Next Article in Journal
Mechanical Properties and Wear Resistance of Biodegradable ZnMgY Alloy
Next Article in Special Issue
Simulation of Localized Stress Impact on Solidification Pattern during Plasma Cladding of WC Particles in Nickel-Based Alloys by Phase-Field Method
Previous Article in Journal
Development of a Flow Rule Based on a Unified Plasticity Model for 13Cr-4Ni Low-Carbon Martensitic Stainless Steel Subject to Post-Weld Heat Treatment
Previous Article in Special Issue
Effect of Tool Speed on Microstructure Evolution and Mechanical Properties of Friction Stir Welded Joints of Al-Mg-Si Alloy with High Cu Content
 
 
Font Type:
Arial Georgia Verdana
Font Size:
Aa Aa Aa
Line Spacing:
Column Width:
Background:
Article

Study of Size Effect on Ni60Nb40 Amorphous Particles and Thin Films by Molecular Dynamic Simulations

1
College of Optical Science and Engineering, Zhejiang University, Hangzhou 310027, China
2
Key Laboratory of Spintronics Materials, Devices and Systems of Zhejiang Province, Hangzhou 311300, China
*
Author to whom correspondence should be addressed.
Metals 2024, 14(7), 835; https://doi.org/10.3390/met14070835
Submission received: 28 June 2024 / Revised: 19 July 2024 / Accepted: 19 July 2024 / Published: 22 July 2024

Abstract

Ni60Nb40 amorphous particles (APs) and amorphous thin films (ATFs) with various sizes were investigated by molecular dynamic simulations. It is revealed that sample size has effects on both Ni60Nb40 APs and ATFs composed of shell or surface and core components. Ni60Nb40 APs have an average bond length of 2.57 Å with major fivefold-symmetry atomic packing and low bond-orientation orders of Q6 and Q4 in both core and shell components. Ni atoms in Ni60Nb40 APs and ATFs prefer to segregate to the shell and surface regions, respectively. Atomic packing structure differences between various-sized Ni60Nb40 APs and ATFs affect their glass transition temperatures Tg, i.e., Tg decreases as the particle size or the film thickness decreases in Ni60Nb40 APs and ATFs, respectively. Our obtained results for Ni60Nb40 APs and ATFs clearly reveal a size effect on atomic packing and glass transition temperature in low-dimensional metallic glass systems.

1. Introduction

Due to its unique atomic packing structure with no long-range translation or orientation order, metallic glass (MG), a new class of materials, exhibits excellent properties, e.g., high strength, large elastic limit, superior wear and corrosion resistance [1,2]. Concerning the structure in MG, although considerable studies have been reported, due to the complicated interactions between elements and topological complexity in multi-components MG with more than three elements [3,4], a complete understanding of this issue is still lacking. Fortunately, the Ni-Nb binary system, which has good glass-forming ability (GFA) and can be prepared in mm-sized MG by copper mold casting, provides prototypes to investigate the correlation of the structure with the properties of MG, and relatively reliable semi-empirical embedded atom method (EAM) potentials of this binary system were recently reported [5]. Extensive works via experiments and simulations [6] have been carried out to describe the structure or to reveal the effects of various factors, e.g., the correlation between cooling rate and defect concentration [7] and composition [8]. The atomic-level structure of a representative multi-component metallic glass (MG) has been resolved. It was also found that the sample size is an important factor affecting properties of MG. For example, Ref. [9] showed that the yield strength and deformation mechanism in the metallic glass were size-dependent, and Ref. [10] suggest that the transition from brittle to ductile behavior is driven by sample size, while the extent of ductility is driven by the surface state elastic limit [11]. It was experimentally revealed by in situ transmission electron microscopy observations that small-sized Ni60Nb40 magnetron-sputtered glassy films confined by a frame exhibited a significant size effect on the elastic strain limits [12]. The mechanical behavior of nanoglass is also affected by the grain boundary thickness and the fraction of atoms at interfaces for a given average grain size [13,14]. However, few studies have been reported of the size effect on the atomic structure of MG. One possible reason for this could be that free-standing amorphous particles (APs) and amorphous thin films (ATFs) with various sizes, having the same thermal history, are very difficult, if not impossible, to experimentally fabricate. Due to the small size of the key unit in systems, nanostructured amorphous alloys have been considerably investigated. The sample size is an important factor affecting the structure and properties of amorphous alloys. However, few studies of the size effect on atomic structure and properties of amorphous alloys have been reported, especially in low-dimensional amorphous particles (APs) and amorphous thin films (ATFs), due to the fact that the experimental fabrication of APs and ATFs with various sizes and the same thermal history is very difficult, if not impossible. Concerning the complicated interactions between elements and topological complexity in multi-component amorphous alloys with more than three elements, a complete understanding of this issue is still lacking. Fortunately, the Ni-Nb binary system, which has good glass-forming ability (GFA) and can be prepared in mm-sized MG by copper mold casting, provides prototypes to investigate the correlation of the structure with the properties of amorphous alloys because its relatively reliable semi-empirical embedded atom potential method was recently developed. So far, the size effects on the atomic structure and glass transition temperature of Ni60Nb40 APs and ATFs have not been reported yet. Therefore, in this work, we studied the size effects in Ni60Nb40 APs and ATFs with various sizes and revealed the atomic packing and glass transition temperature differences in Ni60Nb40 APs and ATFs with various particle sizes or thicknesses. In this work, the size effects on the structure and property of Ni60Nb40 APs and ATFs were investigated by molecular dynamics simulations. The size effect on structure is mainly characterized by pair distribution functions, coordination number, HA index, and bond-orientation order parameters, while the size effects on glass transition temperature and segregation were also analyzed. Our obtained results for Ni60Nb40 APs and ATFs clearly reveal a size effect on atomic packing and glass transition temperature in low-dimensional amorphous systems and will trigger more experimental and theoretical studies on amorphous alloys.

2. Methods

Molecular dynamics simulations of Ni60Nb40 amorphous particles (APs) and amorphous thin films (ATFs) were performed based on the embedded atom method (EAM) potential in the canonical Ensemble (NVT) using the large-scale atomic molecular massively parallel simulator (LAMMPS) code. The initial structure of APs was constructed as follows: (1) creating a cubic zone containing 50, 100, 200, 400, 700, 1000, 4000, and 5000 atoms randomly distributed with a density of about 8.5 g/cm3. (2) Locating this cubic zone at the center of a big simulation box with the periodic boundary condition, i.e., the simulation box is 62 Å for 50–1000 atoms, and 80 Å for 4000 and 5000 atoms, to achieve a sufficient vacuum layer and negligible interaction between MGPs to mimic isolated particles. (3) The simulation box was melted and equilibrated at 2200 K for 1 ns, then quenched to 300 K with a cooling rate of 1 × 1012 K/s. The centered cubic zone turned into a spherical-like particle which almost remains during the melting and the subsequent cooling process. The time step was 1 fs, i.e., 1 × 106 configurations were generated for 1 ns and we saved 10,000 configurations at intervals of 100 for data analyses. Ni60Nb40 APs had various atom numbers of 50, 100, 200, 400, 700, 1000, 4000, and 5000 and their corresponding radii of about 5.5 Å, 7.2 Å, 9.5 Å, 11.7 Å, 13.8 Å, 15.8 Å, 25.1 Å, and 27.0 Å. These particles were then put at the center of simulation box which was under the periodic boundary condition with sizes of 62 Å for 50–1000 atoms, and 80 Å for 4000 and 5000 atoms, to achieve a sufficient vacuum layer and negligible interaction between APs. The Ni60Nb40 APs were melted and equilibrated at 2200 K for 1 ns to remove the influence of initial configurations, then quenched to 300 K with a cooling rate of 1 × 1012 K/s. Ni60Nb40 APs were equilibrated at 300 K for 1 ns and exhibited an amorphous structure as shown in Figure 1. We further analyzed atomic structures of all studied APs with various sizes, in which two components, i.e., core and shell, were divided. In order to obtain reliable structural information, all structure analyses with 2000 configurations were carried out to obtain average values. Secondly, Ni60Nb40 amorphous thin films (ATFs) with different thicknesses were obtained by cutting the bulk box with a size of 56 Å to the given thicknesses from 8.6 Å to 40 Å, and setting two vacuum layers along the thick direction to reach the free-standing condition. After relaxing the thin films for 1 ns at 2200 K, all the systems were quenched down to 300 K with a cooling rate of 1 × 1012 K/s and relaxed at 300 K for 1 ns. The initial bulk box (used for thin films) was generated in a different way for the particles. We started with a Ni single crystal containing 10,000 atoms with a simulation cell approximately 56 Å × 56 Å × 56 Å in X-, Y-, and Z-directions, respectively, and then randomly substituted the atomic percentage (40%) of Ni atoms by Nb atoms. This mixture was then held at T = 2200 K (a temperature well above the melting point of the Ni60Nb40 alloy) for 1 ns to allow for relaxation. The simulation time step was 1 fs. The purpose of this relaxation was to ensure the initial system has become a structurally homogeneous liquid. The model was then cooled to T = 300 K at a cooling rate of 1012 K/s and then relaxed for 1 ns at 300 K. Periodic boundary conditions were applied to all three dimensions. The films with different thicknesses were cut from the center part of the bulk box to avoid the composition segregation. Compositions of all thin films were found to be close to the average value of 60 at.% for Ni atoms and 40 at.% for Nb atoms in the bulk with a fluctuation less than 0.5 at.%. The thin films with thicknesses from 8.6 Å to 40 Å were relaxed for 1 ns at 300 K. For each size MGP (or MGTF) investigated, we ran MD trajectories. In order to obtain reliable structural information, all structure analyses were carried out with 2000 configurations to obtain average values.

3. Results and Discussion

3.1. Amorphous Particles

The pair distribution function g(r) is a powerful method for describing the structure of amorphous materials. For finite-sized materials, such as particles, g(r) can be obtained via:
g r = d n ( r ) d V r N V 0 = 1 S V 0 N d n ( r ) d r
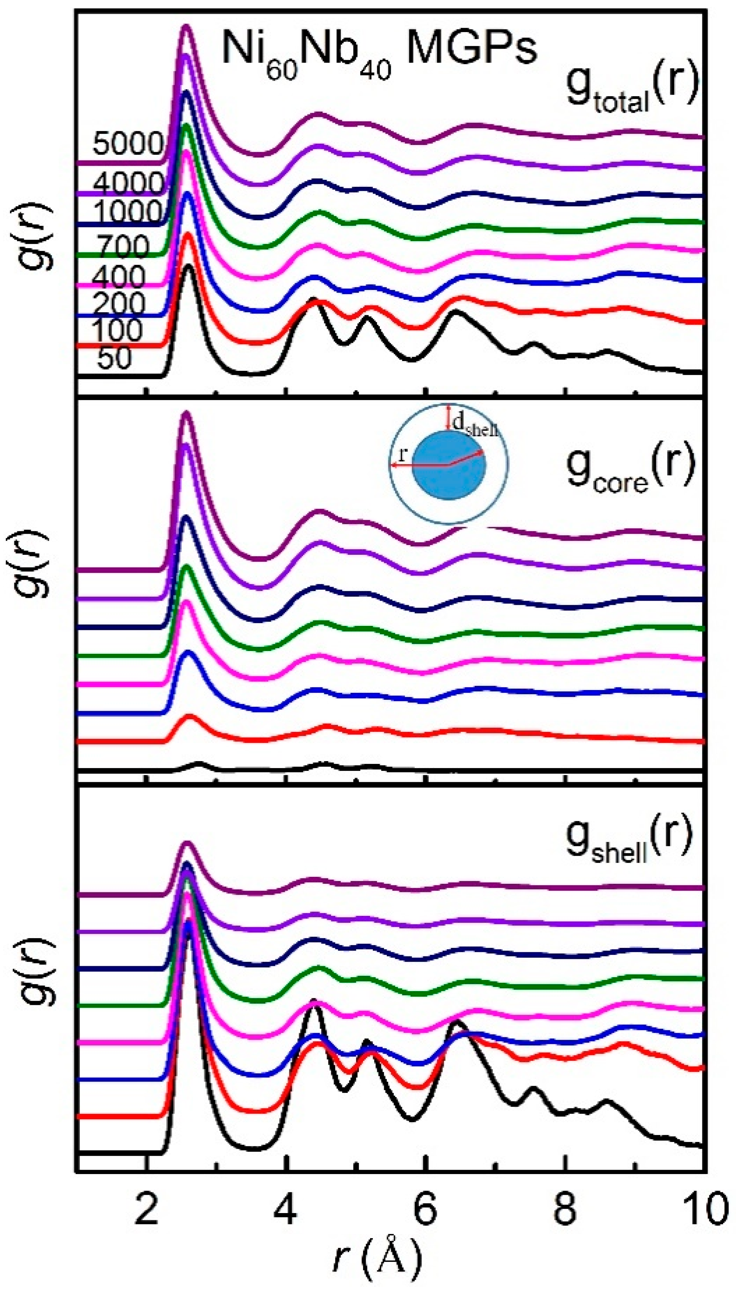
where N represents the total number of atoms, V 0 is the model volume, S is the surface area of the particle shell. Figure 2 shows g(r) for Ni60Nb40 amorphous particles (APs), i.e., metallic glassy particles (MGPs) with various sizes from 50 to 5000 atoms which are divided into two parts, core and shell, as shown in the inset picture of Figure 2. g(r) of Ni60Nb40 APs exhibits obvious the characteristic of being amorphous, e.g., the relative intensive first peak and a split of the second peak. The intensity of the first peak increases with the size in Ni60Nb40 APs. It is found that g(r) in Ni60Nb40 APs has a narrow and sharp first peak, while for the second and third peaks of g(r) in the range of 4–7 Å, Ni60Nb40 APs have a similar structure for sizes above 400 atoms, i.e., Ni60Nb40 APs with 50–400 atoms exhibit more irregular peaks as compared with APs having 700–5000 atoms. Using the core-and-shell model, the thickness of shell in Ni60Nb40 APs, determined by the minimum after the first peak in total g(r), is about 3.66 Å. It is found that the intensity of the core component increases while the shell g(r) component decreases as the AP’s size becomes larger. The first and second peak positions about 2–5.6 Å of the shell g(r) component in Ni60Nb40 APs rarely change with increasing the size while their relative intensities change significantly. When the size becomes larger than 400 atoms, the shell g(r) components of in Ni60Nb40 APs do not change much with MGP’s size, while two maximums for the second peak are located at about 4.3 Å and 5.0 Å and the third peak is located at about 6.7 Å in Ni60Nb40 APs. To search for more detailed structure information contained in g(r), we plotted the partial g(r) of Ni-Ni, Ni-Nb, and Nb-Nb pairs, shown in Figure 3. Again, in Ni60Nb40 APs, all three partial g(r) values are similar for sizes larger than 400 atoms. The first peak in three partial g(r) is similar in Ni60Nb40 APs, while the peak position of Nb-Nb bonds almost remains unchanged in the range from 50 atoms to 400 atoms. The intensities of the first peak of Ni-Ni and Ni-Nb partial g(r) slightly increase with size, while for Nb-Nb partial g(r) they remain nearly unchanged. Concerning the second neighboring atomic packing structures, several features are detected: (1) for Ni-Ni partial g(r), peaks are located at about 4.05 and 5 Å; (2) for Ni-Nb partial g(r), peaks are located at about 4.3 and 5 Å; for the third neighbor, the peak is located at about 6.4 Å for Ni-Nb partial g(r); (3) For Nb-Nb partial g(r), the peak is mainly located at about 4.5 Å. Table 1 lists all first peak positions in total and partial g(r) for Ni60Nb40 APs. It is found that the first peak position of total g(r) becomes slightly larger, from 2.56 Å to 2.59 Å, as particle size increases from 50 atoms to 5000 atoms for Ni60Nb40 APs. For partial g(r), Ni-Ni, Ni-Nb, and Nb-Nb also slightly increase as size becomes larger, i.e., Ni-Ni increases from 2.46 Å to 2.49 Å, Ni-Nb increases from 2.59 Å to 2.63 Å, and Nb-Nb increases from 2.92 Å to 2.98 Å.
Coordination number depends on the cutoff length in Ni60Nb40 APs. The first minimum in g(r) was used here as the cutoff length for the first nearest shell. The total and the partial coordination number (CN) distributions for the studied Ni60Nb40 APs are plotted in Figure 4. Three peaks located at about CN = 6, 9, 12 are found in the total CN distribution. The CN distribution depends on the size of Ni60Nb40 APs. For smaller Ni60Nb40 APs, e.g., 50, 100, and 200 atoms, the peak at CN = 6 decreases with increasing size and almost disappears for sizes larger than 200 atoms. Meanwhile, the peak of CN = 12 largely increases when the size is larger than 200 atoms. To further investigate local atomic environments in the studied Ni60Nb40 APs, CN distributions in both core and shell components were also calculated. In the core component, CN is only distributed in about 11–16, i.e., almost no atomic packing with CN less than 11 was found in the core component. CN distributions having very sharp and irregular peaks for 50- and 100-atom Ni60Nb40 APs should be linked with small atomic numbers in the core component. However, after 200 atoms, they become have a steady distribution from CN = 11–16. In the shell component for Ni60Nb40 APs, CN has three peaks located at CN = 6, 9, and 12. The intensity of the CN = 6 rapidly decreases with increasing size from 50 to 400 atoms, while the peaks of CN = 9 and 12 do not change much with size. This lower CN in the shell component for Ni60Nb40 APs can be explained by the surface effect, i.e., surface atoms do not have enough neighbor atoms as compared to core atoms in general. Considering the possibilities of different atomic packing for various atoms in Ni60Nb40 APs, Ni- and Nb-centered CN distributions are plotted in Figure 4. In the core component, CNs of Ni atoms are centered at about 12, while CNs are centered at about 15 for Nb atoms. In the shell component, CN distributions of Ni atoms are similar to the CN distributions of the total, indicating that the shell components in Ni60Nb40 APs should have a Ni-rich composition. This is indeed confirmed later. The CN distribution of Nb atoms in the 50-atom Ni60Nb40 MGP peaks at CN = 9, and shifts to a slightly high value of CN = 10–11 for larger APs.
The Honey–Anderson (HA) index [15] is introduced to investigate local structure of Ni60Nb40 APs, as shown in Figure 5. HA has four indices i, j, l, m, and is a method used to characterize the common neighbors of an atom pair. i = 1 means atom A and atom B form a bond, and otherwise i = 2. j denotes the number of common neighbors which form bonds with atom A and atom B. l represents the number of bonds formed among the neighboring atoms. m is a special index to classify the bonds arrangements. It is found that the 1551 HA indexes account for large proportions that equal more than 40% in total, which is characteristic of the fivefold-symmetry structure, implying that icosahedral-like structures are dominant in Ni60Nb40 APs. Meanwhile, the fractions of 1551, 1541, 1661, and 1441 indexes slightly increase with size, while the 1431 and 1321 indexes have the opposite trend of decreasing as size increases from 50 to 5000 atoms. In the core component of Ni60Nb40 APs, HA indexes do not depend on size. The 1551 index has a fraction of more than 50%, and the second, third, fourth and fifth highest indexes are 1661, about 20%; 1541, about 10%; 1441, about 8%; and 1431, about 6%, respectively. In the shell component of Ni60Nb40 APs, 1321 and 1431 indexes have obvious high fractions, while they are tiny in the core component, although the 1551 index is still the dominant local atomic packing. Bond-orientation order (BOO) parameters, e.g., Q6 and Q4, are often used to measure atomic cluster symmetries in disordered systems [16,17,18,19]. The averaged parameters (BOO) are sensitive to different bond-orientational symmetries, so they can be used to differentiate the local atomic environments. The complex vector ( q l ) can be defined as q l m i = 1 N b ( i ) j = 1 N b ( i ) Y l m ( r i j ^ ) , where l represents the free integer parameter, m is an integer that runs from −l to l, Y l m are the spherical harmonics, r i j is the vector from atom i to atom j, and the sum goes over all neighboring atoms N b ( i ) , the number of atom i. One can average the spatially local bond order parameters, Q4 and Q6, according to the following equation:
Q l i = 4 π / ( 2 l + 1 ) | q l m ^
Figure 6 depicts Q6 and Q4 values for Ni60Nb40 APs with various sizes. It is found that Q6 and Q4 values in the shell component are larger than those in the core component in this system. In total particles, both parameters have values of the averages in both shell and core components. These results indicate more ordering in the shell component than in the core component. This might be linked with composition segregation in the shell component. Figure 7 depicts cluster size-dependent Ni contents in the shell component in Ni60Nb40 APs, in which the thickness of the shell determined by the minimum after the first peak in total g(r) is about 3.66 Å in Ni60Nb40 APs. The Ni composition in the shell is larger than 60 at.% and increases from 64 at.% for 50-atom APs to 73 at.% in 5000-atom APs, suggesting a segregation of Ni atoms in shell components in larger clusters, which are roughly correlated with Q6 and Q4 values. Q6 and Q4 values in the shell component of Cu64Zr36 APs illustrated in Ref [20] are even larger than those in Ni60Nb40 APs, i.e., atomic packing in the shell component of Cu64Zr36 APs, roughly speaking, has a slightly higher order than that in Ni60Nb40 APs. These results are closely linked with a larger degree of composition segregation in the shell component of Cu64Zr36 APs [20].
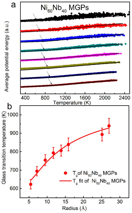
All the above-mentioned results clearly reveal that particle size indeed affects the atomic structure of Ni60Nb40 APs. The properties of amorphous materials are always closely related with their structures, which motivated us to compare the size effect on properties of such APs. Hence, we further studied the size dependence of the glass transition temperature, Tg, which is closely related to the atomic structure in disordered systems. The glass transition temperature of Ni60Nb40 APs with various sizes was estimated by the intersection of potential energy of low and high temperatures, as plotted in Figure 8a. It is found that Tg increases as the size of the particle increases in Ni60Nb40 APs, i.e., the sample size indeed influences the glass transition temperature of Ni60Nb40 APs. Tg of all the studied Ni60Nb40 APs can be well fitted with a simple equation of Tg = fshellTgshell + fcTgc, where fshell and fc, and Tgshell and Tgc, represent the fractions and glass transition temperatures of the shell and core components, respectively. The shell thicknesses were determined by the minimum after the first peak in total g(r) curves of Ni60Nb40 APs. Figure 8b shows the fitting curves with a fitting parameter of Tgshell = 630 K and Tgc = 1090 K for Ni60Nb40 APs. The glass transition temperature, Tg, for the shell component is much lower than that for the core component in Ni60Nb40 APs, which could be caused by the fast dynamic motion of the shell component.

3.2. Amorphous Thin Films

Besides the APs discussed above, we also explored size effects on atomic structure and glass transition temperature for Ni60Nb40 amorphous thin films (ATFs) i.e., metallic glassy thin films (MGTFs). The structure configuration images from the simulations for the thin films of different thicknesses are shown in Figure 9. Figure 10 shows pair distribution function g(r) curves of Ni60Nb40 ATFs at 300 K with different thicknesses from 8.6 Å to 40 Å. The sharp first peak and the split second peak in g(r) curves of films demonstrate that all studied thin films are fully amorphous. Ni60Nb40 ATFs have sharp and narrow first peaks in g(r). For the second peak within 4 to 6 Å, the relative intensity of the shoulder peak for Ni60Nb40 ATFs becomes weak, indicating that the medium range order might be low in Ni60Nb40 ATFs. Similar to Ni60Nb40 APs, Ni60Nb40 ATFs can also be composed of two regions, i.e., the core region and surface layer region. Figure 11 demonstrates the composition variations along the film thicknesses in Ni60Nb40 ATFs with a thickness of 40 Å. The element segregation again appears in the surface layer of the Ni60Nb40 MGTFs, which is also observed in Ni60Nb40 ATFs with other thicknesses. The fraction of Ni atoms is found to be increased in the surface region, where Ni content is about 75~90%, higher than its nominal content of 60%. In contrast, the compositions in the core regions are close to their nominal values in Ni60Nb40 ATFs.
Furthermore, the coordination number, HA index, and BOO parameters for Ni60Nb40 ATFs were also studied. As plotted in Figure 12, CN distribution depends on the thickness of Ni60Nb40 ATFs and two peaks located at about CN = 9, 12 were found in the total CN distribution. For thinner ATFs, e.g., 8.6 Å, 10.7 Å, and 13.1 Å, the peak at CN = 9 decreases with increasing thickness and the peak of CN = 12 increases when the thickness is larger than 15.4 Å. CN distributions in both core and surface components were also calculated. In the core component, CN is distributed within 11–16 and has a peak at CN = 12. In the shell component for Ni60Nb40 ATFs, CN has a peak located at CN = 9. This lower CN in the surface component can be explained by the surface effect as explained by the AP findings. Ni- and Nb-centered CN distributions are plotted in Figure 12. In the core component, CNs of Ni atoms are centered at about 12, while CNs are centered at about 14 for Nb atoms. In the surface component, CN distributions of Ni atoms are 9 and those for Nb atoms are 11. As shown in Figure 13, 1551 HA indexes account for large proportions, more than 40% in total, implying that icosahedral-like structures are dominant in Ni60Nb40 ATFs, as in Ni60Nb40 APs in Figure 5. Meanwhile, the fractions of 1551, 1541, 1661, and 1321 indexes slightly increase with thickness, while the 1421 and 1311 indexes have the opposite trend of decreasing as thickness increases from 8.6 to 40 Å. In the core component of Ni60Nb40 ATFs, the 1551 index has a fraction of more than 45%. In the shell component of Ni60Nb40 ATFs, 1421 and 1311 indexes also have high fractions above 20%, similar to 1431 and 1321 indexes for the shell component in Ni60Nb40 APs in Figure 5. Q6 and Q4 values for Ni60Nb40 ATFs with various thickness are plotted in Figure 14. It is seen that Q6 and Q4 values in the surface component are larger than those in the core component in Ni60Nb40 ATFs, which is similar to Ni60Nb40 APs in Figure 5, indicating higher ordering in the surface component that in the core one. This phenomenon could be linked to composition segregation in the surface component, as illustrated in Figure 11.
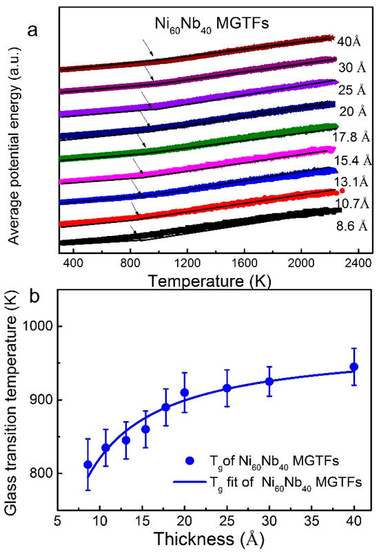
The average atomic internal energy of Ni60Nb40 ATFs with various thicknesses as a function of temperature during cooling was studied, from which the glass transition temperature Tg for ATFs was estimated by an intersection of potential energy of low and high temperatures, shown in Figure 15a. It was found again that Tg decreases substantially as the film thickness decreases in Ni60Nb40 ATFs, similar to the results observed in Ni60Nb40 APs in Figure 8a. The glass transition temperature as a function of film thickness can be well fitted with a simple equation (model II), i.e., Tg(d) = Tg(∞)(1 − C/d), as shown in Figure 15b, where Tg (∞) and C represent two fitting parameters, and d is the film thickness. The obtained Tg(∞) and C values are 975 K and 1.6 for Ni60Nb40 ATFs, respectively. In fact, Tg of all the studied Ni60Nb40 ATFs can also be fitted with the model I of Tg = fsurfaceTgsurface + fcTgc, where fsurface and fc, and Tgsurface and Tgc, represent the fractions and glass transition temperatures of the surface layer and core components, respectively. The surface thicknesses were determined by the minimum after the first peak in the total g(r) curves of Ni60Nb40 ATFs. Tgc and Tgsurface of the studied Ni60Nb40 ATFs were found to be about 978 K and 906 K, respectively, while Tgc and Tgshell of the studied Ni60Nb40 APs in Figure 8b were found to be about 1090 K and 910 K, respectively. These results reveal that the Ni60Nb40 APs and ATFs are both composed of the surface (shell) and core components, while their corresponding Tg values are slightly different, most likely resulting from different atomic packing in both components for Ni60Nb40 APs and ATFs. The different shapes of the samples, spherical particles and flat thin films, and different element segregation, could cause the different size effects on the atomic packing and Tg of Ni60Nb40 APs and ATFs.

4. Conclusions

In conclusion, Ni60Nb40 APs with 50 to 5000 atoms and Ni60Nb40 ATFs with a thickness range of 8.6–40 Å were systematically investigated by molecular dynamics simulations. The sample size effects on the atomic structure were clearly revealed in both Ni60Nb40 APs and ATFs. Ni60Nb40 APs have an average bond length of 2.57 Å and atomic packing with fivefold symmetry, i.e., HA indices of 1551 and 1541 are dominant in Ni60Nb40 APs. Ni60Nb40 ATFs have average bond length of 2.58 Å, and also have a high fraction of the 1551 index following by the 1421 index. Q6 and Q4 values in the shell (or surface) component are larger than those in the core component in both Ni60Nb40 AP and ATF systems. Ni atoms in Ni60Nb40 APs and ATFs prefer to segregate to the shell and surface regions, respectively, causing a higher concentration in the shell of APs or in the surface of ATFs. These atomic structure differences in Ni60Nb40 APs and ATFs with various sizes affect their glass transition temperatures, showing that Tg decreases as the MGP gets smaller or MGTF gets thinner. Our obtained results for Ni60Nb40 APs and ATFs clearly reveal a size effect on atomic packing and glass transition temperature in low-dimensional metallic glass systems, promoting more studies, especially experimental works, of the subject in other amorphous materials on the nanometer scale, when they will be used in application.

Author Contributions

Data curation, formal analysis, investigation and writing-original draft preparation, W.Z.; Supervision and validation, Y.M. All authors have read and agreed to the published version of the manuscript.

Funding

This research received no external funding.

Data Availability Statement

The raw data supporting the conclusions of this article will be made available by the authors on request.

Conflicts of Interest

The authors declare no conflict of interest.

References

  1. Schuh, C.A.; Hufnagel, T.C.; Ramamurty, U. Mechanical behavior of amorphous alloys. Acta Mater. 2007, 55, 4067–4109. [Google Scholar] [CrossRef]
  2. Zhou, Z.-Y.; Yang, Q.; Yu, H.-B. Toward atomic-scale understanding of structure-dynamics-properties relations for metallic glasses. Prog. Mater. Sci. 2024, 145, 101311. [Google Scholar] [CrossRef]
  3. Fu, J.; Ma, J. Nanoengineering of metallic glasses. Adv. Eng. Mater. 2023, 25, 2200659. [Google Scholar] [CrossRef]
  4. Sohrabi, S.; Fu, J.; Li, L.; Zhang, Y.; Li, X.; Sun, F.; Ma, J.; Wang, W.H. Manufacturing of metallic glass components: Processes, structures and properties. Prog. Mater. Sci. 2024, 144, 101283. [Google Scholar] [CrossRef]
  5. Zhang, Y.; Ashcraft, R.; Mendelev, M.; Wang, C.; Kelton, K.J. Experimental and molecular dynamics simulation study of structure of liquid and amorphous Ni62Nb38 alloy. J. Chem. Phys. 2016, 145, 204505. [Google Scholar] [CrossRef] [PubMed]
  6. Zhu, Y.; Wang, W.; Song, Y.; Zhang, S.; Li, H.; Wang, A.; Zhang, H.; Zhu, Z. Atomic-scale Nb heterogeneity induced icosahedral short-range ordering in metallic glasses. J. Mater. Sci. Technol. 2022, 108, 73–81. [Google Scholar] [CrossRef]
  7. Liu, Y.; Bei, H.; Liu, C.T.; George, E.P. Cooling-rate induced softening in a Zr50Cu50 bulk metallic glass. Appl. Phys. Lett. 2007, 90, 071909. [Google Scholar] [CrossRef]
  8. Cheng, Y.; Ma, E.; Sheng, H. Atomic level structure in multicomponent bulk metallic glass. Phys. Rev. Lett. 2009, 102, 245501. [Google Scholar] [CrossRef] [PubMed]
  9. Wang, X.; Jiang, F.; Hahn, H.; Li, J.; Gleiter, H.; Sun, J.; Fang, J. Sample size effects on strength and deformation mechanism of Sc75Fe25 nanoglass and metallic glass. Scr. Mater. 2016, 116, 95–99. [Google Scholar] [CrossRef]
  10. Chen, D.Z.; Jang, D.; Guan, K.M.; An, Q.; Goddard, W.A., III; Greer, J.R. Nanometallic glasses: Size reduction brings ductility, surface state drives its extent. Nano Lett. 2013, 13, 4462–4468. [Google Scholar] [CrossRef] [PubMed]
  11. Tian, L.; Cheng, Y.-Q.; Shan, Z.-W.; Li, J.; Wang, C.-C.; Han, X.-D.; Sun, J.; Ma, E. Approaching the ideal elastic limit of metallic glasses. Nat. Commun. 2012, 3, 609. [Google Scholar] [CrossRef] [PubMed]
  12. Jiang, Q.; Liu, P.; Cao, Q.; Wang, C.; Li, X.; Gao, X.; Wang, X.; Zhang, D.; Han, X.; Zhang, Z. The effect of size on the elastic strain limit in Ni60Nb40 glassy films. Acta Mater. 2013, 61, 4689–4695. [Google Scholar] [CrossRef]
  13. Adibi, S.; Branicio, P.S.; Zhang, Y.-W.; Joshi, S.P. Composition and grain size effects on the structural and mechanical properties of CuZr nanoglasses. J. Appl. Phys. 2014, 116, 043522. [Google Scholar] [CrossRef]
  14. Lee, S.-W.; Jafary-Zadeh, M.; Chen, D.Z.; Zhang, Y.-W.; Greer, J.R. Size effect suppresses brittle failure in hollow Cu60Zr40 metallic glass nanolattices deformed at cryogenic temperatures. Nano Lett. 2015, 15, 5673–5681. [Google Scholar] [CrossRef] [PubMed]
  15. Honeycutt, J.D.; Andersen, H.C. Molecular dynamics study of melting and freezing of small Lennard-Jones clusters. J. Phys. Chem. 1987, 91, 4950–4963. [Google Scholar] [CrossRef]
  16. Steinhardt, P.J.; Nelson, D.R.; Ronchetti, M. Bond-orientational order in liquids and glasses. Phys. Rev. B 1983, 28, 784. [Google Scholar] [CrossRef]
  17. Rein ten Wolde, P.; Ruiz-Montero, M.J.; Frenkel, D. Numerical calculation of the rate of crystal nucleation in a Lennard-Jones system at moderate undercooling. J. Chem. Phys. 1996, 104, 9932–9947. [Google Scholar] [CrossRef]
  18. Kawasaki, T.; Tanaka, H. Formation of a crystal nucleus from liquid. Proc. Natl. Acad. Sci. USA 2010, 107, 14036–14041. [Google Scholar] [CrossRef] [PubMed]
  19. Russo, J.; Tanaka, H. The microscopic pathway to crystallization in supercooled liquids. Sci. Rep. 2012, 2, 505. [Google Scholar] [CrossRef]
  20. Zhang, W.; Liu, J.; Lu, S.; Zhang, H.; Wang, H.; Wang, X.; Cao, Q.; Zhang, D.; Jiang, J. Size effect on atomic structure in low-dimensional Cu-Zr amorphous systems. Sci. Rep. 2017, 7, 7291. [Google Scholar] [CrossRef] [PubMed]
Figure 1. Structure configurations of 50, 100, 200, 1000, 4000, and 5000 amorphous particles, respectively.
Figure 1. Structure configurations of 50, 100, 200, 1000, 4000, and 5000 amorphous particles, respectively.
Metals 14 00835 g001
Figure 2. Pair distribution functions g(r) for Ni60Nb40 APs with various sizes of core and shell components together; illustration of the core-and-shell model in the inset.
Figure 2. Pair distribution functions g(r) for Ni60Nb40 APs with various sizes of core and shell components together; illustration of the core-and-shell model in the inset.
Metals 14 00835 g002
Figure 3. Partial pair distribution functions g(r) for Ni60Nb40 APs with various sizes.
Figure 3. Partial pair distribution functions g(r) for Ni60Nb40 APs with various sizes.
Metals 14 00835 g003
Figure 4. The coordination number distributions of the total sample, core, and shell components, and partial coordination number distributions for Ni60Nb40 APs with various sizes.
Figure 4. The coordination number distributions of the total sample, core, and shell components, and partial coordination number distributions for Ni60Nb40 APs with various sizes.
Metals 14 00835 g004
Figure 5. The HA index for total sample, core, and shell components for Ni60Nb40 APs with various sizes.
Figure 5. The HA index for total sample, core, and shell components for Ni60Nb40 APs with various sizes.
Metals 14 00835 g005
Figure 6. The Q6-Q4 distribution of total, core, and shell components for Ni60Nb40 APs with various sizes. Numbers of atoms are marked.
Figure 6. The Q6-Q4 distribution of total, core, and shell components for Ni60Nb40 APs with various sizes. Numbers of atoms are marked.
Metals 14 00835 g006
Figure 7. Ni contents in the shell of Ni60Nb40 APs with various sizes. The dash line represents the initial composition of APs.
Figure 7. Ni contents in the shell of Ni60Nb40 APs with various sizes. The dash line represents the initial composition of APs.
Metals 14 00835 g007
Figure 8. (a) Determination of glass transition temperature Tg via an intersection of low- and high-temperature dependence of the potential energy for Ni60Nb40 APs with various sizes. (b) Fitting of glass transition temperature data for Ni60Nb40 APs with various sizes.
Figure 8. (a) Determination of glass transition temperature Tg via an intersection of low- and high-temperature dependence of the potential energy for Ni60Nb40 APs with various sizes. (b) Fitting of glass transition temperature data for Ni60Nb40 APs with various sizes.
Metals 14 00835 g008
Figure 9. Structure configurations of 8.6 Å, 10.7 Å, 13.1 Å, 15.4 Å, 17.8 Å, 20 Å, 25 Å, and 30 Å thick amorphous thin films, respectively.
Figure 9. Structure configurations of 8.6 Å, 10.7 Å, 13.1 Å, 15.4 Å, 17.8 Å, 20 Å, 25 Å, and 30 Å thick amorphous thin films, respectively.
Metals 14 00835 g009
Figure 10. Pair distribution functions g(r) for Ni60Nb40 ATFs with various thicknesses.
Figure 10. Pair distribution functions g(r) for Ni60Nb40 ATFs with various thicknesses.
Metals 14 00835 g010
Figure 11. Composition variations along the film thickness for the 40 Å thick Ni60Nb40 MGTF.
Figure 11. Composition variations along the film thickness for the 40 Å thick Ni60Nb40 MGTF.
Metals 14 00835 g011
Figure 12. The coordination number distributions of the total sample, core, and surface components, and partial coordination number distributions for Ni60Nb40 ATFs with various thickness.
Figure 12. The coordination number distributions of the total sample, core, and surface components, and partial coordination number distributions for Ni60Nb40 ATFs with various thickness.
Metals 14 00835 g012
Figure 13. The HA index for total sample, core, and surface components for Ni60Nb40 ATFs with various thickness.
Figure 13. The HA index for total sample, core, and surface components for Ni60Nb40 ATFs with various thickness.
Metals 14 00835 g013
Figure 14. The Q6-Q4 distribution of total, core, and surface components for Ni60Nb40 ATFs with various thickness. Thickness of films are marked.
Figure 14. The Q6-Q4 distribution of total, core, and surface components for Ni60Nb40 ATFs with various thickness. Thickness of films are marked.
Metals 14 00835 g014
Figure 15. (a) Determination of glass transition temperature Tg via an intersection of low- and high-temperature dependence of the potential energy for Ni60Nb40 ATFs with different thicknesses. (b) Fitting of glass transition temperature Tg for Ni60Nb40 ATFs with various thickness. The two models used give almost the same quality of fittings.
Figure 15. (a) Determination of glass transition temperature Tg via an intersection of low- and high-temperature dependence of the potential energy for Ni60Nb40 ATFs with different thicknesses. (b) Fitting of glass transition temperature Tg for Ni60Nb40 ATFs with various thickness. The two models used give almost the same quality of fittings.
Metals 14 00835 g015
Table 1. The first peak positions of total g(r) for Ni60Nb40 amorphous particles (APs) and thin films (ATFs).
Table 1. The first peak positions of total g(r) for Ni60Nb40 amorphous particles (APs) and thin films (ATFs).
Ni60Ni36 APsNi60Ni36 ATFs
Number of AtomsAverage Bond (Å) (±0.02)ThicknessAverage Bond (Å) (±0.02)
502.568.6 Å2.58
1002.5710.1 Å2.59
2002.5713.7 Å2.58
4002.5715.4 Å2.58
7002.5817.8 Å2.58
10002.5720 Å2.57
40002.5925 Å2.57
50002.5930 Å2.58
Disclaimer/Publisher’s Note: The statements, opinions and data contained in all publications are solely those of the individual author(s) and contributor(s) and not of MDPI and/or the editor(s). MDPI and/or the editor(s) disclaim responsibility for any injury to people or property resulting from any ideas, methods, instructions or products referred to in the content.

Share and Cite

MDPI and ACS Style

Zhang, W.; Ma, Y. Study of Size Effect on Ni60Nb40 Amorphous Particles and Thin Films by Molecular Dynamic Simulations. Metals 2024, 14, 835. https://doi.org/10.3390/met14070835

AMA Style

Zhang W, Ma Y. Study of Size Effect on Ni60Nb40 Amorphous Particles and Thin Films by Molecular Dynamic Simulations. Metals. 2024; 14(7):835. https://doi.org/10.3390/met14070835

Chicago/Turabian Style

Zhang, Wenbiao, and Yungui Ma. 2024. "Study of Size Effect on Ni60Nb40 Amorphous Particles and Thin Films by Molecular Dynamic Simulations" Metals 14, no. 7: 835. https://doi.org/10.3390/met14070835

APA Style

Zhang, W., & Ma, Y. (2024). Study of Size Effect on Ni60Nb40 Amorphous Particles and Thin Films by Molecular Dynamic Simulations. Metals, 14(7), 835. https://doi.org/10.3390/met14070835

Note that from the first issue of 2016, this journal uses article numbers instead of page numbers. See further details here.

Article Metrics

Back to TopTop