. 1150 GPa | Mathematical simulation and experimentation both approximate mechanical analyses carried out using boron content; compressive strength- 19.46–416.47 MPa | [266] |
| Ti6Al4V | - | YS-255.8 MPa to 204.9 MP | 14.7 | Heat-treated at 750 °C, impact test 233.6 ± 1.5 MJ/m3, ε = 50% | [267] |
| Ti6Al4V | AB-UTS-1156 MPa, AHQ- 1124 | 1228 MPa, AHQ-1032 MPa | E-mod. 130 GPa, EL 8.6%, AHQ-E-Mod. 108 GPa, EL 8.3% | Samples heat-treated at 800 °C and 850 °C for 4 h, s-fabricated samples consist of lamellar α’ and acicular α’; many twins in the lamellar α’ and small α2 precipitation in the acicular α’ were found | [268] |
| Ti, Ti–6Ta different % alloys | 550–1186 | 470–1029 | E-Mod. 75–550 GPa | By Ta addition ranges from 0 to 25 wt %, there is an improvement on the tensile strength from 641 to 1186 MPa, micro-hardness 240–353 HV, micro-hardness from 257 to 353 HV also increased | [269] |
| Ti–Nb | 740 to 685 | 640 to 574 | Ductility 19.5% to 17.3% | Increase of energy density from 70 J/mm3 to 100 J/mm3, and then, it increases to the highest at 110 J/mm3 This variation is determined. by both the coarsening of α′ phase and the formation of β (Ti, Nb) solid solution, micro-hardness 261 HV to 245 HV | [270] |
| Ti10V2Fe3Al | 935–939 | 922–934 | >10 | α-bearing samples all show poor ductility EL < 1.2% | [271] |
3.2.3. Corrosion Behavior of SLM Parts in Ti Alloys
3.3. SLM Parts in Steel Alloys
| Powder | Laser Beam Diameters [µm] | Laser Power [W] | Layer Thickness [µm] | Hatch Distance [µm] | Laser Type | Scan Speed [mm/s] | Remarks | References |
|---|---|---|---|---|---|---|---|---|
| 316 L | 70 | 350–425 | 30 | 30–90 | YLR 500 WC, IPG) 500 W 1070 nm wavelength | 400–1000 | Preheat at 80 °C to reduce thermal stress, linear energy density (LED) range of 0.535–1.0625 J/mm3 | [285] |
| 304 L | 70 | 200 | 50 | 85 | 200 W Nd-YAG-pulsed laser | 800 | 58.8–76.9 J/mm3, Highest strain rate sensitivity (m = ~0.0261) compared to SLM SS 304 L. For SLM material, the horizontal and inclined orientations possess higher m values compared to the vertical orientation. | [286] |
| 17–4PH | - | 195 | 30 | 80 | EP-M150 SLM | 850 | After heat treatment at 1040 °C for 2 h (Air Cool, AC) and ageing cycle at 480 °C for 4 h (AC) for the recrystallization of SLM-produced components; checkerboard scanning strategy | [287] |
| 17–4PH | 90 | 195 | 20 | 100 | Yb-fiber laser 200 W | 2–20 | Nitrogen atmosphere: percentage of oxygen 0.8%, 20 mm Scan length, | [288] |
| 17–4PH | 200 | 175 | 40 | 80 | 200 W solid-state Yb-fiber laser | 1050 | Overnight heating at 80 °C for residual stress releasing, working chamber under nitrogen gas, and ά-martensite and retained austenite (γ) phase formed | [289] |
| 316 L | 80 | 300–380 | 30-70 | 80–120 | Yb-fiber laser 400 W | 800–1200 | L9 Orthogonal array-based model applied and relative density 99% almost 7 samples out of 9. | [290] |
| 316 L | -- | 50–300 | 20 | 10–200 | YAG-fiber laser | 500–2000 | Temperature changes and heat during the process on Impress the solidification morphology in tracks, CAVILUX HF with power up to 500 W and a wavelength of 810 nm | [291] |
| 24CrNiMo Low-alloy steel | 80 | 320–340 | 40 | 110 | Yb-fiber laser with a wavelength of 1070 nm | 750–950 | 76–103.03 J/mm3 Energy Density (ED) was received, 5–40 μm mico defects found due to increase in energy density when 90.91 j/mme defects occurred, like lack of fusion and ED higher 103.03 J/mm3 then key holes formed | [292] |
| Fe–Si–B Alloy (1CP) | 80 | 60–120 | 50 | 100–200 | YLR-laser | 800–1200 | 50–100 Linear energy density J/m, increasing the value of the offset, a decrease in the density of samples due to a violation of its structural unity caused by the separation of the columnar elements from each other; under a nitrogen-atmosphere-operated machine | [293] |
| 18Ni300 Maraging steel | - | 215.91–384.09 | 50 | 50–150 | Single-mode fiber laser (maximum power output of 500 W) | 663.64–1336.36 | 96.90–99.45% Relative density received; treatment was performed at 850 °C for 1h and subsequent aging treatment was carried out at 500 °C for 6 h, both cool in the air | [294] |
| Maraging steel | 80 | 258 | 40 | 110 | Yb-fiber laser 400 W | 960 | Protective nitrogen gas in the atmosphere, both conditions performed heating and without heating; 900 °C/25 min, water quenched to RT, 490 °C/6 h, with time and temperature variation | [295] |
| Maraging steel | - | 400 | 40 | - | Nd: YAG-fiber laser | 800 | The point method (PM), line method (LM), area method (AM), and volume method (VM), with the first two being most often used | [296] |
| Maraging steel | 200–500 | 100 | - | - | Continuous CO2 laser (wavelength–1064 nm | 500–1200 mm/min | They performed with and without boron particles; heat input ≤ 8 J∙mm−1 | [297] |
| H13 Tool Steel | 170–260 | 30 | 100 | 600–1400 | 83.3–111.1 J/mm3 Volume energy density received, maximum relative density reached 99.6%, and process parameters were optimized | [298] | ||
| H13 Steels, Maraging Steel 18Ni300 | 80 | 175–250 | Marag. St. 50 μm, H13 60 μm, | Marag. St. 75 μm, H13 80 μm, | Four ytterbium-fibre lasers and a reduced build volume | Marag. St. 1000 mm/s H13 600 mm/s, | An overlap between stripes of 0.6 mm, RBV chamber was kept below 31 ppm, and argon steam (189.3 m3/h) was continuously applied during operation; they carried out a comparison study | [299] |
3.3.1. Microstructural Morphology of SLM Parts in Steel Alloys
3.3.2. Mechanical Properties of the SLM Parts in Steel Alloys
| Powder Used | UTS (σb) [MPa] | YS (σ0.2) [MPa] | Elongation (δ) [%] | Micro-Hardness [HV] | Remarks | Ref. |
|---|---|---|---|---|---|---|
| PH13–8Mo SS | 1282 without Y-direction, 1443 With Y-direction | YS-1264 without Y-direction, YS 1399 with Y-direction | TE 10.2% without Y-direction, TE 12.2% with Y-direction | - | In addition to the yttrium, impact energy, and tensile strength improved significantly due to preventing dislocation movement in plastic deformation | [309] |
| 17–4PH | UTS-AP-751 MPa, UTS-HIP-962 MPa | YS-AP 651 MPa, YS-HIP 858 MPa | - | - | Pore size and morphology can also affect the deformation stability. during plastic deformation; compressive true stress—AP 243.61 MPa, HIP-206.30 MPa | [310] |
| 304 L SS | 514.58–694.45 | 450–650 | - | - | Porosity plays a critical factor in fatigue life when porosity is higher than 7–9%, also the roughness is Ra 8.6, 16.27, 21.9, 20.3, and 17.9 µm for different specimens; fatigue strength 500 MPa, (~27.34 mJ/m2 | [311] |
| 304 L SS, 316 L SS | 706.7 + −6.2 | 304 L YS(σy) 454.7 ±11.5 MPa; 316 L, YS 581.1 ± 7.3 MPa | TE 50.3 ± 1.4%; UTS 704.1 ± 2.5 MPa | 17.5 ± 3.7 HV 304 L and 239.6 ± 6.6 HV 316 L; TE 54.8 ± 2.3% 304 L | 4.9 μm 304 L and 16.7 μm 316 L grain size, impact energy 304 L 2.86 ± 0.17 GPa, 316 L 3.12 ± 0.14 GPa | [312] |
| 17–4 PH | ~950–1200 | YS-~850–1150 MPa | TE-~15–25% | 26–47HRC, | To utilize nano-sized TiN particles both as inoculants to obtain an equiaxed microstructure in an as-built condition and as dislocation barriers to improving mechanical properties | [313] |
| 316 SS | ~360–475 | YS-~180–200 | TE- ~12–35% | - | Vacuum atmosphere during the sintering an increasing of density up to 6%, of real strain up to 150%, and UTS up to 23% is observed | [314] |
| 15–5PH | - | TOP-YS 734 ± 32.5, MIDDLE-YS 836.8 ± 29.4, BOTTOM-YS 944.0 ±12.0 | Uniform EL % 8.9 ± 0.1, 9.0 ± 0.1, 9.2 ± 0.1; EL % 19.5 ± 0.4,19.8 ± 1.0, 20.0 ± 0.6 | - | The variations in oxide volume fraction led to a decreased yield strength along the height and a high amount of austenite at the specimen bottom contribute to external plasticity and elongation | [315] |
| 316 L SS | 610–620 | YS-375-510MPa | ~40–50 | - | HIP heat treatment contributes to a reduction of about 22% percent in the yield strength from 500.1 MPa to 392.2 MPa, and an increase in the ductility and elastic modulus of the modulus material by around 10% percent; Poisson’s ratio 0.25–0.30, Yang’s elastic modulus, GPa 130–160, fatigue strength-σmax > 250 MP | [316] |
| 316 L SS | TS- 300 | ~573 | 48 | - | A strength of ~720 MPa and EL of 48% is obtained in the transversal direction; the corresponding properties of the longitudinal counterpart are ~615 MPa and 18% EL. | [317] |
| 17–4 PH | 720 MPa; longitudinal 610 MPa | 570 MPa; YS of 510 MPa, | EL of approximately 48%; and EL of approximately 18% | ~250–290 HV | 17–4PH alloys are limited due to defects and anisotropy | [318] |
| H13 tool steel | Long. Dir.-UTS ~1600 MPa; Trans. Dir.-UTS of 1200 MPa | - | - | elongation to fracture of ~2% along the longitudinal direction; EL of ~1.4% along the transverse direction | The carbon-enriched retained γ (austenite) films amongst martensite blocks transferred to high-carbon twin martensite through stress-induced martensitic transformation upon plastic deformation, leading to high susceptibility to cracking | [319] |
| CrMn–MS1 | ~2005 ± 68 MPa | YS-~1190 ± 50 | 6.9 ± 0.5 | 362 ± 9 HV0.05 | A good interface transition, CrMn–MS1 steel displays strong metallurgical bonding at the interface, | [320] |
| SLM–MS1 | 986 ± 30 | 1071 ± 25 | 7.9 ± 0.5 | 360 ± 9 HV0.05 | High relative density of >99.5%, porosity of less than 0.5 vol.-% | [321] |
| M3:2 high-speed steel | - | - | - | 650–950 HV | Preheating temperatures of 200 °C or 300 °C are necessary for low crack density; the hardness tempering behavior of the SLM-densified material is promising | [322] |
| H13 tool steel | YS-1400, 1432 MPa, | UTS 1700 MPa; 1715 MPa, | elongation 1.5% | 552 HV | The effects of porosities and unmelted powders on mechanical properties are also elucidated by the metallic fractography analysis to understand tensile and fracture behavior | [323] |
3.3.3. Corrosion Behavior of SLM Parts in Ferrous Alloys
4. Mathematical Modelling and Simulation for SLM
- Heat conduction model: To simulate heat transfer during the SLM process.
- Laser beam model: To replicate the behavior of the laser beam as it interacts with the powder.
- Fixed domain method: To define and analyze the specific region of interest in the model.
- Temperature-transforming model: To predict the temperature changes and transformations during the process.
- Residual stress model: To account for the stress and deformation present in the fabricated components after the process.
- Finite Element Formulation: To discretize the model and solve complex equations efficiently.
4.1. Heat Conduction Model
4.2. Laser Beam Model
4.3. Simulation for Al Alloys Produced via SLM
4.4. Modeling and Simulation of Ti Alloys Manufactured Using SLM
- Exclusion of heat transfer via convection and radiation;
- Consideration of heat generation and rapid solidification within a gaseous environment;
- Nucleation and growth of grains occurring at the same cooling temperature;
4.5. Modelling and Simulation of Ferrous Alloys Manufactured Using SLM
5. Applications and Limitations for Various Alloys from the SLM Process
6. Future Prospects
- Three-dimensional printing of hybrid metallic materials for multiple applications such as aviation parts, spacecraft, microelectronics, chips, sensors, biological applications, and many more.
- Environmental and sustainability experimental and simulation-based investigations are widely used for saving costs and improving the durability of products.
- The improved exposure performance presently opens the door to a more profound and intuitive investigation of additional hybrid materials.
7. Conclusions
- In the SLM process, high-power lasers and meticulous management of critical parameters, including the laser’s focal point, scanning speed, and powder bed temperature, allow to improve the quality of the parts. Enhancements involve, for example, laser systems and powder bed temperature control. Defects such as voids and roughness continue to occur in the SLM parts, indicating the necessity for continued research.
- Mathematical modeling can make a strong contribution to improving the quality of the parts by predicting how the process parameters affect the final product’s microstructure, properties, and defects.
- Metallurgical and mechanical properties of aluminum, steel, and titanium SLM-processed have been found to have slightly lower strength and toughness due to the presence of defects. The corrosion behavior of SLM-processed materials is generally more similar to that of conventionally produced materials of the same alloy. In any case, the specific behavior depends on the alloy processing and the post-processing treatments.
Author Contributions
Funding
Conflicts of Interest
References
- Manfredi, D.; Calignano, F.; Ambrosio, E.P.; Krishnan, M.; Canali, R.; Biamino, S.; Pavese, M.; Atzeni, E.; Fino, P.; Badini, C. Direct Metal Laser Sintering: An additive manufacturing technology ready to produce lightweight structural parts for robotic applications. La Metall. Ital. 2013. Available online: https://www.fracturae.com/index.php/aim/article/view/1210 (accessed on 28 July 2024).
- Fiocchi, J.; Biffi, C.A.; Scaccabarozzi, D.; Saggin, B.; Tuissi, A. Enhancement of the Damping Behavior of Ti6Al4V Alloy through the Use of Trabecular Structure Produced by Selective Laser Melting. Adv. Eng. Mater. 2020, 22, 1900722. [Google Scholar] [CrossRef]
- Tshephe, T.S.; Akinwamide, S.O.; Olevsky, E.; Olubambi, P.A. Additive manufacturing of titanium-based alloys—A review of methods, properties, challenges, and prospects. Heliyon 2022, 8, e09041. [Google Scholar] [CrossRef] [PubMed]
- Lefebvre, L.-P.; Banhart, J.; Dunand, C. Porous Metals and Metallic Foams: Current Status and Recent Developments. Adv. Eng. Mater. 2008, 10, 9. [Google Scholar] [CrossRef]
- Takata, N.; Kodaira, H.; Sekizawa, K.; Suzuki, A.; Kobashi, M. Change in microstructure of selectively laser melted AlSi10Mg alloy with heat treatments. Mater. Sci. Eng. 2017, 704, 218–228. [Google Scholar] [CrossRef]
- Aboulkhair, N.T.; Simonelli, M.; Parry, L.; Ashcroft, I.; Tuck, C.; Hague, R. 3D printing of Aluminium alloys: Additive Manufacturing of Aluminium alloys using selective laser melting. Prog. Mater. Sci. 2019, 106, 100578. [Google Scholar] [CrossRef]
- Singla, A.K.; Banerjee, M.; Sharma, A.; Singh, J.; Bansal, A.; Gupta, M.K.; Khanna, N.; Shahi, A.S.; Goyal, D.K. Selective laser melting of Ti6Al4V alloy: Process parameters, defects and post-treatments. J. Manuf. Process. 2021, 64, 161–187. [Google Scholar] [CrossRef]
- Zhou, C.; Sun, Q.; Qian, D.; Liu, J.; Sun, J.; Sun, Z. Effect of deep cryogenic treatment on mechanical properties and residual stress of AlSi10Mg alloy fabricated by laser powder bed fusion. J. Mater. Process. Technol. 2022, 303, 117543. [Google Scholar] [CrossRef]
- Li, Z.; Xu, R.; Zhang, Z.; Kucukkoc, I. The influence of scan length on fabricating thin-walled components in selective laser melting. Int. J. Mach. Tools Manuf. 2018, 126, 1–12. [Google Scholar] [CrossRef]
- Tucho, W.M.; Lysne, V.H.; Austbø, H.; Sjolyst-Kverneland, A.; Hansen, V. Investigation of effects of process parameters on microstructure and hardness of SLM manufactured SS316L. J. Alloys Compd. 2018, 740, 910–925. [Google Scholar] [CrossRef]
- Xing, X.; Duan, X.; Jiang, T.; Wang, J.; Jiang, F. Ultrasonic Peening Treatment Used to Improve Stress Corrosion Resistance of AlSi10Mg Components Fabricated Using Selective Laser Melting. Metals 2019, 9, 103. [Google Scholar] [CrossRef]
- Ziółkowski, M.; Dyl, T. Possible Applications of Additive Manufacturing Technologies in Shipbuilding: A Review. Machines 2020, 8, 84. [Google Scholar] [CrossRef]
- Yan, K.; Lin, Z.; Chen, M.; Wang, Y.; Wang, J.; Jiang, H. Fabrication of MnCuNiFe–CuAlNiFeMn Gradient Alloy by Laser Engineering Net Shaping System. Materials 2022, 15, 2336. [Google Scholar] [CrossRef]
- Ilčík, J.; Koutný, D.; Paloušek, D. Geometrical Accuracy of the Metal Parts Produced by Selective Laser Melting: Initial Tests. In Modern Methods of Construction Design. Lecture Notes in Mechanical Engineering; Ševĉik, L., Lepšík, P., Petrů, M., Mašín, I., Martonka, R., Eds.; Springer: Cham, Switzerland, 2014. [Google Scholar] [CrossRef]
- Duan, X.; Chen, X.; Zhu, K.; Long, T.; Huang, S.; Jerry, F.Y.H. The Thermo-Mechanical Coupling Effect in Selective Laser Melting of Aluminum Alloy Powder. Materials 2021, 14, 1673. [Google Scholar] [CrossRef]
- Stern, F.; Kleinhorst, J.; Tenkamp, J.; Walther, F. Investigation of the anisotropic cyclic damage behavior of selective laser melted AISI 316 L stainless steel. Fatigue Fract. Eng. Mater. Struct. 2019, 42, 2422–2430. [Google Scholar] [CrossRef]
- Yan, J.-J.; Chen, M.-T.; Quach, W.-M.; Yan, M.; Young, B. Mechanical properties and cross-sectional behavior of additively manufactured high strength steel tubular sections. Thin-Walled Struct. 2019, 144, 106158. [Google Scholar] [CrossRef]
- Ni, J.; Ling, H.; Zhang, S.; Wang, Z.; Peng, Z.; Benyshek, C.; Zan, R.; Miri, A.K.; Li, Z.; Zhang, X.; et al. Three-dimensional printing of metals for biomedical applications. Mater. Today Bio 2019, 3, 100024. [Google Scholar] [CrossRef]
- Jardini, A.L.; Larosa, M.A.; Macedo, M.F.; Bernardes, L.F.; Lambert, C.S.; Zavaglia, C.A.C.; Filho, R.M.; Calderoni, D.R.; Ghizoni, E.; Kharmandayan, P. Improvement in Cranioplasty: Advanced Prosthesis Biomanufacturing. Procedia CIRP 2016, 49, 203–208. [Google Scholar] [CrossRef]
- Ibrahim, M.Z.; Sarhan, A.A.; Yusuf, F.; Hamdi, M. Biomedical materials and techniques to improve the tribological, mechanical and biomedical properties of orthopedic implants—A review article. J. Alloys Compd. 2017, 714, 636–667. [Google Scholar] [CrossRef]
- Tischler, M.; Patch, C.; Bidra, A.S. Rehabilitation of edentulous jaws with zirconia complete-arch fixed implant-supported prostheses: An up to 4-year retrospective clinical study. J. Prosthet. Dent. 2018, 120, 204–209. [Google Scholar] [CrossRef]
- Saikko, V.; Ahlroos, T.; Revitzer, H.; Ryti, O.; Kuosmanen, P. The effect of acetabular cup position on wear of a large-diameter metal-on-metal prosthesis studied with a hip joint simulator. Tribol. Int. 2013, 60, 70–76. [Google Scholar] [CrossRef]
- Hedlundh, U.; Karlsson, L. Combining a hip arthroplasty stem with trochanteric reattachment bolt and a polyaxial locking plate in the treatment of a periprosthetic fracture below a well-integrated implant. Arthroplast. Today 2016, 2, 141–145. [Google Scholar] [CrossRef] [PubMed]
- Haan, J.; Asseln, M.; Zivcec, M.; Eschweiler, J.; Radermacher, R.; Broeckmann, C. Effect of subsequent Hot Isostatic Pressing on mechanical properties of ASTM F75 alloy produced by Selective Laser Melting. Powder Met. 2015, 58, 161–165. [Google Scholar] [CrossRef]
- Song, C.; Yang, Y.; Wang, Y.; Yu, J.-K.; Wang, D. Personalized femoral component design and its direct manufacturing by selective laser melting. Rapid Prototyp. J. 2016, 22, 330–337. [Google Scholar] [CrossRef]
- Wang, J.; Zhu, R.; Liu, Y.; Zhang, L. Understanding melt pool characteristics in laser powder bed fusion: An overview of single- and multi-track melt pools for process optimization. Adv. Powder Mater. 2023, 2, 100137. [Google Scholar] [CrossRef]
- Ma, H.; Wang, J.; Qin, P.; Liu, Y.; Chen, L.; Wang, L.; Zhang, L. Advances in additively manufactured titanium alloys by powder bed fusion and directed energy deposition: Microstructure, defects, and mechanical behavior. J. Mater. Sci. Technol. 2024, 183, 32–62. [Google Scholar] [CrossRef]
- Cui, Y.-W.; Wang, L.; Zhang, L.-C. Towards load-bearing biomedical titanium-based alloys: From essential requirements to future developments. Prog. Mater. Sci. 2024, 144, 101277. [Google Scholar] [CrossRef]
- Ramirez-Cedillo, E.; Sandoval-Robles, J.A.; Ruiz-Huerta, L.; Caballero-Ruiz, A.; Rodriguez, C.A.; Siller, H.R. Process planning guidelines in selective laser melting for the manufacturing of stainless steel parts. Procedia Manuf. 2018, 26, 973–982. [Google Scholar] [CrossRef]
- Bartolo, P.; Kruth, J.-P.; Silva, J.; Levy, G.; Malshe, A.; Rajurkar, K.; Mitsuishi, M.; Ciurana, J.; Leu, M. Biomedical production of implants by additive electro-chemical and physical processes. CIRP Ann. 2012, 61, 635–655. [Google Scholar] [CrossRef]
- Faludi, J.; Baumers, M.; Maskery, I.; Hague, R. Environmental Impacts of Selective Laser Melting: Do Printer, Powder, Or Power Dominate? J. Ind. Ecol. 2016, 21, s44–s56. [Google Scholar] [CrossRef]
- Yap, C.Y.; Chua, C.K.; Dong, Z.L.; Liu, Z.H.; Zhang, D.Q.; Loh, L.E.; Sing, S.L. Review of selective laser melting: Materials and applications. Appl. Phys. Rev. 2015, 2, 041101. [Google Scholar] [CrossRef]
- Nespoli, A.; Bettini, P.; Villa, E.; Sala, G.; Passaretti, F.; Grande, A.M. A Study on Damping Property of NiTi Elements Produced by Selective Laser-Beam Melting. Adv. Eng. Mater. 2021, 23, 2001246. [Google Scholar] [CrossRef]
- Liang, K.; Zhang, Q.; Cao, Y.; Tang, L. Design and performance analysis of a flexible unit based on selective laser melting. Adv. Mech. Eng. 2022, 14. [Google Scholar] [CrossRef]
- Ullsperger, T.; Matthäus, G.; Kaden, L.; Engelhardt, H.; Rettenmayr, M.; Risse, S.; Tünnermann, A.; Nolte, S. Selective laser melting of hypereutectic Al-Si40-powder using ultra-short laser pulses. Appl. Phys. A 2017, 123, 798. [Google Scholar] [CrossRef]
- Ding, H.; Tang, Q.; Zhu, Y.; Zhang, C.; Yang, H. Cavitation erosion resistance of 316 L stainless steel fabricated using selective laser melting. Friction 2020, 9, 1580–1598. [Google Scholar] [CrossRef]
- Laleh, M.; Hughes, A.E.; Xu, W.; Gibson, I.; Tan, M.Y. Unexpected erosion-corrosion behaviour of 316 L stainless steel produced by selective laser melting. Corros. Sci. 2019, 155, 67–74. [Google Scholar] [CrossRef]
- Bae, J.H.; Yu, J.M.; Dao, V.H.; Lok, V.; Yoon, K.B. Effects of processing parameters on creep behavior of 316 L stainless steel produced using selective laser melting. J. Mech. Sci. Technol. 2021, 35, 3803–3812. [Google Scholar] [CrossRef]
- Wang, L.; Wang, Y.; Zhou, Z.; Wan, H.; Li, C.; Chen, G.; Zhang, G. Small punch creep performance of heterogeneous microstructure dominated Inconel 718 fabricated by selective laser melting. Mater. Des. 2020, 195, 109042. [Google Scholar] [CrossRef]
- Wang, L.; Zhou, Z.; Li, C.; Chen, G.; Zhang, G. Comparative investigation of small punch creep resistance of Inconel 718 fabricated by selective laser melting. Mater. Sci. Eng. A 2019, 745, 31–38. [Google Scholar] [CrossRef]
- Wu, Z.; Liu, Y.; Wu, X.; Liu, X.; Wang, J.; Wang, Q. Fatigue performance of beta titanium alloy topological porous structures fabricated by laser powder bed fusion. J. Mater. Res. Technol. 2024, 29, 4772–4780. [Google Scholar] [CrossRef]
- Wu, Z.-Y.; Liu, Y.-J.; Bai, H.-W.; Wu, X.; Gao, Y.-H.; Liu, X.-C.; Wang, J.-C.; Wang, Q. Microstructure and mechanical behavior of rhombic dodecahedron-structured porous β-Ti composites fabricated via laser powder bed fusion. J. Mater. Res. Technol. 2024, 31, 298–310. [Google Scholar] [CrossRef]
- Qu, F.; Hao, S.; Wang, D.; Guo, Y.; Shen, B.; Li, H. Research on Selective Laser Sintering Process of Limestone/Polyethersulfone Composites. J. Mater. Eng. Perform. 2022, 31, 9411–9424. [Google Scholar] [CrossRef]
- Baek, M.-S.; Kreethi, R.; Park, T.-H.; Sohn, Y.; Lee, K.-A. Influence of heat treatment on the high-cycle fatigue properties and fatigue damage mechanism of selective laser melted AlSi10Mg alloy. Mater. Sci. Eng. A 2021, 819, 14148. [Google Scholar] [CrossRef]
- Colombo, C.; Biffi, C.A.; Fiocchi, J.; Scaccabarozzi, D.; Saggin, B.; Tuissi, A.; Vergani, L.M. Modulating the damping capacity of SLMed AlSi10Mg trough stress-relieving thermal treatments. Theor. Appl. Fract. Mech. 2020, 107, 102537. [Google Scholar] [CrossRef]
- Bartsch, K.; Herzog, D.; Bossen, B.; Emmelmann, C. Material modeling of Ti–6Al–4V alloy processed by laser powder bed fusion for application in macro-scale process simulation. Mater. Sci. Eng. A 2021, 814, 141237. [Google Scholar] [CrossRef]
- Lu, J.; Zhuo, L. Additive manufacturing of titanium alloys via selective laser melting: Fabrication, microstructure, post-processing, performance and prospect. Int. J. Refract. Met. Hard Mater. 2023, 111, 106110. [Google Scholar] [CrossRef]
- Sing, S.L.; Wiria, F.E.; Yeong, W.Y. Selective laser melting of lattice structures: A statistical approach to manufacturability and mechanical behavior. Robot. Comput. Manuf. 2018, 49, 170–180. [Google Scholar] [CrossRef]
- Karaoglu, S.Y.; Karaoglu, S.; Unal, I. Aerospace Industry and Aluminum Metal Matrix Composites. Int. J. Aviat. Sci. Technol. 2021, 2, 73–81. [Google Scholar] [CrossRef]
- Casalino, G.; Campanelli, S.L.; Contuzzi, N.; Ludovico, A.D. Experimental investigation and statistical optimisation of the selective laser melting process of a maraging steel. Opt. Laser Technol. 2015, 65, 151–158. [Google Scholar] [CrossRef]
- Casati, R.; Lemke, J.N.; Tuissi, A.; Vedani, M. Aging Behaviour and Mechanical Performance of 18-Ni 300 Steel Processed by Selective Laser Melting. Metals 2016, 6, 218. [Google Scholar] [CrossRef]
- Giurgiutiu, V. Chapter 1—Introduction. In Structural Health Monitoring of Aerospace Composites; Giurgiutiu, V., Ed.; Academic Press: Cambridge, MA, USA, 2016; pp. 1–23. [Google Scholar] [CrossRef]
- Madikizela, C.; Cornish, L.; Chown, L.; Möller, H. Microstructure and mechanical properties of selective laser melted Ti-3Al-8V-6Cr-4Zr-4Mo compared to Ti-6Al-4V. Mater. Sci. Eng. A 2019, 747, 225–231. [Google Scholar] [CrossRef]
- Ran, J.; Sun, X.; Wei, S.; Chen, Z.; Zhao, H. Achieving Ti-5Al-4Sn-2Zr-1Mo-0.25Si-1Nb Alloys with High Strength and Moderate Ductility through Selective Laser Melting. Materials 2020, 13, 5527. [Google Scholar] [CrossRef] [PubMed]
- Jiang, J.; Ren, Z.; Ma, Z.; Zhang, T.; Zhang, P.; Zhang, D.Z.; Mao, Z. Mechanical properties and microstructural evolution of TA15 Ti alloy processed by selective laser melting before and after annealing. Mater. Sci. Eng. A 2020, 772, 138742. [Google Scholar] [CrossRef]
- Das, S.; Wohlert, M.; Beaman, J.J.; Bourell, D.L. Producing Metal Parts with Selective Laser Sintering/Hot Isostatic Pressing. JOM 1998, 50, 17–20. [Google Scholar] [CrossRef]
- Lu, H.; Wang, Z.; Cai, J.; Xu, X.; Luo, K.; Wu, L.; Lu, J. Effects of laser shock peening on the hot corrosion behaviour of the selective laser melted Ti6Al4V titanium alloy. Corros. Sci. 2021, 188, 109558. [Google Scholar] [CrossRef]
- Gunasekaran, J.; Sevvel, P.; Solomon, I.J. Metallic materials fabrication by selective laser melting: A review. Mater. Today Proc. 2021, 37, 252–256. [Google Scholar] [CrossRef]
- Palmeri, D.; Buffa, G.; Pollara, G.; Fratini, L. Sample building orientation effect on porosity and mechanical properties in Selective Laser Melting of Ti6Al4V titanium alloy. Mater. Sci. Eng. A 2022, 830, 142306. [Google Scholar] [CrossRef]
- Calignano, F.; Cattano, G.; Iuliano, L.; Manfredi, D. Controlled Porosity Structures in Aluminum and Titanium Alloys by Selective Laser Melting. In Industrializing Additive Manufacturing—Proceedings of Additive Manufacturing in Products and Applications—AMPA2017; Meboldt, M., Klahn, C., Eds.; Springer: Cham, Switzerland, 2018. [Google Scholar] [CrossRef]
- Jafari, D.; Wits, W.W. The utilization of selective laser melting technology on heat transfer devices for thermal energy conversion applications: A review. Renew. Sustain. Energy Rev. 2018, 91, 420–442. [Google Scholar] [CrossRef]
- Romei, F.; Grubišić, A.N.; Gibbon, D. Manufacturing of a high-temperature resistojet heat exchanger by selective laser melting. Acta Astronaut. 2017, 138, 356–368. [Google Scholar] [CrossRef]
- Schwab, H.; Palm, F.; Kühn, U.; Eckert, J. Microstructure and mechanical properties of the near-beta titanium alloy Ti-5553 processed by selective laser melting. Mater. Des. 2016, 105, 75–80. [Google Scholar] [CrossRef]
- Zhang, L.; Attar, H. Selective Laser Melting of Titanium Alloys and Titanium Matrix Composites for Biomedical Applications: A Review. Adv. Eng. Mater. 2016, 18, 463–475. [Google Scholar] [CrossRef]
- Cai, C.; Wu, X.; Liu, W.; Zhu, W.; Chen, H.; Qiu, J.C.D.; Sun, C.-N.; Liu, J.; Wei, Q.; Shi, Y. Selective laser melting of near-α titanium alloy Ti-6Al-2Zr-1Mo-1V: Parameter optimization, heat treatment and mechanical performance. J. Mater. Sci. Technol. 2020, 57, 51–64. [Google Scholar] [CrossRef]
- Malý, M.; Höller, C.; Skalon, M.; Meier, B.; Koutný, D.; Pichler, R.; Sommitsch, C.; Paloušek, D. Effect of Process Parameters and High-Temperature Preheating on Residual Stress and Relative Density of Ti6Al4V Processed by Selective Laser Melting. Materials 2019, 12, 930. [Google Scholar] [CrossRef] [PubMed]
- Awd, M.; Stern, F.; Kampmann, A.; Kotzem, D.; Tenkamp, J.; Walther, F. Microstructural Characterization of the Anisotropy and Cyclic Deformation Behavior of Selective Laser Melted AlSi10Mg Structures. Metals 2018, 8, 825. [Google Scholar] [CrossRef]
- Rakesh, C.S.; Raja, A.; Nadig, P.; Jayaganthan, R.; Vasa, N.J. Influence of working environment and built orientation on the tensile properties of selective laser melted AlSi10Mg alloy. Mater. Sci. Eng. A 2019, 750, 141–151. [Google Scholar] [CrossRef]
- Snopiński, P.; Woźniak, A.; Łukowiec, D.; Matus, K.; Tański, T.; Rusz, S.; Hilšer, O. Evolution of Microstructure, Texture and Corrosion Properties of Additively Manufactured AlSi10Mg Alloy Subjected to Equal Channel Angular Pressing (ECAP). Symmetry 2022, 14, 674. [Google Scholar] [CrossRef]
- Wang, L.-Z.; Wang, S.; Hong, X. Pulsed SLM-manufactured AlSi10Mg alloy: Mechanical properties and microstructural effects of designed laser energy densities. J. Manuf. Process. 2018, 35, 492–499. [Google Scholar] [CrossRef]
- Teixeira, J.E.; Tavares-Lehmann, A.T.C. Industry 4.0 in the European union: Policies and national strategies. Technol. Forecast. Soc. Change 2022, 180, 121664. [Google Scholar] [CrossRef]
- Ghobakhloo, M.; Iranmanesh, M.; Grybauskas, A.; Vilkas, M.; Petraitė, M. Industry 4.0, innovation, and sustainable development: A systematic review and a roadmap to sustainable innovation. Bus. Strat. Environ. 2021, 30, 4237–4257. [Google Scholar] [CrossRef]
- Shipp, S.S.; Gupta, N.; Lal, B.; Scott, J.A.; Weber, C.L.; Finnin, M.S.; Blake, M.; Newsome, S.; Thomas, S. Emerging Global Trends in Advanced Manufacturing; ADA558616; Institute for Defense Analyses Alexandria Va; 1 March 2012. Available online: https://apps.dtic.mil/sti/pdfs/ADA558616.pdf (accessed on 2 August 2022).
- Liu, Z.; Liu, J.; Osmani, M. Integration of Digital Economy and Circular Economy: Current Status and Future Directions. Sustainability 2021, 13, 7217. [Google Scholar] [CrossRef]
- Vafadar, A.; Guzzomi, F.; Rassau, A.; Hayward, K. Advances in Metal Additive Manufacturing: A Review of Common Processes, Industrial Applications, and Current Challenges. Appl. Sci. 2021, 11, 1213. [Google Scholar] [CrossRef]
- Thomas, D.S.; Gilbert, S.W. Costs and Cost Effectiveness of Additive Manufacturing. NIST Speical Publ. 2014, 1176. [Google Scholar] [CrossRef]
- Kapitonov, I.A.; Voloshin, V.I.; Zhukovskaya, I.V.; Shulus, A.A. Small and Medium-Sized Enterprises as a Driver of Innovative Development of the Russian Fuel and Energy Complex. Int. J. Energy Econ. Policy 2017, 7, 231–239. [Google Scholar]
- De Negri, J.F.; Pezzutto, S.; Gantioler, S.; Moser, D.; Sparber, W. A Comprehensive Analysis of Public and Private Funding for Photovoltaics Research and Development in the European Union, Norway, and Turkey. Energies 2020, 13, 2743. [Google Scholar] [CrossRef]
- Delic, M.; Eyers, D.R. The effect of additive manufacturing adoption on supply chain flexibility and performance: An empirical analysis from the automotive industry. Int. J. Prod. Econ. 2020, 228, 107689. [Google Scholar] [CrossRef]
- Zhong, R.Y.; Xu, X.; Klotz, E.; Newman, S.T. Intelligent Manufacturing in the Context of Industry 4.0: A Review. Engineering 2017, 3, 616–630. [Google Scholar] [CrossRef]
- Büchi, G.; Cugno, M.; Castagnoli, R. Smart factory performance and Industry 4.0. Technol. Forecast. Soc. Change 2020, 150, 119790. [Google Scholar] [CrossRef]
- Ingarao, G. Manufacturing strategies for efficiency in energy and resources use: The role of metal shaping processes. J. Clean. Prod. 2017, 142, 2872–2886. [Google Scholar] [CrossRef]
- Ren, L.; Zhou, S.; Peng, T.; Ou, X. A review of CO2 emissions reduction technologies and low-carbon development in the iron and steel industry focusing on China. Renew. Sustain. Energy Rev. 2021, 143, 110846. [Google Scholar] [CrossRef]
- Sun, Y.; Bi, K.; Yin, S. Measuring and Integrating Risk Management into Green Innovation Practices for Green Manufacturing under the Global Value Chain. Sustainability 2020, 12, 545. [Google Scholar] [CrossRef]
- Müller, J.M.; Voigt, K.-I. Sustainable Industrial Value Creation in SMEs: A Comparison between Industry 4.0 and Made in China 2025. Int. J. Precis. Eng. Manuf. Technol. 2018, 5, 659–670. [Google Scholar] [CrossRef]
- Rissman, J.; Bataille, C.; Masanet, E.; Aden, N.; Morrow, W.R.; Zhou, N.; Elliott, N.; Dell, R.; Heeren, N.; Huckestein, B.; et al. Technologies and policies to decarbonize global industry: Review and assessment of mitigation drivers through 2070. Appl. Energy 2020, 266, 114848. [Google Scholar] [CrossRef]
- Jabbour, C.J.C.; Neto, A.S.; Gobbo, J.A.; Ribeiro, M.d.S.; Jabbour, A.B.L.d.S. Eco-innovations in more sustainable supply chains for a low-carbon economy: A multiple case study of human critical success factors in Brazilian leading companies. Int. J. Prod. Econ. 2015, 164, 245–257. [Google Scholar] [CrossRef]
- Haleem, A.; Javaid, M.; Singh, R.P.; Suman, R. Significant roles of 4D printing using smart materials in the field of manufacturing. Adv. Ind. Eng. Polym. Res. 2021, 4, 301–311. [Google Scholar] [CrossRef]
- Kafle, A.; Luis, E.; Silwal, R.; Pan, H.M.; Shrestha, P.L.; Bastola, A.K. 3D/4D Printing of Polymers: Fused Deposition Modelling (FDM), Selective Laser Sintering (SLS), and Stereolithography (SLA). Polymers 2021, 13, 3101. [Google Scholar] [CrossRef]
- Mitchell, A.; Lafont, U.; Hołyńska, M.; Semprimoschnig, C. Additive manufacturing—A review of 4D printing and future applications. Addit. Manuf. 2018, 24, 606–626. [Google Scholar] [CrossRef]
- Palmquist, A.; Jolic, M.; Hryha, E.; Shah, F.A. Complex geometry and integrated macro-porosity: Clinical applications of electron beam melting to fabricate bespoke bone-anchored implants. Acta Biomater. 2023, 156, 125–145. [Google Scholar] [CrossRef]
- Aversa, A.; Marchese, G.; Saboori, A.; Bassini, E.; Manfredi, D.; Biamino, S.; Ugues, D.; Fino, P.; Lombardi, M. New Aluminum Alloys Specifically Designed for Laser Powder Bed Fusion: A Review. Materials 2019, 12, 1007. [Google Scholar] [CrossRef] [PubMed]
- Wang, Z.; Ummethala, R.; Singh, N.; Tang, S.; Suryanarayana, C.; Eckert, J.; Prashanth, K.G. Selective Laser Melting of Aluminum and Its Alloys. Materials 2020, 13, 4564. [Google Scholar] [CrossRef]
- Li, R.; Shi, Y.; Wang, Z.; Wang, L.; Liu, J.; Jiang, W. Densification behavior of gas and water atomized 316 L stainless steel powder during selective laser melting. Appl. Surf. Sci. 2010, 256, 4350–4356. [Google Scholar] [CrossRef]
- Strano, G.; Hao, L.; Everson, R.M.; Evans, K.E. Surface roughness analysis, modelling and prediction in selective laser melting. J. Mech. Work. Technol. 2013, 213, 589–597. [Google Scholar] [CrossRef]
- Fayazfar, H.; Salarian, M.; Rogalsky, A.; Sarker, D.; Russo, P.; Paserin, V.; Toyserkani, E. A critical review of powder-based additive manufacturing of ferrous alloys: Process parameters, microstructure and mechanical properties. Mater. Des. 2018, 144, 98–128. [Google Scholar] [CrossRef]
- Chen, W.; Chen, C.; Zi, X.; Cheng, X.; Zhang, X.; Lin, Y.C.; Zhou, K. Controlling the microstructure and mechanical properties of a metastable β titanium alloy by selective laser melting. Mater. Sci. Eng. A 2018, 726, 240–250. [Google Scholar] [CrossRef]
- Zhang, L.-C.; Liu, Y.; Li, S.; Hao, Y. Additive Manufacturing of Titanium Alloys by Electron Beam Melting: A Review. Adv. Eng. Mater. 2018, 20, 1700842. [Google Scholar] [CrossRef]
- Travyanov, A.Y.; Petrovsky, P.V.; Cheverikin, V.V.; Lagutin, A.O.; Khomutov, M.G.; Luk’yanov, V.V. Microstructure and Mechanical Properties of Titanium Alloy VT6 and VT20L Diffusion Joints. Metallurgist 2022, 65, 1133–1141. [Google Scholar] [CrossRef]
- Vrancken, B.; Thijs, L.; Kruth, J.-P.; Van Humbeeck, J. Heat treatment of Ti6Al4V produced by Selective Laser Melting: Microstructure and mechanical properties. J. Alloys Compd. 2012, 541, 177–185. [Google Scholar] [CrossRef]
- Fousová, M.; Vojtěch, D.; Kubásek, J.; Jablonská, E.; Fojt, J. Promising characteristics of gradient porosity Ti-6Al-4V alloy prepared by SLM process. J. Mech. Behav. Biomed. Mater. 2017, 69, 368–376. [Google Scholar] [CrossRef]
- Yang, Y.; Li, L.; Pan, Y.; Sun, Z. Energy Consumption Modeling of Stereolithography-Based Additive Manufacturing Toward Environmental Sustainability. J. Ind. Ecol. 2017, 21, S168–S178. [Google Scholar] [CrossRef]
- Huang, J.; Qin, Q.; Wang, J. A Review of Stereolithography: Processes and Systems. Process. 2020, 8, 1138. [Google Scholar] [CrossRef]
- Baumers, M.; Tuck, C.; Wildman, R.; Ashcroft, I.; Hague, R. Shape Complexity and Process Energy Consumption in Electron Beam Melting: A Case of Something for Nothing in Additive Manufacturing? J. Ind. Ecol. 2017, 21, S157–S167. [Google Scholar] [CrossRef]
- Uçak, N.; Çiçek, A.; Aslantas, K. Machinability of 3D printed metallic materials fabricated by selective laser melting and electron beam melting: A review. J. Manuf. Process. 2022, 80, 414–457. [Google Scholar] [CrossRef]
- Ameen, W.; Mohammed, M.K.; Al-Ahmari, A.; Ahmed, N.; Dabwan, A.; Kaid, H. Optimization of perforated support structures for electron beam additive manufacturing. Int. J. Adv. Manuf. Technol. 2022, 120, 7305–7323. [Google Scholar] [CrossRef]
- Pradhan, S.R.; Singh, R.; Banwait, S.S. On 3D printing of dental crowns with direct metal laser sintering for canine. J. Mech. Sci. Technol. 2022, 36, 4197–4203. [Google Scholar] [CrossRef]
- Rontescu, C.; Amza, C.-G.; Bogatu, A.-M.; Cicic, D.-T.; Anania, F.D.; Burlacu, A. Reconditioning by Welding of Prosthesis Obtained through Additive Manufacturing. Metals 2022, 12, 1177. [Google Scholar] [CrossRef]
- Dwivedi, S.; Dixit, A.R.; Das, A.K. Wetting behavior of selective laser melted (SLM) bio-medical grade stainless steel 316 L. Mater. Today Proc. 2022, 56, 46–50. [Google Scholar] [CrossRef]
- Razaviye, M.K.; Tafti, R.A.; Khajehmohammadi, M. An investigation on mechanical properties of PA12 parts produced by a SLS 3D printer: An experimental approach. CIRP J. Manuf. Sci. Technol. 2022, 38, 760–768. [Google Scholar] [CrossRef]
- Thakar, C.M.; Parkhe, S.S.; Jain, A.; Phasinam, K.; Murugesan, G.; Ventayen, R.J.M. 3d Printing: Basic principles and applications. Mater. Today Proc. 2022, 51, 842–849. [Google Scholar] [CrossRef]
- Salifu, S.; Desai, D.; Ogunbiyi, O.; Mwale, K. Recent development in the additive manufacturing of polymer-based composites for automotive structures—A review. Int. J. Adv. Manuf. Technol. 2022, 119, 6877–6891. [Google Scholar] [CrossRef]
- Baechle-Clayton, M.; Loos, E.; Taheri, M.; Taheri, H. Failures and Flaws in Fused Deposition Modeling (FDM) Additively Manufactured Polymers and Composites. J. Compos. Sci. 2022, 6, 202. [Google Scholar] [CrossRef]
- Warke, S.; Puranik, V. Comparison of energy consumption of ABS and PLA while 3 D printing with fused deposition modeling process. Mater. Today Proc. 2022, 66, 2098–2103. [Google Scholar] [CrossRef]
- Onuh, S.O.; Yusuf, Y.Y. Rapid prototyping technology: Applications and benefits for rapid product development. J. Intell. Manuf. 1999, 10, 301–311. [Google Scholar] [CrossRef]
- Campbell, I.; Bourell, D.; Gibson, I. Additive manufacturing: Rapid prototyping comes of age. Rapid Prototyp. J. 2012, 18, 255–258. [Google Scholar] [CrossRef]
- Kumar, M.B.; Sathiya, P. Methods and materials for additive manufacturing: A critical review on advancements and challenges. Thin-Walled Struct. 2021, 159, 107228. [Google Scholar] [CrossRef]
- Deckard, C.R. Method and Apparatus for Producing Parts by Selective Sintering. U.S. Patent 4863538-A, 5 September 1989. Available online: https://patents.google.com/patent/US4863538A/en (accessed on 8 August 2022).
- Beaman, J.J.; Deckard, C.R. 1990-07-03 Board of Regents, The University of Texas; System Selective Laser Sintering with Assisted Powder Handling. U.S. Patent 4938816A, 17 October 1986. Available online: https://patents.google.com/patent/US4938816A/en (accessed on 8 August 2022).
- Grossin, D.; Montón, A.; Navarrete-Segado, P.; Özmen, E.; Urruth, G.; Maury, F.; Maury, D.; Frances, C.; Tourbin, M.; Lenormand, P.; et al. A review of additive manufacturing of ceramics by powder bed selective laser processing (sintering/melting): Calcium phosphate, silicon carbide, zirconia, alumina, and their composites. Open Ceram. 2021, 5, 100073. [Google Scholar] [CrossRef]
- Gross, B.C.; Erkal, J.L.; Lockwood, S.Y.; Chen, C.; Spence, D.M. Evaluation of 3D Printing and Its Potential Impact on Biotechnology and the Chemical Sciences. Anal. Chem. 2014, 86, 3240–3253. [Google Scholar] [CrossRef]
- Jemghili, R.; Taleb, A.A.; Mansouri, K. Additive Manufacturing Progress as a New Industrial Revolution. In Proceedings of the 2020 IEEE 2nd International Conference on Electronics, Control, Optimization and Computer Science (ICECOCS), Kenitra, Morocco, 2–3 December 2020; pp. 1–8. [Google Scholar]
- Fu, J.; Li, H.; Song, X.; Fu, M. Multi-scale defects in powder-based additively manufactured metals and alloys. J. Mater. Sci. Technol. 2022, 122, 165–199. [Google Scholar] [CrossRef]
- Teng, F.; Sun, Y.; Guo, S.; Gao, B.; Yu, G. Topological and Mechanical Properties of Different Lattice Structures Based on Additive Manufacturing. Micromachines 2022, 13, 1017. [Google Scholar] [CrossRef]
- Ahmadi, M.; Tabary, S.B.; Rahmatabadi, D.; Ebrahimi, M.; Abrinia, K.; Hashemi, R. Review of selective laser melting of magnesium alloys: Advantages, microstructure and mechanical characterizations, defects, challenges, and applications. J. Mater. Res. Technol. 2022, 19, 1537–1562. [Google Scholar] [CrossRef]
- Abd-Elaziem, W.; Elkatatny, S.; Abd-Elaziem, A.-E.; Khedr, M.; El-Baky, M.A.A.; Hassan, M.A.; Abu-Okail, M.; Mohammed, M.; Järvenpää, A.; Allam, T.; et al. On the current research progress of metallic materials fabricated by laser powder bed fusion process: A review. J. Mater. Res. Technol. 2022, 20, 681–707. [Google Scholar] [CrossRef]
- Fang, Y.; Kim, M.-K.; Zhang, Y.; Duan, Z.; Yuan, Q.; Suhr, J. Particulate-reinforced iron-based metal matrix composites fabricated by selective laser melting: A systematic review. J. Manuf. Process. 2022, 74, 592–639. [Google Scholar] [CrossRef]
- Rezaeifar, H.; Elbestawi, M. Porosity formation mitigation in laser powder bed fusion process using a control approach. Opt. Laser Technol. 2022, 147, 107611. [Google Scholar] [CrossRef]
- Chekotu, J.C.; Goodall, R.; Kinahan, D.; Brabazon, D. Control of Ni-Ti phase structure, solid-state transformation temperatures and enthalpies via control of L-PBF process parameters. Mater. Des. 2022, 218, 110715. [Google Scholar] [CrossRef]
- Marques, A.; Cunha, Â.; Silva, M.R.; Osendi, M.I.; Silva, F.S.; Bartolomeu, C.F. Inconel 718 produced by laser powder bed fusion: An overview of the influence of processing parameters on microstructural and mechanical properties. Int. J. Adv. Manuf. Technol. 2022, 121, 5651–5675. [Google Scholar] [CrossRef]
- Wang, S.; Tao, S.; Peng, H. Influence of Powder Characteristics on the Microstructure and Mechanical Behaviour of GH4099 Superalloy Fabricated by Electron Beam Melting. Metals 2022, 12, 1301. [Google Scholar] [CrossRef]
- Przekora, A.; Kazimierczak, P.; Wojcik, M.; Chodorski, E.; Kropiwnicki, J. Mesh Ti6Al4V Material Manufactured by Selective Laser Melting (SLM) as a Promising Intervertebral Fusion Cage. Int. J. Mol. Sci. 2022, 23, 3985. [Google Scholar] [CrossRef]
- Ryabykh, S.; Silant’Eva, T.; Dyuryagina, O.; D’Iachkov, K.; Stogov, M.; Antonov, N.; Tushina, N.; Reznik, A. Development of porous titanium implants for interbody fusion. Genij Ortop. 2021, 27, 773–781. [Google Scholar] [CrossRef]
- Wang, H.; Wan, Y.; Li, Q.; Liu, X.; Yu, M.; Zhang, X.; Xia, Y.; Sun, Q.; Liu, Z. Multiscale design and biomechanical evaluation of porous spinal fusion cage to realize specified mechanical properties. Bio-Des. Manuf. 2022, 5, 277–293. [Google Scholar] [CrossRef]
- Davies, R.; Cascarini, L. The temporo-mandibular joint: Reconstruction of the condyle post-ablation. J. Oral Biol. Craniofac. Res. 2022, 12, 593–598. [Google Scholar] [CrossRef]
- Huang, X.; Liu, H.; Wang, Z.; Qiao, L.; Su, Y.; Yan, Y. Effect of surface oxidation on wear and tribocorrosion behavior of forged and selective laser melting-based TC4 alloys. Tribol. Int. 2022, 174, 107780. [Google Scholar] [CrossRef]
- Miranda, G.; Faria, S.; Bartolomeu, F.; Pinto, E.; Alves, N.; Silva, F.S. The Influence of Laser Power and Scan Speed on the Dimensional Accuracy of Ti6Al4V Thin-Walled Parts Manufactured by Selective Laser Melting. Metals 2022, 12, 1226. [Google Scholar] [CrossRef]
- Aufa, A.; Hassan, M.Z.; Ismail, Z. Recent advances in Ti-6Al-4V additively manufactured by selective laser melting for biomedical implants: Prospect development. J. Alloys Compd. 2022, 896, 163072. [Google Scholar] [CrossRef]
- Păcurar, R.; Berce, P.; Petrilak, A.; Nemeş, O.; Borzan, C.M.; Harničárová, M.; Păcurar, A. Selective Laser Sintering of PA 2200 for Hip Implant Applications: Finite Element Analysis, Process Optimization, Morphological and Mechanical Characterization. Materials 2021, 14, 4240. [Google Scholar] [CrossRef]
- Okazaki, Y.; Mori, J. Mechanical Performance of Artificial Hip Stems Manufactured by Hot Forging and Selective Laser Melting Using Biocompatible Ti-15Zr-4Nb Alloy. Materials 2021, 14, 732. [Google Scholar] [CrossRef]
- Ghosh, S.; Abanteriba, S.; Wong, S.; Houshyar, S. Selective laser melted titanium alloys for hip implant applications: Surface modification with new method of polymer grafting. J. Mech. Behav. Biomed. Mater. 2018, 87, 312–324. [Google Scholar] [CrossRef] [PubMed]
- A Lykov, P.; Baitimerov, R.M.; Panfilov, A.V.; O Guz, A. The manufacturing of TiAl6V4 implants using selective laser melting technology. IOP Conf. Series Mater. Sci. Eng. 2017, 248, 012004. [Google Scholar] [CrossRef]
- Rotaru, H.; Schumacher, R.; Kim, S.-G.; Dinu, C. Selective laser melted titanium implants: A new technique for the reconstruction of extensive zygomatic complex defects. Maxillofac. Plast. Reconstr. Surg. 2015, 37, 1–6. [Google Scholar] [CrossRef]
- Murr, L.; Amato, K.; Li, S.; Tian, Y.; Cheng, X.; Gaytan, S.; Martinez, E.; Shindo, P.; Medina, F.; Wicker, R. Microstructure and mechanical properties of open-cellular biomaterials prototypes for total knee replacement implants fabricated by electron beam melting. J. Mech. Behav. Biomed. Mater. 2011, 4, 1396–1411. [Google Scholar] [CrossRef]
- Fischer, D.; Cheng, K.-Y.; Neto, M.Q.; Hall, D.; Bijukumar, D.; Orías, A.A.E.; Pourzal, R.; van Arkel, R.J.; Mathew, M.T. Corrosion Behavior of Selective Laser Melting (SLM) Manufactured Ti6Al4V Alloy in Saline and BCS Solution. J. Bio- Tribo-Corros. 2022, 8, 63. [Google Scholar] [CrossRef]
- Wang, N.; Meenashisundaram, G.K.; Kandilya, D.; Fuh, J.Y.H.; Dheen, S.T.; Kumar, A.S. A biomechanical evaluation on Cubic, Octet, and TPMS gyroid Ti6Al4V lattice structures fabricated by selective laser melting and the effects of their debris on human osteoblast-like cells. Mater. Sci. Eng. C 2022, 137, 212829. [Google Scholar] [CrossRef]
- Bartolomeu, F.; Gasik, M.; Silva, F.S.; Miranda, G. Mechanical Properties of Ti6Al4V Fabricated by Laser Powder Bed Fusion: A Review Focused on the Processing and Microstructural Parameters Influence on the Final Properties. Metals 2022, 12, 986. [Google Scholar] [CrossRef]
- Harun, W.S.W.; Kadirgama, K.; Samykano, M.; Ramasamy, D.; Ahmad, I.; Moradi, M. Mechanical behavior of selective laser melting-produced metallic biomaterials. In Wood-Head Publishing Series in Biomaterials, Mechanical Behaviour of Biomaterials; Davim, J.P., Ed.; Woodhead Publishing: Sawston, UK, 2019; pp. 101–116. ISBN 9780081021743. [Google Scholar] [CrossRef]
- Alabdullah, S.A.; Hannam, A.G.; Wyatt, C.C.; McCullagh, A.P.; Aleksejuniene, J.; Mostafa, N.Z. Comparison of digital and conventional methods of fit evaluation of partial removable dental prosthesis frameworks fabricated by selective laser melting. J. Prosthet. Dent. 2022, 127, 478.e1–478.e10. [Google Scholar] [CrossRef] [PubMed]
- D’ercole, S.; Mangano, C.; Cellini, L.; Di Lodovico, S.; Ozkaya, C.A.; Iezzi, G.; Piattelli, A.; Petrini, M. A Novel 3D Titanium Surface Produced by Selective Laser Sintering to Counteract Streptococcus oralis Biofilm Formation. Appl. Sci. 2021, 11, 11915. [Google Scholar] [CrossRef]
- Yu, X.; Xu, R.; Zhang, Z.; Jiang, Q.; Liu, Y.; Yu, X.; Deng, F. Different Cell and Tissue Behavior of Micro-/Nano-Tubes and Micro-/Nano-Nets Topographies on Selective Laser Melting Titanium to Enhance Osseointegration. Int. J. Nanomed. 2021, 16, 3329–3342. [Google Scholar] [CrossRef] [PubMed] [PubMed Central]
- Kuryło, P.; Cykowska-Błasik, M.; Tertel, E.; Pałka, Ł.; Pruszyński, P.; Klekiel, T. Novel Development of Implant Elements Manufactured through Selective Laser Melting 3D Printing. Adv. Eng. Mater. 2021, 23, 2001488. [Google Scholar] [CrossRef]
- Manea, A.; Bran, S.; Baciut, M.; Armencea, G.; Pop, D.; Berce, P.; Vodnar, D.-C.; Hedesiu, M.; Dinu, C.; Petrutiu, A.; et al. Sterilization protocol for porous dental implants made by Selective Laser Melting. Med. Pharm. Rep. 2018, 91, 452–457. [Google Scholar] [CrossRef] [PubMed] [PubMed Central]
- Li, L.; Chen, Y.; Lu, Y.; Qin, S.; Huang, G.; Huang, T.; Lin, J. Effect of heat treatment on the corrosion resistance of selective laser melted Ti6Al4V3Cu alloy. J. Mater. Res. Technol. 2021, 12, 904–915. [Google Scholar] [CrossRef]
- Ho, C.M.B.; Ng, S.H.; Yoon, Y.-J. A review on 3D printed bioimplants. Int. J. Precis. Eng. Manuf. 2015, 16, 1035–1046. [Google Scholar] [CrossRef]
- Sergi, A.; Khan, R.H.; Attallah, M.M. The role of powder atomisation route on the microstructure and mechanical properties of hot isostatically pressed Inconel 625. Mater. Sci. Eng. A 2021, 808, 140950. [Google Scholar] [CrossRef]
- Thermal and Thermomechanical Structuring Processes. In Microstructuring of Glasses. Springer Series in Materials Science; Springer: Berlin/Heidelberg, Germany, 2008. [CrossRef]
- Gaget, L. 3D Printing in the Medical Industry: The 3D Printed Knee Replacement. Sculpteo. Available online: https://www.sculpteo.com/blog/2018/05/04/3d-printing-in-the-medical-industry-the-3d-printed-knee-replacement/ (accessed on 3 August 2022).
- Moniri, S.; Xiao, X.; Shahani, A.J. The mechanism of eutectic modification by trace impurities. Sci. Rep. 2019, 9, 3381. [Google Scholar] [CrossRef]
- Taylor, J.A. Iron-Containing Intermetallic Phases in Al-Si Based Casting Alloys. Procedia Mater. Sci. 2012, 1, 19–33. [Google Scholar] [CrossRef]
- Yadav, P. Drift Detection in L-PBF Process Using In-Situ Monitoring Instrumentation and Data Analytic Techniques. Doctoral Dissertation, Université de Bordeaux, 2022. Available online: https://theses.hal.science/tel-03741173 (accessed on 28 July 2024).
- Gong, J.; Wei, K.; Liu, M.; Song, W.; Li, X.; Zeng, X. Microstructure and mechanical properties of AlSi10Mg alloy built by laser powder bed fusion/direct energy deposition hybrid laser additive manufacturing. Addit. Manuf. 2022, 59, 103160. [Google Scholar] [CrossRef]
- Olakanmi, E.O.T.; Cochrane, R.F.; Dalgarno, K.W. A review on selective laser sintering/melting (SLS/SLM) of aluminium alloy powders: Processing, microstructure, and properties. Prog. Mater. Sci. 2015, 74, 401–477. [Google Scholar] [CrossRef]
- Dey, A.; Yodo, N. A Systematic Survey of FDM Process Parameter Optimization and Their Influence on Part Characteristics. J. Manuf. Mater. Process. 2019, 3, 64. [Google Scholar] [CrossRef]
- Kokareva, V.V.; Smelov, V.G.; Agapovichev, A.V.; Sotov, A.V.; Sufiiarov, V.S. Development of SLM quality system for gas turbines engines parts production. IOP Conf. Series Mater. Sci. Eng. 2018, 441, 012024. [Google Scholar] [CrossRef]
- Wang, G.; Huang, L.; Liu, Z.; Qin, Z.; He, W.; Liu, F.; Chen, C.; Nie, Y. Process optimization and mechanical properties of oxide dispersion strengthened nickel-based superalloy by selective laser melting. Mater. Des. 2020, 188, 108418. [Google Scholar] [CrossRef]
- Fish, S.; Booth, J.C.; Kubiak, S.T.; Wroe, W.W.; Bryant, A.D.; Moser, D.R.; Beaman, J.J. Design and subsystem development of a high temperature selective laser sintering machine for enhanced process monitoring and control. Addit. Manuf. 2015, 5, 60–67. [Google Scholar] [CrossRef]
- Lu, X.; Chiumenti, M.; Cervera, M.; Slimani, M.; Gonzalez, I. Recoater-Induced Distortions and Build Failures in Selective Laser Melting of Thin-Walled Ti6Al4V Parts. J. Manuf. Mater. Process. 2023, 7, 64. [Google Scholar] [CrossRef]
- Kleemeyer, S.D. Determining the Influence of the Type of Shielding Gas during Additive Manufacturing of an Aluminum Alloy by Monitoring the Process Qualitatively and Analyzing Process Byproducts Quantitatively. Dissertation. 2021. Available online: http://www.diva-portal.org/smash/record.jsf?pid=diva2%3A1611847&dswid=3152 (accessed on 9 September 2022).
- He, J.; Lv, J.; Song, Z.; Wang, C.; Feng, H.; Wu, X.; Zhu, Y.; Zheng, W. Maintaining Excellent Mechanical Properties via Additive Manufacturing of Low-N 25Cr-Type Duplex Stainless Steel. Materials 2023, 16, 7125. [Google Scholar] [CrossRef]
- Gargalis, L.; Karavias, L.; Graff, J.S.; Diplas, S.; Koumoulos, E.P.; Karaxi, E.K. A Comparative Investigation of Duplex and Super Duplex Stainless Steels Processed through Laser Powder Bed Fusion. Metals 2023, 13, 1897. [Google Scholar] [CrossRef]
- Opprecht, M.; Garandet, J.-P.; Roux, G.; Flament, C.; Soulier, M. A solution to the hot cracking problem for aluminium alloys manufactured by laser beam melting. Acta Mater. 2020, 197, 40–53. [Google Scholar] [CrossRef]
- Waqar, S.; Guo, K.; Sun, J. Evolution of residual stress behavior in selective laser melting (SLM) of 316 L stainless steel through preheating and in-situ re-scanning techniques. Opt. Laser Technol. 2022, 149, 107806. [Google Scholar] [CrossRef]
- Fang, Z.-C.; Wu, Z.-L.; Huang, C.-G.; Wu, C.-W. Review on residual stress in selective laser melting additive manufacturing of alloy parts. Opt. Laser Technol. 2020, 129, 106283. [Google Scholar] [CrossRef]
- ISO/ASTM DIS 52900:2021; Additive Manufacturing—General Principles—Terminology. International Organization for Standardization: Geneva, Switzerland, 2021. Available online: https://www.iso.org/standard/74514.html (accessed on 9 September 2022).
- Delgado, J.; Ciurana, J.; Rodríguez, C.A. Influence of process parameters on part quality and mechanical properties for DMLS and SLM with iron-based materials. Int. J. Adv. Manuf. Technol. 2012, 60, 601–610. [Google Scholar] [CrossRef]
- Kaufmann, N.; Imran, M.; Wischeropp, T.M.; Emmelmann, C.; Siddique, S.; Walther, F. Influence of Process Parameters on the Quality of Aluminium Alloy EN AW 7075 Using Selective Laser Melting (SLM). Phys. Procedia 2016, 83, 918–926. [Google Scholar] [CrossRef]
- Karthik, G.M.; Kim, H.S. Heterogeneous Aspects of Additive Manufactured Metallic Parts: A Review. Met. Mater. Int. 2021, 27, 1–39. [Google Scholar] [CrossRef]
- Cooke, S.; Ahmadi, K.; Willerth, S.; Herring, R. Metal additive manufacturing: Technology, metallurgy and modelling. J. Manuf. Process. 2020, 57, 978–1003. [Google Scholar] [CrossRef]
- Zhang, B.; Dembinski, L.; Coddet, C. The study of the laser parameters and environment variables effect on mechanical properties of high compact parts elaborated by selective laser melting 316 L powder. Mater. Sci. Eng. A 2013, 584, 21–31. [Google Scholar] [CrossRef]
- Liverani, E.; Toschi, S.; Ceschini, L.; Fortunato, A. Effect of selective laser melting (SLM) process parameters on microstructure and mechanical properties of 316 L austenitic stainless steel. J. Mech. Work. Technol. 2017, 249, 255–263. [Google Scholar] [CrossRef]
- Tang, X.; Zhang, S.; Zhang, C.; Chen, J.; Zhang, J.; Liu, Y. Optimization of laser energy density and scanning strategy on the forming quality of 24CrNiMo low alloy steel manufactured by SLM. Mater. Charact. 2020, 170, 110718. [Google Scholar] [CrossRef]
- Donik, Č.; Kraner, J.; Paulin, I.; Godec, M. Influence of the Energy Density for Selective Laser Melting on the Microstructure and Mechanical Properties of Stainless Steel. Metals 2020, 10, 919. [Google Scholar] [CrossRef]
- Zhang, P.; Tan, J.; Tian, Y.; Yan, H.; Yu, Z. Research progress on selective laser melting (SLM) of bulk metallic glasses (BMGs): A review. Int. J. Adv. Manuf. Technol. 2022, 118, 2017–2057. [Google Scholar] [CrossRef]
- Gupta, A.; Lloyd, D.; Court, S. Precipitation hardening in Al–Mg–Si alloys with and without excess Si. Mater. Sci. Eng. A 2001, 316, 11–17. [Google Scholar] [CrossRef]
- Zhen, L.; Kang, S.B.; Kim, H.W. Effect of natural aging and preaging on subsequent precipitation process of an AI-Mg-Si alloy with high excess silicon. Mater. Sci. Technol. 1997, 13, 905–911. [Google Scholar] [CrossRef]
- Wang, Y.; Li, R.; Yuan, T.; Zou, L.; Wang, M.; Yang, H. Microstructure and mechanical properties of Al-Fe-Sc-Zr alloy additively manufactured by selective laser melting. Mater. Charact. 2021, 180, 111397. [Google Scholar] [CrossRef]
- Ansari, P.; Salamci, M.U. On the selective laser melting based additive manufacturing of AlSi10Mg: The process parameter investigation through multiphysics simulation and experimental validation. J. Alloys Compd. 2022, 890, 161873. [Google Scholar] [CrossRef]
- Zhang, D.; Yi, D.; Wu, X.; Liu, Z.; Wang, W.; Poprawe, R.; Schleifenbaumc, J.H.; Zieglerd, S. SiC reinforced AlSi10Mg composites fabricated by selective laser melting. J. Alloys Compd. 2022, 894, 162365. [Google Scholar] [CrossRef]
- Dong, Z.; Xu, M.; Guo, H.; Fei, X.; Liu, Y.; Gong, B.; Ju, G. Microstructural evolution and characterization of AlSi10Mg alloy manufactured by selective laser melting. J. Mater. Res. Technol. 2022, 17, 2343–2354. [Google Scholar] [CrossRef]
- Cheng, W.; Liu, Y.; Xiao, X.; Huang, B.; Zhou, Z.; Liu, X. Microstructure and mechanical properties of a novel (TiB2+TiC)/AlSi10Mg composite prepared by selective laser melting. Mater. Sci. Eng. A 2022, 834, 142435. [Google Scholar] [CrossRef]
- Kuai, Z.; Li, Z.; Liu, B.; Liu, W.; Yang, S. Effects of remelting on the surface morphology, microstructure and mechanical properties of AlSi10Mg alloy fabricated by selective laser melting. Mater. Chem. Phys. 2022, 285, 125901. [Google Scholar] [CrossRef]
- Hu, Z.; Zhao, Z.; Deng, X.; Lu, Z.; Liu, J.; Qu, Z. Microstructure and mechanical behavior of TiCN reinforced AlSi10Mg composite fabricated by selective laser melting. Mater. Chem. Phys. 2022, 283, 125996. [Google Scholar] [CrossRef]
- Xiao, Y.; Chen, H.; Bian, Z.; Sun, T.; Ding, H.; Yang, Q.; Wu, Y.; Lian, Q.; Chen, Z.; Wang, H. Enhancing strength and ductility of AlSi10Mg fabricated by selective laser melting by TiB2 nanoparticles. J. Mater. Sci. Technol. 2022, 109, 254–266. [Google Scholar] [CrossRef]
- Pan, W.; Ye, Z.; Zhang, Y.; Liu, Y.; Liang, B.; Zhai, Z. Research on Microstructure and Properties of AlSi10Mg Fabricated by Selective Laser Melting. Materials 2022, 15, 2528. [Google Scholar] [CrossRef] [PubMed]
- Xiaohui, J.; Chunbo, Y.; Honglan, G.; Shan, G.; Yong, Z. Effect of supporting structure design on residual stresses in selective laser melting of AlSi10Mg. Int. J. Adv. Manuf. Technol. 2022, 118, 1597–1608. [Google Scholar] [CrossRef]
- Mei, J.; Han, Y.; Zu, G.; Zhu, W.; Zhao, Y.; Chen, H.; Ran, X. Achieving Superior Strength and Ductility of AlSi10Mg Alloy Fabricated by Selective Laser Melting with Large Laser Power and High Scanning Speed. Acta Met. Sin. (Engl. Lett.) 2022, 35, 1665–1672. [Google Scholar] [CrossRef]
- Meyer, G.; Musekamp, J.; Göbel, F.; Gardian, F.; Mittelstedt, C. Manufacturability investigation of inclined AlSi10Mg lattice struts by means of selective laser melting. Manuf. Lett. 2021, 31, 101–105. [Google Scholar] [CrossRef]
- Zhang, Y.; Li, X.; Yuan, S.; Sun, R.; Sakai, T.; Lashari, M.I.; Hamid, U.; Li, W. High-cycle-fatigue properties of selective-laser-melted AlSi10Mg with multiple building directions. Int. J. Mech. Sci. 2022, 224, 107336. [Google Scholar] [CrossRef]
- Cai, X.; Pan, C.; Wang, J.; Zhang, W.; Fan, Z.; Gao, Y.; Xu, P.; Sun, H.; Li, J.; Yang, W. Mechanical behavior, damage mode and mechanism of AlSi10Mg porous structure manufactured by selective laser melting. J. Alloys Compd. 2022, 897, 162933. [Google Scholar] [CrossRef]
- Liverani, E.; Li, Y.; Ascari, A.; Zhao, X.; Fortunato, A. The effect of femto-second laser shock peening on the microstructures and surface roughness of AlSi10Mg samples produced with selective laser melting (SLM). Procedia CIRP 2022, 108, 77–81. [Google Scholar] [CrossRef]
- Cui, L.; Peng, Z.; Chang, Y.; He, D.; Cao, Q.; Guo, X.; Zeng, Y. Porosity, microstructure and mechanical property of welded joints produced by different laser welding processes in selective laser melting AlSi10Mg alloys. Opt. Laser Technol. 2022, 150, 107952. [Google Scholar] [CrossRef]
- Giganto, S.; Martínez-Pellitero, S.; Barreiro, J.; Leo, P.; Castro-Sastre, M. Impact of the laser scanning strategy on the quality of 17-4PH stainless steel parts manufactured by selective laser melting. J. Mater. Res. Technol. 2022, 20, 2734–2747. [Google Scholar] [CrossRef]
- Neikter, M.; Huang, A.; Wu, X. Microstructural characterization of binary microstructure pattern in selective laser-melted Ti-6Al-4V. Int. J. Adv. Manuf. Technol. 2019, 104, 1381–1391. [Google Scholar] [CrossRef]
- Zhang, H.; Xu, M.; Kumar, P.; Li, C.; Dai, W.; Liu, Z.; Li, Z.; Zhang, Y. Enhancement of fatigue resistance of additively manufactured 304 L SS by unique heterogeneous microstructure. Virtual Phys. Prototyp. 2021, 16, 125–145. [Google Scholar] [CrossRef]
- Aboulkhair, N.T.; Everitt, N.M.; Ashcroft, I.; Tuck, C. Reducing porosity in AlSi10Mg parts processed by selective laser melting. Addit. Manuf. 2014, 1–4, 77–86. [Google Scholar] [CrossRef]
- Barile, C.; Casavola, C.; Kannan, V.P.; Renna, G. The influence of AlSi10Mg recycled powder on corrosion-resistance behaviour of additively manufactured components: Mechanical aspects and acoustic emission investigation. Arch. Civ. Mech. Eng. 2022, 22, 52. [Google Scholar] [CrossRef]
- Revilla, R.I.; Verkens, D.; Rubben, T.; De Graeve, I. Corrosion and Corrosion Protection of Additively Manufactured Aluminium Alloys—A Critical Review. Materials 2020, 13, 4804. [Google Scholar] [CrossRef]
- Guo, M.; Sun, M.; Huang, J.; Pang, S. A Comparative Study on the Microstructures and Mechanical Properties of Al-10Si-0.5Mg Alloys Prepared under Different Conditions. Metals 2022, 12, 142. [Google Scholar] [CrossRef]
- Ahmed, N.; Barsoum, I.; Haidemenopoulos, G.; Abu Al-Rub, R. Process parameter selection and optimization of laser powder bed fusion for 316 L stainless steel: A review. J. Manuf. Process. 2022, 75, 415–434. [Google Scholar] [CrossRef]
- Dong, S.; Zhang, X.; Ma, F.; Jiang, J.; Yang, W.; Lin, Z.; Chen, C. Research on metallurgical bonding of selective laser melted AlSi10Mg alloy. Mater. Res. Express 2020, 7, 025801. [Google Scholar] [CrossRef]
- Bobel, A.; Hector, L.G.; Chelladurai, I.; Sachdev, A.K.; Brown, T.; Poling, W.A.; Kubic, R.; Gould, B.; Zhao, C.; Parab, N.; et al. In situ synchrotron X-ray imaging of 4140 steel laser powder bed fusion. Materialia 2019, 6, 100306. [Google Scholar] [CrossRef]
- Michi, R.A.; Plotkowski, A.; Shyam, A.; Dehoff, R.R.; Babu, S.S. Towards high-temperature applications of aluminium alloys enabled by additive manufacturing. Int. Mater. Rev. 2021, 67, 298–345. [Google Scholar] [CrossRef]
- Yang, X.; Cai, R.; Chen, C.; Araby, S.; Li, Y.; Wang, W.; Meng, Q. High-performance aluminum alloy with fully equiaxed grain microstructure fabricated by laser metal deposition. J. Mater. Res. 2022, 37, 3658–3667. [Google Scholar] [CrossRef]
- Buchbinder, D.; Schleifenbaum, H.; Heidrich, S.; Meiners, W.; Bültmann, J. High Power Selective Laser Melting (HP SLM) of Aluminum Parts. Phys. Procedia 2011, 12, 271–278. [Google Scholar] [CrossRef]
- Spierings, A.; Dawson, K.; Kern, K.; Palm, F.; Wegener, K. SLM-processed Sc- and Zr- modified Al-Mg alloy: Mechanical properties and microstructural effects of heat treatment. Mater. Sci. Eng. A 2017, 701, 264–273. [Google Scholar] [CrossRef]
- Shamsaei, N.; Yadollahi, A.; Bian, L.; Thompson, S.M. An overview of Direct Laser Deposition for additive manufacturing; Part II: Mechanical behavior, process parameter optimization and control. Addit. Manuf. 2015, 8, 12–35. [Google Scholar] [CrossRef]
- Wang, Y. Microstructure and Mechanical Properties of Laser Additively Manufactured Nickle based Alloy with External Nano Reinforcement: A Feasibility Study. Ph.D. Thesis, University of Cincinnati, Cincinnati, OH, USA, 2018. Available online: http://rave.ohiolink.edu/etdc/view?acc_num=ucin1535703630944044 (accessed on 29 July 2024).
- Ou, Y.; Zhang, Q.; Wei, Y.; Hu, Y.; Sui, S.; Chen, J.; Wang, X.; Li, W. Evolution of Heterogeneous Microstructure and its Effects on Tensile Properties of Selective Laser Melted AlSi10Mg Alloy. J. Mater. Eng. Perform. 2021, 30, 4341–4355. [Google Scholar] [CrossRef]
- Park, T.-H.; Baek, M.-S.; Hyer, H.; Sohn, Y.; Lee, K.-A. Effect of direct aging on the microstructure and tensile properties of AlSi10Mg alloy manufactured by selective laser melting process. Mater. Charact. 2021, 176, 111113. [Google Scholar] [CrossRef]
- Girelli, L.; Tocci, M.; Gelfi, M.; Pola, A. Study of heat treatment parameters for additively manufactured AlSi10Mg in comparison with corresponding cast alloy. Mater. Sci. Eng. A 2018, 739, 317–328. [Google Scholar] [CrossRef]
- Buchbinder, D.; Meiners, W.; Wissenbach, K.; Poprawe, R. Selective laser melting of aluminum die-cast alloy—Correlations between process parameters, solidification conditions, and resulting mechanical properties. J. Laser Appl. 2015, 27. [Google Scholar] [CrossRef]
- Li, W.; Li, S.; Liu, J.; Zhang, A.; Zhou, Y.; Wei, Q.; Yan, C.; Shi, Y. Effect of heat treatment on AlSi10Mg alloy fabricated by selective laser melting: Microstructure evolution, mechanical properties and fracture mechanism. Mater. Sci. Eng. A 2016, 663, 116–125. [Google Scholar] [CrossRef]
- Rosenthal, I.; Shneck, R.; Stern, A. Heat treatment effect on the mechanical properties and fracture mechanism in AlSi10Mg fabricated by additive manufacturing selective laser melting process. Mater. Sci. Eng. A 2018, 729, 310–322. [Google Scholar] [CrossRef]
- Wang, L.; Jiang, X.; Guo, M.; Zhu, X.; Yan, B. Characterisation of structural properties for AlSi10Mg alloys fabricated by selective laser melting. Mater. Sci. Technol. 2017, 33, 2274–2282. [Google Scholar] [CrossRef]
- Li, L.; Meng, X.; Huang, S.; Wang, H.; Li, P.; Zhou, J. Investigating the effect of the scanning speed on the characteristics of Al-Li alloy fabricated by selective laser melting. J. Manuf. Process. 2022, 75, 719–728. [Google Scholar] [CrossRef]
- Mauduit, A.; Pillot, S.; Frascati, F. Application study of AlSi10Mg alloy by selective laser melting: Physical and mechanical properties, microstructure, heat treatments and manufacturing of aluminium metallic matrix composite (MMC). Met. Res. Technol. 2015, 112, 605. [Google Scholar] [CrossRef]
- Ghio, E.; Cerri, E. Work Hardening of Heat-Treated AlSi10Mg Alloy Manufactured by Selective Laser Melting: Effects of Layer Thickness and Hatch Spacing. Materials 2021, 14, 4901. [Google Scholar] [CrossRef]
- Kleiner, S.; Zürcher, J.; Bauer, O.; Margraf, P. Heat Treatment Response of Selectively Laser Melted AlSi10Mg. HTM J. Heat Treat. Mater. 2020, 75, 327–341. [Google Scholar] [CrossRef]
- Zuback, J.; DebRoy, T. The Hardness of Additively Manufactured Alloys. Materials 2018, 11, 2070. [Google Scholar] [CrossRef] [PubMed]
- Gu, X.-H.; Zhang, J.-X.; Fan, X.-L.; Zhang, L.-C. Corrosion Behavior of Selective Laser Melted AlSi10Mg Alloy in NaCl Solution and Its Dependence on Heat Treatment. Acta Met. Sin. (Engl. Lett.) 2020, 33, 327–337. [Google Scholar] [CrossRef]
- Tiwari, A.; Singh, G.; Jayaganthan, R. Improved Corrosion Resistance Behaviour of AlSi10Mg Alloy due to Selective Laser Melting. Coatings 2023, 13, 225. [Google Scholar] [CrossRef]
- Liu, S.; Shin, Y.C. Additive manufacturing of Ti6Al4V alloy: A review. Mater. Des. 2018, 164, 107552. [Google Scholar] [CrossRef]
- Yan, M.; Yu, P. An Overview of Densification, Microstructure and Mechanical Property of Additively Manufactured Ti-6Al-4V —Comparison among Selective Laser Melting, Electron Beam Melting, Laser Metal Deposition and Selective Laser Sintering, and with Conventional Powder; Sintering Techniques of Materials; IntechOpen: London, UK, 2015; pp. 77–106. [Google Scholar] [CrossRef]
- Pal, S.; Finšgar, M.; Bončina, T.; Lojen, G.; Brajlih, T.; Drstvenšek, I. Effect of surface powder particles and morphologies on corrosion of Ti-6Al-4 V fabricated with different energy densities in selective laser melting. Mater. Des. 2021, 211, 110184. [Google Scholar] [CrossRef]
- Colombo-Pulgarín, J.C.; Biffi, C.A.; Vedani, M.; Celentano, D.; Sánchez-Egea, A.; Boccardo, A.D.; Ponthot, J.P. Beta Titanium Alloys Processed by Laser Powder Bed Fusion: A Review. J. Mater. Eng. Perform. 2021, 30, 6365–6388. [Google Scholar] [CrossRef]
- Sutton, A.T.; Kriewall, C.S.; Leu, M.C.; Newkirk, J.W. Powders for Additive Manufacturing Process: Characterization Techniques and Effects on Part Properties. In Proceedings of the 2016 International Solid Freeform Fabrication Symposium, University of Texas, Austin, TX, USA, 8–10 August 2016; Available online: https://repositories.lib.utexas.edu/handle/2152/89651 (accessed on 28 July 2024).
- Sun, Y.Y.; Gulizia, S.; Oh, C.H.; Doblin, C.; Yang, Y.F.; Qian, M. Manipulation and Characterization of a Novel Titanium Powder Precursor for Additive Manufacturing Applications. JOM 2015, 67, 564–572. [Google Scholar] [CrossRef]
- Suresh, S.; Sun, C.-N.; Tekumalla, S.; Rosa, V.; Nai, S.M.L.; Wong, R.C.W. Mechanical properties and in vitro cytocompatibility of dense and porous Ti–6Al–4V ELI manufactured by selective laser melting technology for biomedical applications. J. Mech. Behav. Biomed. Mater. 2021, 123, 104712. [Google Scholar] [CrossRef]
- Jin, P.; Tang, Q.; Li, K.; Feng, Q.; Ren, Z.; Song, J.; Nie, Y.; Ma, S. The relationship between the macro- and microstructure and the mechanical properties of selective-laser-melted Ti6Al4V samples under low energy inputs: Simulation and experiment. Opt. Laser Technol. 2022, 148, 7713. [Google Scholar] [CrossRef]
- Wang, D.; Wang, H.; Chen, X.; Liu, Y.; Lu, D.; Liu, X.; Han, C. Densification, Tailored Microstructure, and Mechanical Properties of Selective Laser Melted Ti–6Al–4V Alloy via Annealing Heat Treatment. Micromachines 2022, 13, 331. [Google Scholar] [CrossRef] [PubMed]
- Sun, Q.-D.; Sun, J.; Guo, K.; Waqar, S.; Liu, J.-W.; Wang, L.-S. Influences of processing parameters and heat treatment on microstructure and mechanical behavior of Ti-6Al-4V fabricated using selective laser melting. Adv. Manuf. 2022, 10, 520–540. [Google Scholar] [CrossRef]
- Meng, L.; Yang, H.; Ben, D.; Ji, H.; Lian, D.; Ren, D.; Li, Y.; Bai, T.; Cai, Y.; Chen, J.; et al. Effects of defects and microstructures on tensile properties of selective laser melted Ti6Al4V alloys fabricated in the optimal process zone. Mater. Sci. Eng. A 2022, 830, 142294. [Google Scholar] [CrossRef]
- Park, H.S.; Nguyen, D.S.; Le-Hong, T.; Van Tran, X. Machine learning-based optimization of process parameters in selective laser melting for biomedical applications. J. Intell. Manuf. 2022, 33, 1843–1858. [Google Scholar] [CrossRef]
- Young, Z.A.; Coday, M.M.; Guo, Q.; Qu, M.; Hojjatzadeh, S.M.H.; Escano, L.I.; Fezzaa, K.; Sun, T.; Chen, L. Uncertainties Induced by Processing Parameter Variation in Selective Laser Melting of Ti6Al4V Revealed by In-Situ X-ray Imaging. Materials 2022, 15, 530. [Google Scholar] [CrossRef]
- Lv, J.; Luo, K.; Lu, H.; Wang, Z.; Liu, J.; Lu, J. Achieving high strength and ductility in selective laser melting Ti-6Al-4V alloy by laser shock peening. J. Alloys Compd. 2022, 899, 163335. [Google Scholar] [CrossRef]
- Xiang, S.; Yuan, Y.; Zhang, C.; Chen, J. Effects of Process Parameters on the Corrosion Resistance and Biocompatibility of Ti6Al4V Parts Fabricated by Selective Laser Melting. ACS Omega 2022, 7, 5954–5961. [Google Scholar] [CrossRef] [PubMed]
- Traxel, K.D.; Bandyopadhyay, A. Selective laser melting of Ti6Al4V-B4C-BN in situ reactive composites. J. Mater. Res. Technol. 2022, 18, 2654–2671. [Google Scholar] [CrossRef]
- Karimi, J.; Antonov, M.; Kollo, L.; Prashanth, K. Role of laser remelting and heat treatment in mechanical and tribological properties of selective laser melted Ti6Al4V alloy. J. Alloys Compd. 2022, 897, 163207. [Google Scholar] [CrossRef]
- Zheng, Z.; Jin, X.; Bai, Y.; Yang, Y.; Ni, C.; Lu, W.F.; Wang, H. Microstructure and anisotropic mechanical properties of selective laser melted Ti6Al4V alloy under different scanning strategies. Mater. Sci. Eng. A 2022, 831, 142236. [Google Scholar] [CrossRef]
- Yan, X.; Yue, S.; Ge, J.; Chen, C.; Lupoi, R.; Yin, S. Microstructural and mechanical optimization of selective laser melted Ti6Al4V lattices: Effect of hot isostatic pressing. J. Manuf. Process. 2022, 77, 151–162. [Google Scholar] [CrossRef]
- Maitra, V.; Shi, J.; Lu, C. Robust prediction and validation of as-built density of Ti-6Al-4V parts manufactured via selective laser melting using a machine learning approach. J. Manuf. Process. 2022, 78, 183–201. [Google Scholar] [CrossRef]
- Zhang, J.; Song, B.; Cai, C.; Zhang, L.; Shi, Y. Tailorable microstructure and mechanical properties of selective laser melted TiB/Ti–6Al–4V composite by heat treatment. Adv. Powder Mater. 2021, 1, 100010. [Google Scholar] [CrossRef]
- Yang, X.; Li, Y.; Duan, M.-G.; Jiang, W.; Chen, D.; Li, B. An investigation of ductile fracture behavior of Ti6Al4V alloy fabricated by selective laser melting. J. Alloys Compd. 2022, 890, 161926. [Google Scholar] [CrossRef]
- Wang, J.; Liu, Y.; Rabadia, C.D.; Liang, S.-X.; Sercombe, T.B.; Zhang, L.-C. Microstructural homogeneity and mechanical behavior of a selective laser melted Ti-35Nb alloy produced from an elemental powder mixture. J. Mater. Sci. Technol. 2021, 61, 221–233. [Google Scholar] [CrossRef]
- Wang, J.; Liu, Y.; Liang, S.; Zhang, Y.; Wang, L.; Sercombe, T.; Zhang, L. Comparison of microstructure and mechanical behavior of Ti-35Nb manufactured by laser powder bed fusion from elemental powder mixture and prealloyed powder. J. Mater. Sci. Technol. 2021, 105, 1–16. [Google Scholar] [CrossRef]
- Wei, K.; Wang, Z.; Zeng, X. Effect of heat treatment on microstructure and mechanical properties of the selective laser melting processed Ti-5Al-2.5Sn α titanium alloy. Mater. Sci. Eng. A 2018, 709, 301–311. [Google Scholar] [CrossRef]
- Mohanavel, V.; Ravichandran, M.; Anandakrishnan, V.; Pramanik, A.; Meignanamoorthy, M.; Karthick, A.; Muhibbullah, M. Mechanical Properties of Titanium Diboride Particles Reinforced Aluminum Alloy Matrix Composites: A Comprehensive Review. Adv. Mater. Sci. Eng. 2021, 2021, 18. [Google Scholar] [CrossRef]
- Wu, Q.; Wang, Z.; Zheng, T.; Chen, D.; Yang, Z.; Li, J.; Kai, J.-J.; Wang, J. A casting eutectic high entropy alloy with superior strength-ductility combination. Mater. Lett. 2019, 253, 268–271. [Google Scholar] [CrossRef]
- Kenel, C.; Grolimund, D.; Li, X.; Panepucci, E.; Samson, V.A.; Sanchez, D.F.; Marone, F.; Leinenbach, C. In situ investigation of phase transformations in Ti-6Al-4V under additive manufacturing conditions combining laser melting and high-speed micro-X-ray diffraction. Sci. Rep. 2017, 7, 16358. [Google Scholar] [CrossRef] [PubMed]
- Kanwar, S.; Al-Ketan, O.; Vijayavenkataraman, S. A novel method to design biomimetic, 3D printable stochastic scaffolds with controlled porosity for bone tissue engineering. Mater. Des. 2022, 220, 110857. [Google Scholar] [CrossRef]
- Waqas, M.; He, D.; Liu, Y.; Riaz, S.; Afzal, F. Effect of Heat Treatment on Microstructure and Mechanical Properties of Ti6Al4V Alloy Fabricated by Selective Laser Melting. J. Mater. Eng. Perform. 2022, 32, 680–694. [Google Scholar] [CrossRef]
- Rafi, H.K.; Karthik, N.V.; Gong, H.; Starr, T.L.; Stucker, B.E. Microstructures and Mechanical Properties of Ti6Al4V Parts Fabricated by Selective Laser Melting and Electron Beam Melting. J. Mater. Eng. Perform. 2013, 22, 3872–3883. [Google Scholar] [CrossRef]
- Facchini, L.; Magalini, E.; Robotti, P.; Molinari, A.; Höges, S.; Wissenbach, K. Ductility of a Ti-6Al-4V alloy produced by selective laser melting of prealloyed powders. Rapid Prototyp. J. 2010, 16, 450–459. [Google Scholar] [CrossRef]
- Mertens, A.; Reginster, S.; Paydas, H.; Contrepois, Q.; Dormal, T.; Lemaire, O.; Lecomte-Beckers, J. Mechanical properties of alloy Ti–6Al–4V and of stainless steel 316 L processed by Selective Laser Melting: Influence of out-of-equilibrium microstructures. Powder Met. 2014, 57, 184–189. [Google Scholar] [CrossRef]
- Yang, G.; Cui, B.; Wang, C.; Zhang, Y.; Guo, C.; Wang, C. Compound Structure–Composition Control on the Mechanical Properties of Selective Laser-Melted Titanium Alloys. Materials 2022, 15, 3125. [Google Scholar] [CrossRef]
- Yu, G.; Li, Z.; Hua, Y.; Liu, H.; Zhao, X.; Li, W.; Wang, X. The Effects of Post Heat Treatment on the Microstructural and Mechanical Properties of an Additive-Manufactured Porous Titanium Alloy. Materials 2020, 13, 593. [Google Scholar] [CrossRef] [PubMed]
- Liang, Z.; Sun, Z.; Zhang, W.; Wu, S.; Chang, H. The effect of heat treatment on microstructure evolution and tensile properties of selective laser melted Ti6Al4V alloy. J. Alloys Compd. 2018, 782, 1041–1048. [Google Scholar] [CrossRef]
- Zhao, D.; Han, C.; Li, Y.; Li, J.; Zhou, K.; Wei, Q.; Liu, J.; Shi, Y. Improvement on mechanical properties and corrosion resistance of titanium-tantalum alloys in-situ fabricated via selective laser melting. J. Alloys Compd. 2019, 804, 288–298. [Google Scholar] [CrossRef]
- Zhao, D.; Han, C.; Li, J.; Liu, J.; Wei, Q. In situ fabrication of a titanium-niobium alloy with tailored microstructures, enhanced mechanical properties and biocompatibility by using selective laser melting. Mater. Sci. Eng. C 2020, 111, 110784. [Google Scholar] [CrossRef]
- Liu, Q.; Qiu, C. Variant selection of α precipitation in a beta titanium alloy during selective laser melting and its influence on mechanical properties. Mater. Sci. Eng. A 2020, 784, 139336. [Google Scholar] [CrossRef]
- Nasirpouri, F.; Sanaeian, M.; Samardak, A.; Sukovatitsina, E.; Ognev, A.; Chebotkevich, L.; Hosseini, M.-G.; Abdolmaleki, M. An investigation on the effect of surface morphology and crystalline texture on corrosion behavior, structural and magnetic properties of electrodeposited nanocrystalline nickel films. Appl. Surf. Sci. 2014, 292, 795–805. [Google Scholar] [CrossRef]
- Wang, J.C.; Liu, Y.J.; Qin, P.; Liang, S.X.; Sercombe, T.B.; Zhang, L.C. Selective laser melting of Ti–35Nb composite from elemental powder mixture: Microstructure, mechanical behavior and corrosion behavior. Mater. Sci. Eng. A 2019, 760, 214–224. [Google Scholar] [CrossRef]
- Lu, W.; Liu, Y.; Wu, X.; Liu, X.; Wang, J. Corrosion and passivation behavior of Ti-6Al-4V surfaces treated with high-energy pulsed laser: A comparative study of cast and 3D-printed specimens in a NaCl solution. Surf. Coat. Technol. 2023, 470, 129849. [Google Scholar] [CrossRef]
- Ge, S.-W.; Hu, P.; Deng, J.; Li, S.-L.; Xing, H.-R.; Han, J.-Y.; Hua, X.-J.; Wang, L.; Yang, J.-Z.; Jin, B.; et al. The effect of secondary phase on corrosion behaviors of the titanium–zirconium–molybdenum alloy. Tungsten 2024, 6, 342–354. [Google Scholar] [CrossRef]
- Metalnikov, P.; Ben-Hamu, G.; Eliezer, D. Corrosion behavior of AM-Ti-6Al-4V: A comparison between EBM and SLM. Prog. Addit. Manuf. 2022, 7, 509–520. [Google Scholar] [CrossRef]
- Pede, D.; Li, M.; Virovac, L.; Poleske, T.; Balle, F.; Müller, C.; Mozaffari-Jovein, H. Microstructure and corrosion resistance of novel β-type titanium alloys manufactured by selective laser melting. J. Mater. Res. Technol. 2022, 19, 4598–4612. [Google Scholar] [CrossRef]
- Sharma, A.; Oh, M.C.; Kim, J.-T.; Srivastava, A.K.; Ahn, B. Investigation of electrochemical corrosion behavior of additive manufactured Ti–6Al–4V alloy for medical implants in different electrolytes. J. Alloys Compd. 2020, 830, 154620. [Google Scholar] [CrossRef]
- Zhao, Y.; Wu, C.; Zhou, S.; Yang, J.; Li, W.; Zhang, L.-C. Selective laser melting of Ti-TiN composites: Formation mechanism and corrosion behaviour in H2SO4/HCl mixed solution. J. Alloys Compd. 2021, 863, 158721. [Google Scholar] [CrossRef]
- Ju, J.; Li, J.-J.; Jiang, M.; Li, M.-Y.; Yang, L.-X.; Wang, K.-M.; Yang, C.; Kang, M.-D.; Wang, J. Microstructure and electrochemical corrosion behavior of selective laser melted Ti−6Al−4V alloy in simulated artificial saliva. Trans. Nonferrous Met. Soc. China 2021, 31, 167–177. [Google Scholar] [CrossRef]
- Williams, J.C.; Starke, E.A. Progress in structural materials for aerospace systems11The Golden Jubilee Issue—Selected topics in Materials Science and Engineering: Past, Present and Future, edited by Suresh, S. Acta Mater. 2003, 51, 5775–5799. [Google Scholar] [CrossRef]
- Tisza, M.; Czinege, I. Comparative study of the application of steels and aluminium in lightweight production of automotive parts. Int. J. Light. Mater. Manuf. 2018, 1, 229–238. [Google Scholar] [CrossRef]
- Mutua, J.; Nakata, S.; Onda, T.; Chen, Z.-C. Optimization of selective laser melting parameters and influence of post heat treatment on microstructure and mechanical properties of maraging steel. Mater. Des. 2018, 139, 486–497. [Google Scholar] [CrossRef]
- Bajaj, P.; Hariharan, A.; Kini, A.; Kürnsteiner, P.; Raabe, D.; Jägle, E.A. Steels in additive manufacturing: A review of their microstructure and properties. Mater. Sci. Eng. A 2020, 772, 138633. [Google Scholar] [CrossRef]
- Mao, S.; Zhang, D.Z.; Ren, Z.; Fu, G.; Ma, X. Effects of process parameters on interfacial characterization and mechanical properties of 316 L/CuCrZr functionally graded material by selective laser melting. J. Alloys Compd. 2022, 899, 163256. [Google Scholar] [CrossRef]
- Pan, T.; Zhang, X.; Flood, A.; Karnati, S.; Li, W.; Newkirk, J.; Liou, F. Effect of processing parameters and build orientation on microstructure and performance of AISI stainless steel 304 L made with selective laser melting under different strain rates. Mater. Sci. Eng. A 2022, 835, 142686. [Google Scholar] [CrossRef]
- Zhao, Z.; Zhang, L.; Du, W.; Bai, P.; Li, J.; Zhang, W.; Yuan, X. Microstructure and Properties of Porous 17-4PH Stainless Steel Prepared by Selective Laser Melting. Trans. Indian Inst. Met. 2022, 75, 1641–1648. [Google Scholar] [CrossRef]
- Campanelli, S.L.; Santoro, L.; Lamberti, L.; Caiazzo, F.; Alfieri, V. Nonlinear analysis of compressive behavior of 17-4PH steel structures with large spherical pores built by selective laser melting. J. Mater. Sci. 2022, 57, 3777–3806. [Google Scholar] [CrossRef]
- Eskandari, H.; Lashgari, H.; Ye, L.; Eizadjou, M.; Wang, H. Microstructural characterization and mechanical properties of additively manufactured 17–4PH stainless steel. Mater. Today Commun. 2021, 30, 103075. [Google Scholar] [CrossRef]
- Dutt, A.K.; Bansal, G.K.; Tripathy, S.; Krishna, K.G.; Srivastava, V.C.; Chowdhury, S.G. Optimization of Selective Laser Melting (SLM) Additive Manufacturing Process Parameters of 316 L Austenitic Stainless Steel. Trans. Indian Inst. Met. 2022, 76, 335–345. [Google Scholar] [CrossRef]
- Modaresialam, M.; Roozbahani, H.; Alizadeh, M.; Salminen, A.; Handroos, H. In-Situ Monitoring and Defect Detection of Selective Laser Melting Process and Impact of Process Parameters on the Quality of Fabricated SS 316 L. IEEE Access 2022, 10, 46100–46113. [Google Scholar] [CrossRef]
- Wang, F.Z.; Zhang, C.H.; Cui, X.; Zhou, F.Q.; Zhang, S.; Chen, H.T.; Chen, J. Effect of Energy Density on the Defects, Microstructure, and Mechanical Properties of Selective-Laser-Melted 24CrNiMo Low-Alloy Steel. J. Mater. Eng. Perform. 2022, 31, 3520–3534. [Google Scholar] [CrossRef]
- Sufiiarov, V.; Erutin, D.; Kantyukov, A.; Borisov, E.; Popovich, A.; Nazarov, D. Structure, Mechanical and Magnetic Properties of Selective Laser Melted Fe-Si-B Alloy. Materials 2022, 15, 4121. [Google Scholar] [CrossRef]
- Mao, Z.; Lu, X.; Yang, H.; Niu, X.; Zhang, L.; Xie, X. Processing optimization, microstructure, mechanical properties and nanoprecipitation behavior of 18Ni300 maraging steel in selective laser melting. Mater. Sci. Eng. A 2021, 830, 142334. [Google Scholar] [CrossRef]
- Kučerová, L.; Jeníček, Š.; Zetková, I.; Burdová, K. Heat treatment of bimetals produced by selective laser melting of MS1 maraging steel on conventionally produced 42SiCr martensitic steel. Arch. Civ. Mech. Eng. 2022, 22, 152. [Google Scholar] [CrossRef]
- Cruces, A.; Exposito, A.; Branco, R.; Borrego, L.; Antunes, F.; Lopez-Crespo, P. Study of the notch fatigue behaviour under biaxial conditions of maraging steel produced by selective laser melting. Theor. Appl. Fract. Mech. 2022, 121, 103469. [Google Scholar] [CrossRef]
- Bučelis, K.; Škamat, J.; Černašejus, O. Surface laser processing of maraging steel parts manufactured by selective laser melting: Effect on pass geometry and hardness. IOP Conf. Series Mater. Sci. Eng. 2022, 1239, 012009. [Google Scholar] [CrossRef]
- Lei, F.; Wen, T.; Yang, F.; Wang, J.; Fu, J.; Yang, H.; Wang, J.; Ruan, J.; Ji, S. Microstructures and Mechanical Properties of H13 Tool Steel Fabricated by Selective Laser Melting. Materials 2022, 15, 2686. [Google Scholar] [CrossRef] [PubMed]
- Ferreira, D.F.; Vieira, J.S.; Rodrigues, S.; Miranda, G.; Oliveira, F.J.; Oliveira, J.M. Dry sliding wear and mechanical behaviour of selective laser melting processed 18Ni300 and H13 steels for moulds. Wear 2022, 488–489, 204179. [Google Scholar] [CrossRef]
- Leo, P.; D’ostuni, S.; Perulli, P.; Sastre, M.A.C.; Fernández-Abia, A.I.; Barreiro, J. Analysis of microstructure and defects in 17-4 PH stainless steel sample manufactured by Selective Laser Melting. Procedia Manuf. 2019, 41, 66–73. [Google Scholar] [CrossRef]
- Tekkaya, A.; Allwood, J.; Bariani, P.; Bruschi, S.; Cao, J.; Gramlich, S.; Groche, P.; Hirt, G.; Ishikawa, T.; Löbbe, C.; et al. Metal forming beyond shaping: Predicting and setting product properties. CIRP Ann. 2015, 64, 629–653. [Google Scholar] [CrossRef]
- Hu, Z.; Chen, F.; Xu, J.; Ma, Z.; Guo, H.; Chen, C.; Nian, Q.; Wang, X.; Zhang, M. Fabricating graphene-titanium composites by laser sintering PVA bonding graphene titanium coating: Microstructure and mechanical properties. Compos. Part B Eng. 2018, 134, 133–140. [Google Scholar] [CrossRef]
- Leo, P.; Cabibbo, M.; Del Prete, A.; Giganto, S.; Martínez-Pellitero, S.; Barreiro, J. Laser Defocusing Effect on the Microstructure and Defects of 17-4PH Parts Additively Manufactured by SLM at a Low Energy Input. Metals 2021, 11, 588. [Google Scholar] [CrossRef]
- Hemmati, I.; Ocelík, V.; De Hosson, J.T.M. Microstructural characterization of AISI 431 martensitic stainless steel laser-deposited coatings. J. Mater. Sci. 2011, 46, 3405–3414. [Google Scholar] [CrossRef]
- Nagay, B.E.; Cordeiro, J.M.; Barão, V.A.R. Alloy Materials for Biomedical Applications. Alloy Mater. Their Allied Appl. 2020, 159–189. [Google Scholar] [CrossRef]
- Papula, S.; Song, M.; Pateras, A.; Chen, X.-B.; Brandt, M.; Easton, M.; Yagodzinskyy, Y.; Virkkunen, I.; Hänninen, H. Selective Laser Melting of Duplex Stainless Steel 2205: Effect of Post-Processing Heat Treatment on Microstructure, Mechanical Properties, and Corrosion Resistance. Materials 2019, 12, 2468. [Google Scholar] [CrossRef]
- Maurya, A.K.; Pandey, C.; Chhibber, R. Dissimilar welding of duplex stainless steel with Ni alloys: A review. Int. J. Press. Vessel. Pip. 2021, 192, 104439. [Google Scholar] [CrossRef]
- Sarkar, S.; Mukherjee, S.; Kumar, C.S.; Nath, A.K. Effects of heat treatment on microstructure, mechanical and corrosion properties of 15-5 PH stainless steel parts built by selective laser melting process. J. Manuf. Process. 2020, 50, 279–294. [Google Scholar] [CrossRef]
- Wang, C.-J.; Liu, C.; Zhang, M.-X.; Jiang, L.; Liu, Y.; Liu, Z.-B.; Liang, J.-X. Effect of Yttrium on the Microstructure and Mechanical Properties of PH13-8Mo Stainless Steels Produced by Selective Laser Melting. Materials 2022, 15, 5441. [Google Scholar] [CrossRef]
- Sripada, J.; Tian, Y.; Chadha, K.; Saha, G.; Jahazi, M.; Spray, J.; Aranas, C. Effect of hot isostatic pressing on microstructural and micromechanical properties of additively manufactured 17–4PH steel. Mater. Charact. 2022, 192, 112174. [Google Scholar] [CrossRef]
- Zhang, H.; Li, C.; Xu, M.; Dai, W.; Kumar, P.; Liu, Z.; Li, Z.; Zhang, Y. The fatigue performance evaluation of additively manufactured 304 L austenitic stainless steels. Mater. Sci. Eng. A 2020, 802, 140640. [Google Scholar] [CrossRef]
- Zhai, W.; Zhou, W.; Zhu, Z.; Nai, S.M.L.; Mui, S.; Nai, L. Selective Laser Melting of 304 L and 316 L Stainless Steels: A Comparative Study of Microstructures and Mechanical Properties. Steel Res. Int. 2022, 93, 2100664. [Google Scholar] [CrossRef]
- Ozsoy, A.; Aydogan, E.; Dericioglu, A.F. Selective laser melting of Nano-TiN reinforced 17-4 PH stainless steel: Densification, microstructure and mechanical properties. Mater. Sci. Eng. A 2022, 836, 142574. [Google Scholar] [CrossRef]
- Lecis, N.; Beltrami, R.; Mariani, M. Binder jetting 3D printing of 316 stainless. steel: Influence of process parameters on microstructural and mechanical properties. La Metall. Ital. 2021, 113, 31–41. [Google Scholar]
- Lv, B.; Wang, F.; Niu, X.; Zhang, L.; Wu, X.; Lai, Y.; Hong, B.; Cao, S. In-situ formed graded microstructure and mechanical property of selective laser melted 15–5 PH stainless steel. Mater. Sci. Eng. A 2022, 847, 143340. [Google Scholar] [CrossRef]
- Zeng, F.; Yang, Y.; Qian, G. Fatigue properties and S-N curve estimating of 316 L stainless steel prepared by SLM. Int. J. Fatigue 2022, 162, 106946. [Google Scholar] [CrossRef]
- Zhou, B.; Xu, P.; Li, W.; Liang, Y.; Liang, Y. Microstructure and Anisotropy of the Mechanical Properties of 316 L Stainless Steel Fabricated by Selective Laser Melting. Metals 2021, 11, 775. [Google Scholar] [CrossRef]
- Garcia-Cabezon, C.; Castro-Sastre, M.A.; Fernandez-Abia, A.I.; Rodriguez-Mendez, M.L.; Martin-Pedrosa, F. Microstructure–Hardness–Corrosion Performance of 17–4 Precipitation Hardening Stainless Steels Processed by Selective Laser Melting in Comparison with Commercial Alloy. Met. Mater. Int. 2022, 28, 2652–2667. [Google Scholar] [CrossRef]
- Tan, Q.; Yin, Y.; Wang, F.; Chang, H.; Liu, S.; Liang, G.; Wu, T.; Zhang, M.-X. Rationalization of brittleness and anisotropic mechanical properties of H13 steel fabricated by selective laser melting. Scr. Mater. 2022, 214, 114645. [Google Scholar] [CrossRef]
- Bai, Y.; Zhao, C.; Zhang, Y.; Wang, H. Microstructure and mechanical properties of additively manufactured multi-material component with maraging steel on CrMn steel. Mater. Sci. Eng. A 2020, 802, 140630. [Google Scholar] [CrossRef]
- Boes, J.; Röttger, A.; Mutke, C.; Escher, C.; Theisen, W. Microstructure and mechanical properties of X65MoCrWV3-2 cold-work tool steel produced by selective laser melting. Addit. Manuf. 2018, 23, 170–180. [Google Scholar] [CrossRef]
- Geenen, K.; Röttger, A.; Feld, F.; Theisen, W. Microstructure, mechanical, and tribological properties of M3:2 high-speed steel processed by selective laser melting, hot-isostatic pressing, and casting. Addit. Manuf. 2019, 28, 585–599. [Google Scholar] [CrossRef]
- An, W.; Park, J.; Lee, J.; Choe, J.; Jung, I.D.; Yu, J.-H.; Kim, S.; Sung, H. Correlation between Microstructure and Mechanical Properties of the Additive Manufactured H13 Tool Steel. Korean J. Mater. Res. 2018, 28, 663–670. [Google Scholar] [CrossRef]
- Zhang, Y.; Song, B.; Ming, J.; Yan, Q.; Wang, M.; Cai, C.; Zhang, C.; Shi, Y. Corrosion mechanism of amorphous alloy strengthened stainless steel composite fabricated by selective laser melting. Corros. Sci. 2020, 163, 108241. [Google Scholar] [CrossRef]
- Alnajjar, M.; Christien, F.; Barnier, V.; Bosch, C.; Wolski, K.; Fortes, A.D.; Telling, M. Influence of microstructure and manganese sulfides on corrosion resistance of selective laser melted 17-4 PH stainless steel in acidic chloride medium. Corros. Sci. 2020, 168, 108585. [Google Scholar] [CrossRef]
- Laleh, M.; Hughes, A.E.; Yang, S.; Li, J.; Xu, W.; Gibson, I.; Tan, M.Y. Two and three-dimensional characterisation of localised corrosion affected by lack-of-fusion pores in 316 L stainless steel produced by selective laser melting. Corros. Sci. 2020, 165, 108394. [Google Scholar] [CrossRef]
- Li, N.; Zhang, W.; Xu, H.; Cai, Y.; Yan, X. Corrosion Behavior and Mechanical Properties of 30CrMnSiA High-Strength Steel under an Indoor Accelerated Harsh Marine Atmospheric Environment. Materials 2022, 15, 629. [Google Scholar] [CrossRef] [PubMed]
- Zhou, C.; Hu, S.; Shi, Q.; Tao, H.; Song, Y.; Zheng, J.; Xu, P.; Zhang, L. Improvement of corrosion resistance of SS316L manufactured by selective laser melting through subcritical annealing. Corros. Sci. 2020, 164, 108353. [Google Scholar] [CrossRef]
- Loh, L.-E.; Chua, C.-K.; Yeong, W.-Y.; Song, J.; Mapar, M.; Sing, S.-L.; Liu, Z.-H.; Zhang, D.-Q. Numerical investigation and an effective modelling on the Selective Laser Melting (SLM) process with aluminium alloy 6061. Int. J. Heat Mass Transf. 2015, 80, 288–300. [Google Scholar] [CrossRef]
- Illies, O.; Li, G.; Jürgens, J.-P.; Ploshikhin, V.; Herzog, D.; Emmelmann, C. Numerical modelling and experimental validation of thermal history of titanium alloys in laser beam melting. Procedia CIRP 2018, 74, 92–96. [Google Scholar] [CrossRef]
- Khan, K.; De, A. Modelling of selective laser melting process with adaptive remeshing. Sci. Technol. Weld. Join. 2019, 24, 391–400. [Google Scholar] [CrossRef]
- Favoretto, B.; de Hillerin, C.; Bettinotti, O.; Oancea, V.; Barbarulo, A. Reduced order modeling via PGD for highly transient thermal evolutions in additive manufacturing. Comput. Methods Appl. Mech. Eng. 2019, 349, 405–430. [Google Scholar] [CrossRef]
- Alexopoulou, V.E.; Papazoglou, E.L.; Karmiris-Obratański, P.; Markopoulos, A.P. 3D finite element modeling of selective laser melting for conduction, transition and keyhole modes. J. Manuf. Process. 2022, 75, 877–894. [Google Scholar] [CrossRef]
- Sani, I.; Auricchio, F. Selective Laser Melting Process Simulation: Advancements towards a Cost-Effective Model. PhD. Thesis, Istituto Universitario di Studi Superiori di Pavia, Pavia, Italy, 2017. Available online: https://compmech.unipv.it/wp-content/uploads/2020/10/sani_phd.pdf (accessed on 28 July 2024).
- Frostevarg, J.; Volpp, J.; Thompson, C.; Prasad, H.S.; Fedina, T.; Brückner, F. Influence of the vapour channel on processing in laser powder bed fusion. Procedia Manuf. 2019, 36, 80–87. [Google Scholar] [CrossRef]
- Ganeriwala, R.; Zohdi, T.I. Multiphysics modeling and simulation of selective laser sintering manufacturing processes. Procedia CIRP 2014, 14, 299–304. [Google Scholar] [CrossRef]
- Soylemez, E.; Koç, E.; Coşkun, M. Thermo-mechanical simulations of selective laser melting for AlSi10Mg alloy to predict the part-scale deformations. Prog. Addit. Manuf. 2019, 4, 465–478. [Google Scholar] [CrossRef]
- Yin, J.; Zhu, H.; Ke, L.; Lei, W.; Dai, C.; Zuo, D. Simulation of temperature distribution in single metallic powder layer for laser micro-sintering. Comput. Mater. Sci. 2012, 53, 333–339. [Google Scholar] [CrossRef]
- Ghnatios, C.; El Rai, K.; Hascoet, N.; Pires, P.-A.; Duval, J.-L.; Lambarri, J.; Hascoet, J.-Y.; Chinesta, F. Reduced order modeling of selective laser melting: From calibration to parametric part distortion. Int. J. Mater. Form. 2021, 14, 973–986. [Google Scholar] [CrossRef]
- GuoMing, H.; Jian, Z.; JianQang, L. Dynamic simulation of the temperature field of stainless steel laser welding. Mater. Des. 2007, 28, 240–245. [Google Scholar] [CrossRef]
- Rajan, A.N.R.; Krochmal, M.; Wegener, T.; Biswas, A.; Hartmaier, A.; Niendorf, T.; Moeini, G. Micromechanical Modeling of AlSi10Mg Processed by Laser-Based Additive Manufacturing: From as-Built to Heat-Treated Microstructures. Materials 2022, 15, 5562. [Google Scholar] [CrossRef] [PubMed]
- Sun, S.; Zheng, L.; Liu, Y.; Liu, J.; Zhang, H. Selective laser melting of Al-Fe-V-Si heat-resistant aluminum alloy powder: Modeling and experiments. Int. J. Adv. Manuf. Technol. 2015, 80, 1787–1797. [Google Scholar] [CrossRef]
- Song, B.; Dong, S.; Liao, H.; Coddet, C. Process parameter selection for selective laser melting of Ti6Al4V based on temperature distribution simulation and experimental sintering. Int. J. Adv. Manuf. Technol. 2012, 61, 967–974. [Google Scholar] [CrossRef]
- Deng, C.; Zhang, Y.P.; Gao, J.C. Numerical simulation of temperature field for bioceramic coating cladded by laser. J. Mater. Sci. Eng. 2003, 21, 503–506. [Google Scholar]
- Markl, M.; Körner, C. Multiscale Modeling of Powder Bed–Based Additive Manufacturing. Annu. Rev. Mater. Res. 2016, 46, 93–123. [Google Scholar] [CrossRef]
- Li, C.-J.; Tsai, T.-W.; Tseng, C.-C. Numerical simulation for heat and mass transfer during selective laser melting of titanium alloys powder. Phys. Procedia 2016, 83, 1444–1449. [Google Scholar] [CrossRef]
- Panwisawas, C.; Qiu, C.; Anderson, M.J.; Sovani, Y.; Turner, R.P.; Attallah, M.M.; Brooks, J.W.; Basoalto, H.C. Mesoscale modelling of selective laser melting: Thermal fluid dynamics and microstructural evolution. Comput. Mater. Sci. 2017, 126, 479–490. [Google Scholar] [CrossRef]
- Yang, J.; Yu, H.; Yang, H.; Li, F.; Wang, Z.; Zeng, X. Prediction of Microstructure in Selective Laser Melted Ti 6Al 4V Alloy by Cellular Automaton. J. Alloys Compd. 2018, 748, 281–290. [Google Scholar] [CrossRef]
- Rappaz, M. Modelling of microstructure formation in solidification processes. Int. Mater. Rev. 1989, 34, 93–124. [Google Scholar] [CrossRef]
- Dezfoli, A.R.A.; Hwang, W.-S.; Huang, W.-C.; Tsai, T.-W. Determination and controlling of grain structure of metals after laser incidence: Theoretical approach. Sci. Rep. 2017, 7, 41527. [Google Scholar] [CrossRef]
- Ping, W.S.; Rong, L.D.; Jie, G.J.; Yun, L.C.; Qing, S.Y.; Zhi, F.H. Numerical simulation of microstructure evolution of Ti-6Al-4V alloy in vertical centrifugal casting. Mater. Sci. Eng. A 2006, 426, 240–249. [Google Scholar] [CrossRef]
- Vrancken, B.; Thijs, L.; Kruth, J.-P.; Van Humbeeck, J. Microstructure and mechanical properties of a novel β titanium metallic composite by selective laser melting. Acta Mater. 2014, 68, 150–158. [Google Scholar] [CrossRef]
- Simonelli, M.; Tse, Y.Y.; Tuck, C. On the Texture Formation of Selective Laser Melted Ti-6Al-4V. Met. Mater. Trans. A 2014, 45, 2863–2872. [Google Scholar] [CrossRef]
- Ahmad, B.; van der Veen, S.O.; Fitzpatrick, M.E.; Guo, H. Residual stress evaluation in selective-laser-melting additively manufactured titanium (Ti-6Al-4V) and inconel 718 using the contour method and numerical simulation. Addit. Manuf. 2018, 22, 571–582. [Google Scholar] [CrossRef]
- Shu, Y.; Galles, D.; Tertuliano, O.A.; McWilliams, B.A.; Yang, N.; Cai, W.; Lew, A.J. A critical look at the prediction of the temperature field around a laser-induced melt pool on metallic substrates. Sci. Rep. 2021, 11, 12224. [Google Scholar] [CrossRef]
- Ansari, P.; Rehman, A.U.; Pitir, F.; Veziroglu, S.; Mishra, Y.K.; Aktas, O.C.; Salamci, M.U. Selective Laser Melting of 316 L Austenitic Stainless Steel: Detailed Process Understanding Using Multiphysics Simulation and Experimentation. Metals 2021, 11, 1076. [Google Scholar] [CrossRef]
- Zhang, Z.; Huang, Y.; Kasinathan, A.R.; Shahabad, S.I.; Ali, U.; Mahmoodkhani, Y.; Toyserkani, E. 3-Dimensional heat transfer modeling for laser powder-bed fusion additive manufacturing with volumetric heat sources based on varied thermal conductivity and absorptivity. Opt. Laser Technol. 2019, 109, 297–312. [Google Scholar] [CrossRef]
- Liu, S.; Zhu, H.; Peng, G.; Yin, J.; Zeng, X. Microstructure prediction of selective laser melting AlSi10Mg using finite element analysis. Mater. Des. 2018, 142, 319–328. [Google Scholar] [CrossRef]






























Disclaimer/Publisher’s Note: The statements, opinions and data contained in all publications are solely those of the individual author(s) and contributor(s) and not of MDPI and/or the editor(s). MDPI and/or the editor(s) disclaim responsibility for any injury to people or property resulting from any ideas, methods, instructions or products referred to in the content. |
© 2024 by the authors. Licensee MDPI, Basel, Switzerland. This article is an open access article distributed under the terms and conditions of the Creative Commons Attribution (CC BY) license (https://creativecommons.org/licenses/by/4.0/).
Share and Cite
Soni, N.; Renna, G.; Leo, P. Advancements in Metal Processing Additive Technologies: Selective Laser Melting (SLM). Metals 2024, 14, 1081. https://doi.org/10.3390/met14091081
Soni N, Renna G, Leo P. Advancements in Metal Processing Additive Technologies: Selective Laser Melting (SLM). Metals. 2024; 14(9):1081. https://doi.org/10.3390/met14091081
Chicago/Turabian StyleSoni, Neetesh, Gilda Renna, and Paola Leo. 2024. "Advancements in Metal Processing Additive Technologies: Selective Laser Melting (SLM)" Metals 14, no. 9: 1081. https://doi.org/10.3390/met14091081
APA StyleSoni, N., Renna, G., & Leo, P. (2024). Advancements in Metal Processing Additive Technologies: Selective Laser Melting (SLM). Metals, 14(9), 1081. https://doi.org/10.3390/met14091081

