Development of a Flow Rule Based on a Unified Plasticity Model for 13Cr-4Ni Low-Carbon Martensitic Stainless Steel Subject to Post-Weld Heat Treatment
Abstract
1. Introduction
2. Microstructure
2.1. Microstructural Changes Occurring during the PWHT
2.2. Reformed Austenite Measurements in Tempered 13Cr-4Ni Steels
3. The Basis of the Constitutive Relation within the Unified Model
3.1. The Additivity of Strain Components
3.2. The Rule of Mixture in a Two-Phase Homogeneous Microstructure
3.3. The Unified Flow Rule
4. Equipment and Specimen Preparation
4.1. Equipment
4.2. Material and Specimen Preparation
5. Determination of the Constants for the Model
5.1. Determination of the Thermal Activation Energy for Creep
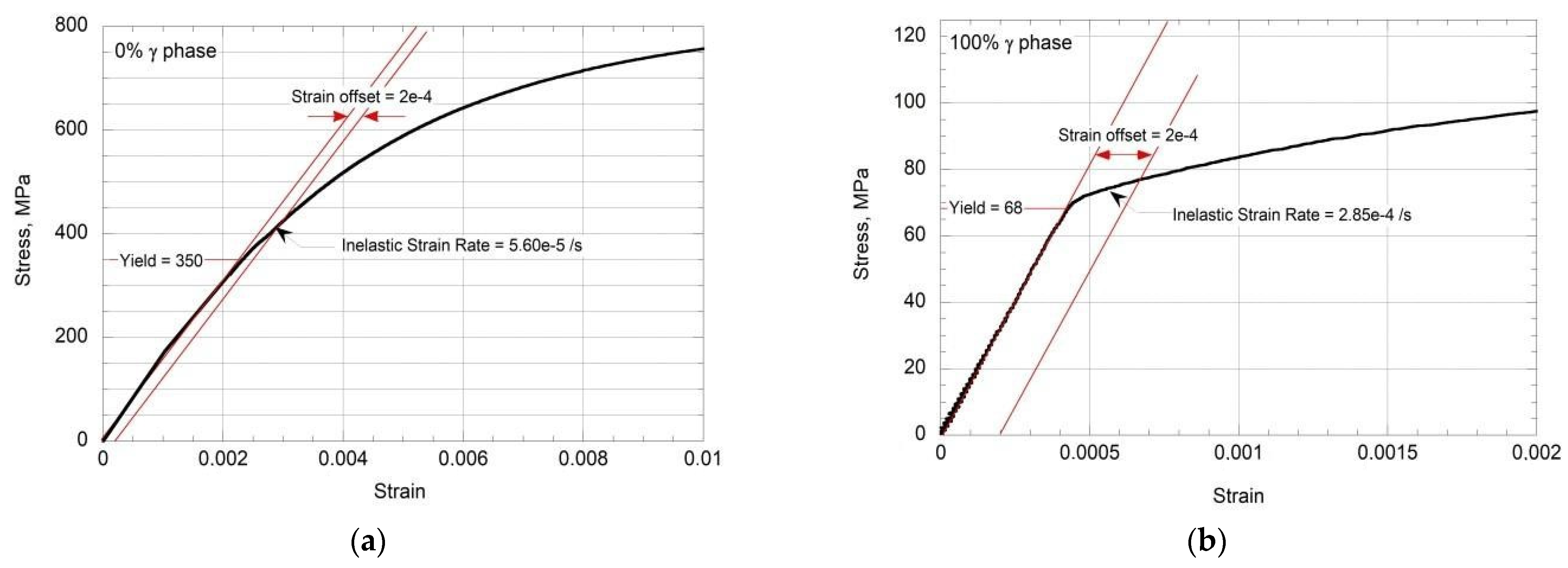
5.2. Determination of the Yield Stress
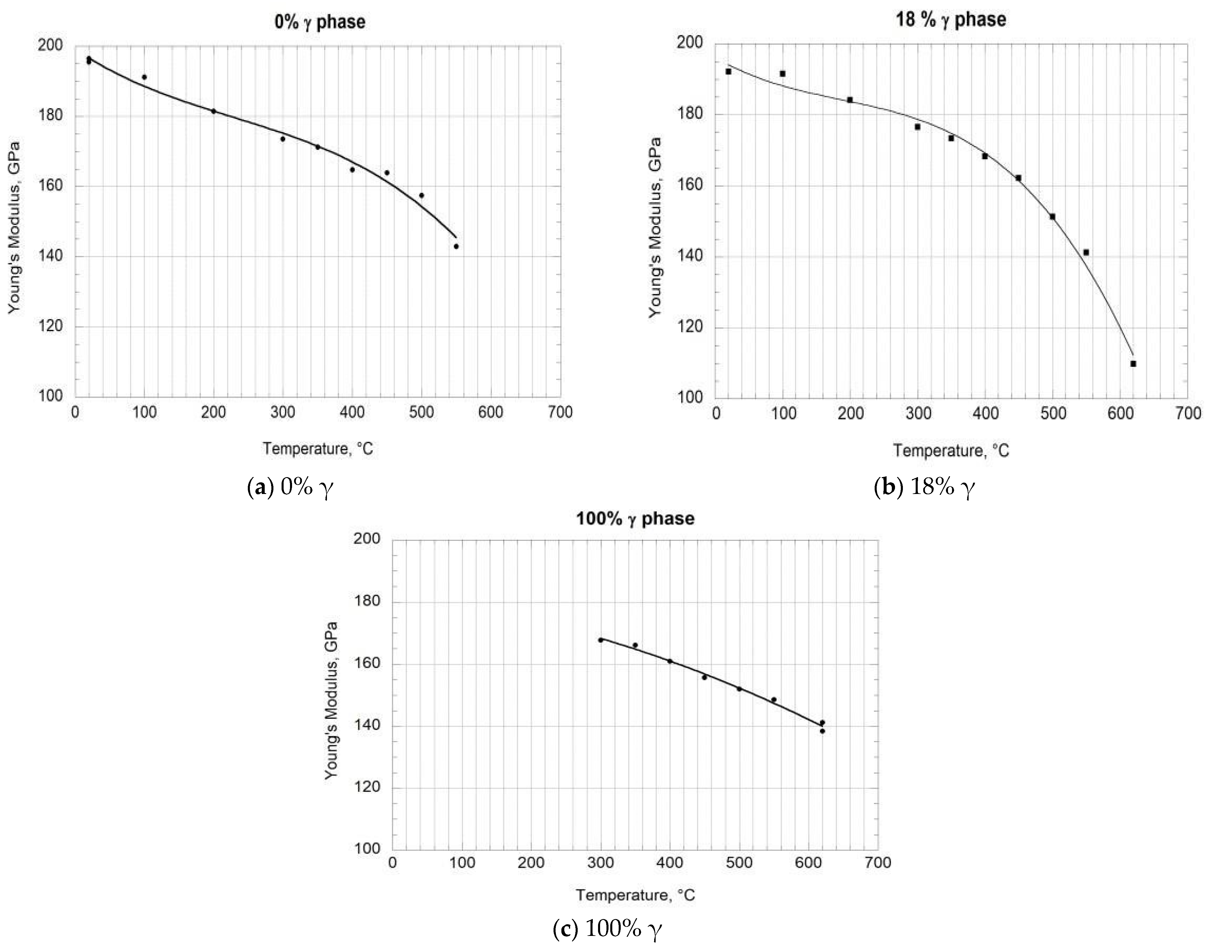
5.3. Determination of the Young’s Modulus
5.4. The Normalized Flow Rule
6. Numerical Simulation and Discussion
7. Conclusions
Author Contributions
Funding
Data Availability Statement
Conflicts of Interest
References
- Krempl, E. Viscoplastic models for high temperature applications. Int. J. Solids Struct. 2000, 37, 279–291. [Google Scholar] [CrossRef]
- Li, C.; Hodgson, P.; Preuss, M.; Chen, Y.; Wu, X.; Zhu, Y.; Tian, Y.; Huang, A. Rolling-assisted direct energy deposited Inconel 718: Microstructural evolution and mechanical properties after optimized heat treatment. J. Mater. Sci. Technol. 2023, 144, 118–127. [Google Scholar] [CrossRef]
- Lei, M.; Sun, G.; Yang, G.; Wen, B. A computational mechanical constitutive modeling method based on thermally-activated microstructural evolution and strengthening mechanisms. Int. J. Plast. 2024, 173, 103881. [Google Scholar] [CrossRef]
- Engler-Pinto, C.C.; Sehitoglu, H.; Maier, H.J. Cyclic behavior of A1319-T7B under isothermal and non-isothermal conditions. In Thermomechanical Fatigue Behavior of Materials: 4th Volume; ASTM International: West Conshohocken, PA, USA, 2003. [Google Scholar]
- Slavik, D.; Sehitoglu, H. Constitutive model for high temperature loading part I Experimental based forms of the equations. Am. Soc. Mech. Eng. Press. Vessel. Pip. Div. (Publ.) PVP 1987, 123, 65–73. [Google Scholar]
- Sehitoglu, H. Changes in state variables at elevated temperatures. J. Eng. Mater. Technol. 1989, 111, 192–203. [Google Scholar] [CrossRef]
- Li, Y.; Chen, H.; Du, L.; Yang, F.; Zhang, Y.; Li, D. Characterization and unified modelling of creep and viscoplasticity deformation of titanium alloy at elevated temperature. Int. J. Plast. 2024, 173, 103892. [Google Scholar] [CrossRef]
- Hosseini, E.; Kazemi, A.; Abrinia, K.; Shahsavari, H.; Holdsworth, S.; Baghani, M. Effect of prior deformation on the subsequent creep and anelastic recovery behaviour of an advanced martensitic steel: Unified constitutive modelling. Int. J. Mech. Sci. 2020, 176, 105546. [Google Scholar] [CrossRef]
- Fréchette, G. Étude du Comportement au Fluage de L’alliage 13Cr-4Ni en vue de Simuler la Redistribution des Contraintes Résiduelles Lors du Traitement Thermique Post-Soudage. Ph.D. Thesis, École de Technologie Supérieure, Montréal, QC, Canada, 2018. [Google Scholar]
- Bilmes, P.; Solari, M.; Llorente, C. Characteristics and effects of austenite resulting from tempering of 13Cr–NiMo martensitic steel weld metals. Mater. Charact. 2001, 46, 285–296. [Google Scholar] [CrossRef]
- Iwabuchi, Y.; Sawada, S. Metallurgical characteristics of a large hydraulic runner casting of type 13Cr-Ni stainless steel. In Stainless Steel Castings; ASTM International: West Conshohocken, PA, USA, 1982. [Google Scholar]
- Chen, J.; Verreman, Y.; Lanteigne, J. On fracture toughness JIC testing of martensitic stainless steels. In Proceedings of the 13th International Conference on Fracture, Beijing, China, 16–21 June 2013. [Google Scholar]
- ASTM E975-22; X-ray Determination of Retained Austenite in Steel with Random Crystallographic Orientation. ASTM International: West Conshohocken, PA, USA, 2023.
- Young, R.A. The rietveld method. Int. Union Crystallogr. 1993, 5, 1–38. [Google Scholar]
- Morawiec, M.; Grajcar, A. Some aspects of the determination of retained austenite using the Rietveld refinement. J. Achiev. Mater. Manuf. Eng. 2017, 80, 11–17. [Google Scholar] [CrossRef]
- Song, Y.; Li, X.; Rong, L.; Li, Y. The influence of tempering temperature on the reversed austenite formation and tensile properties in Fe–13%Cr–4%Ni–Mo low carbon martensite stainless steels. Mater. Sci. Eng. A 2011, 528, 4075–4079. [Google Scholar] [CrossRef]
- Zhang, S.; Wang, P.; Li, D.; Li, Y. Investigation of the evolution of retained austenite in Fe–13%Cr–4%Ni martensitic stainless steel during intercritical tempering. Mater. Des. 2015, 84, 385–394. [Google Scholar] [CrossRef]
- Côté, M. Étude des Cinétiques de Transformation de Phase d’un acier Inoxydable Martensitique 13% Cr-4% Ni. Ph.D. Thesis, École de Technologie Supérieure, Montréal, QC, Canada, 2007. [Google Scholar]
- Robichaud, P. Stabilité de L’austénite Résiduelle de L’acier Inoxydable 415 Soumis à la Fatigue Oligocyclique. Ph.D. Thesis, École de Technologie Supérieure, Montréal, QC, Canada, 2007. [Google Scholar]
- Chaix, J. Influence de la Température de Revenu sur la Résistance du CA6NM à la Propagation des Fissures de Fatigue. Ph.D. Thesis, École Polytechnique de Montréal, Montréal, QC, Canada, 2014. [Google Scholar]
- Leblond, J.-B.; Mottet, G.; Devaux, J. A theoretical and numerical approach to the plastic behaviour of steels during phase transformations—II. Study of classical plasticity for ideal-plastic phases. J. Mech. Phys. Solids 1986, 34, 411–432. [Google Scholar] [CrossRef]
- Baïlon, J.P.; Dorlot, J.M. Des Matériaux; Presses Inter Polytechnique: Palaiseau, France, 2000. [Google Scholar]



















| C | Mn | S | P | Si | Ni | Cr | Mo |
|---|---|---|---|---|---|---|---|
| 0.014 | 0.80 | 0.001 | 0.014 | 0.46 | 4.45 | 12.06 | 0.63 |
| Austenite | Q (J/mol) | Stress (MPa) | (°C) | (°C) | (s−1) | (s−1) |
|---|---|---|---|---|---|---|
| 0 | 3.27 × 105 | 325 | 500 | 550 | 1.04 × 10−8 | 2.29 × 10−7 |
| 0.18 | 3.28 × 105 | 325 | 550 | 620 | 2.80 × 10−7 | 1.13 × 10−5 |
| 1.0 | 3.45 × 105 | 100 | 620 | 720 | 2.63 × 10−7 | 2.84 × 10−5 |
| Austenite Fraction fγ | Reference Temperature T0 (°C) | A(T0) (s−1) | Ac (s−1) | K0 (MPa) | n1 | R2 |
|---|---|---|---|---|---|---|
| 0 | 500 | 1.51 × 10−7 | 1.95 × 1015 | 332 | 8.50 | 0.896 |
| 0.18 | 620 | 3.43 × 10−6 | 5.27 × 1013 | 171 | 6.51 | 0.852 |
| 1.0 | 620 | 2.08 × 10−7 | 3.16 × 1013 | 54.0 | 13.6 | 0.814 |
| Austenite Fraction fγ | a0 | a1 | a2 | a3 | R2 |
|---|---|---|---|---|---|
| 0 | 199.09 | −0.13106 | 0.00030415 | −4.4241 × 10−7 | 0.986 |
| 0.18 | 196.22 | −0.11094 | 0.00037849 | −6.7419 × 10−7 | 0.992 |
| 1.0 | 182.01 | −0.024416 | −6.9947 × 10−5 | 0 | 0.989 |
| Austenite Fraction fγ | Reference Temperature T0 (°C) | K0 (MPa) | E(T0) (GPa) | κ (MPa/GPa) |
|---|---|---|---|---|
| 0 | 500 | 332 | 154.3 | 2.15 |
| 0.18 | 620 | 171 | 112.3 | 1.52 |
| 1.0 | 620 | 54.0 | 140.0 | 0.386 |
| n2 | R2 | |
|---|---|---|
| 0 | 7.19 | 0.705 |
| 0.18 | 4.91 | 0.933 |
| 1.0 | 22.6 | 0.442 |
Disclaimer/Publisher’s Note: The statements, opinions and data contained in all publications are solely those of the individual author(s) and contributor(s) and not of MDPI and/or the editor(s). MDPI and/or the editor(s) disclaim responsibility for any injury to people or property resulting from any ideas, methods, instructions or products referred to in the content. |
© 2024 by the authors. Licensee MDPI, Basel, Switzerland. This article is an open access article distributed under the terms and conditions of the Creative Commons Attribution (CC BY) license (https://creativecommons.org/licenses/by/4.0/).
Share and Cite
Hosseini, M.M.; Lanteigne, J.; Baillargeon, C.; Jahazi, M.; Champliaud, H. Development of a Flow Rule Based on a Unified Plasticity Model for 13Cr-4Ni Low-Carbon Martensitic Stainless Steel Subject to Post-Weld Heat Treatment. Metals 2024, 14, 834. https://doi.org/10.3390/met14070834
Hosseini MM, Lanteigne J, Baillargeon C, Jahazi M, Champliaud H. Development of a Flow Rule Based on a Unified Plasticity Model for 13Cr-4Ni Low-Carbon Martensitic Stainless Steel Subject to Post-Weld Heat Treatment. Metals. 2024; 14(7):834. https://doi.org/10.3390/met14070834
Chicago/Turabian StyleHosseini, Mir Mehrdad, Jacques Lanteigne, Carlo Baillargeon, Mohammad Jahazi, and Henri Champliaud. 2024. "Development of a Flow Rule Based on a Unified Plasticity Model for 13Cr-4Ni Low-Carbon Martensitic Stainless Steel Subject to Post-Weld Heat Treatment" Metals 14, no. 7: 834. https://doi.org/10.3390/met14070834
APA StyleHosseini, M. M., Lanteigne, J., Baillargeon, C., Jahazi, M., & Champliaud, H. (2024). Development of a Flow Rule Based on a Unified Plasticity Model for 13Cr-4Ni Low-Carbon Martensitic Stainless Steel Subject to Post-Weld Heat Treatment. Metals, 14(7), 834. https://doi.org/10.3390/met14070834

