Influence of Single- and Double-Aging Treatments on the Mechanical and Corrosion Resistance of Alloy 625
Abstract
1. Introduction
2. Materials and Methods
3. Results and Discussion
3.1. Soft-Annealed Condition
3.2. Single-Aging Treatments
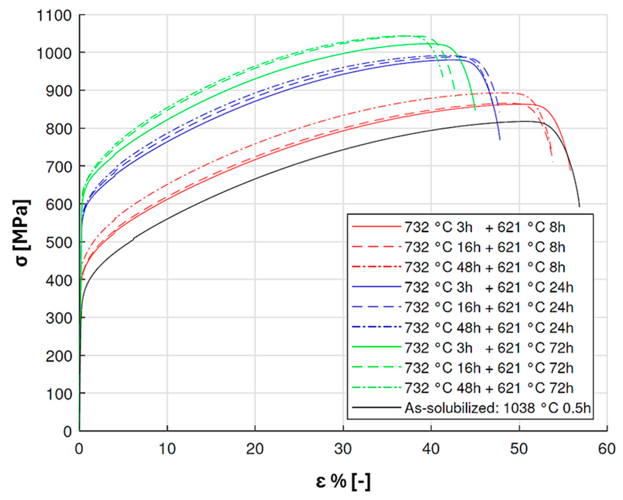
3.3. Double-Aging Treatments
3.4. Intergranular Corrosion Resistance
4. Conclusions
- (1)
- During aging treatments, the simultaneous formation of the hardening phase and intergranular Cr-rich carbides can detrimentally affect the corrosion resistance. Such undesired phenomenon occurs very quickly at 732 °C, but it is obtained only after very long exposure times at 621 °C. Therefore, this behavior allows us to better exploit the formation of the hardening phase at 621 °C before activating the precipitation of intergranular carbides.
- (2)
- Single aging at 621 °C for 72 h and 130 h are associated with an acceptable combination of mechanical and corrosion properties. The corrosion resistance is instead not acceptable in the 260 h condition, where the mechanical properties are further improved.
- (3)
- With double aging at 732 °C 3 h and 621 °C 72 h, it is possible to obtain the same mechanical properties of single aging at 621 °C for 260 h with a conspicuous acceleration of the aging response and consequent reduction in the heat treatment time and cost.
- (4)
- The corrosion resistance remains a critical aspect in the case of double aging, especially because of the primary step. In this case, even after optimization of the primary aging time, none of the tested conditions was compatible with the imposed requirements. In addition, very short aging times cannot be feasible in the presence of large components.
Author Contributions
Funding
Data Availability Statement
Conflicts of Interest
References
- Eiselstein, H.L.; Tillack, D.J. The Invention and Definition of Alloy 625. In Proceedings on Superalloys 718, 625, and Derivatives; Loria, E.A., Ed.; The Minerals, Metals & Materials Society: Pittsburgh, PA, USA, 1991; pp. 1–14. [Google Scholar]
- Floreen, S.; Fuchs, G.E.; Yang, W.J. The Metallurgy of Alloy 625. In Superalloys 718, 625, 706 and Derivatives; The Minerals, Metals & Materials Society: Pittsburgh, PA, USA, 1994; pp. 13–37. [Google Scholar]
- Heubner, U.; Kloewer, J.; Alves, H.; Behrens, R.; Schindler, C.; Wahl, V.; Wolf, M. Nickel Alloys and High-Alloyed Special Stainless Steels: Properties-Manufacturing-Applications, 4th ed.; Expert-Verlag: Renningen, Germany, 2012. [Google Scholar]
- Chen, X.; Nie, L.-Y.; Hu, H.; Lin, Y.C.; Liu, Y.-X.; Wu, Z.-L.; Zhou, X.; Zhang, J.; Lu, X. High-Temperature Deformation Characteristics and Constitutive Models of Inconel 625 Superalloy. Mater. Today Commun. 2022, 32, 103855. [Google Scholar] [CrossRef]
- Rivolta, B.; Boniardi, M.V.; Gerosa, R.; Casaroli, A.; Panzeri, D.; Pizetta Zordão, L.H. Alloy 625 Forgings: Thermo-Metallurgical Model of Solution-Annealing Treatment. J. Mater. Eng. Perform. 2022, 32, 5785–5797. [Google Scholar] [CrossRef]
- ASTM B446-19; Standard Specification for Nickel-Chromium-Molybdenum-Columbium Alloy (UNS N06625), Nickel-Chromium-Molybdenum-Silicon Alloy (UNS N06219), and Nickel-Chromium-Molybdenum-Tungsten Alloy (UNS N06650) Rod and Bar. ASTM International: West Conshohocken, PA, USA, 2019.
- Reed, R.C.; Rae, C.M.F. Physical Metallurgy of the Nickel-Based Superalloys. In Physical Metallurgy; Elsevier: Amsterdam, The Netherlands, 2014; pp. 2215–2290. [Google Scholar] [CrossRef]
- Suave, L.M.; Cormier, J.; Villechaise, P.; Soula, A.; Hervier, Z.; Bertheau, D.; Laigo, J. Microstructural Evolutions During Thermal Aging of Alloy 625: Impact of Temperature and Forming Process. Metall. Mater. Trans. A 2014, 45, 2963–2982. [Google Scholar] [CrossRef]
- Yu, L.-J.; Marquis, E.A. Precipitation Behavior of Alloy 625 and Alloy 625 Plus. J. Alloys Compd. 2019, 811, 151916. [Google Scholar] [CrossRef]
- Liu, X.; Fan, J.; Zhang, P.; Cao, K.; Wang, Z.; Chen, F.; Liu, D.; Tang, B.; Kou, H.; Li, J. Influence of Heat Treatment on Inconel 625 Superalloy Sheet: Carbides, γ’’, δ Phase Precipitation and Tensile Deformation Behavior. J. Alloys Compd. 2023, 930, 167522. [Google Scholar] [CrossRef]
- Sukumaran, A.; Gupta, R.K.; Anil Kumar, V. Effect of Heat Treatment Parameters on the Microstructure and Properties of Inconel-625 Superalloy. J. Mater. Eng. Perform. 2017, 26, 3048–3057. [Google Scholar] [CrossRef]
- Heubner, U.; Köhler, M. The Effect of Final Heat Treatment and Chemical Composition on Sensitization, Strength and Thermal Stability of Alloy 625. In Superalloys 718, 625, 706 and Derivatives; The Minerals, Metals & Materials Society: Pittsburgh, PA, USA, 1997; pp. 795–803. [Google Scholar]
- Liu, X.; Fan, J.; Jiao, D.; Tang, B.; Kou, H.; Sha, G.; Li, J. Achieving Excellent Strength-Ductility Combination in an Inconel 625 Superalloy via Short-Term Stress-Aging Treatment. Scr. Mater. 2023, 231, 115458. [Google Scholar] [CrossRef]
- Yenusah, C.O.; Ji, Y.; Liu, Y.; Stone, T.W.; Horstemeyer, M.F.; Chen, L.-Q.; Chen, L. Three-Dimensional Phase-Field Simulation of Γ″ Precipitation Kinetics in Inconel 625 during Heat Treatment. Comput. Mater. Sci. 2021, 187, 110123. [Google Scholar] [CrossRef]
- Moore, I.J.; Taylor, J.I.; Tracy, M.W.; Burke, M.G.; Palmiere, E.J. Grain Coarsening Behaviour of Solution Annealed Alloy 625 between 600–800 °C. Mater. Sci. Eng. A 2017, 682, 402–409. [Google Scholar] [CrossRef]
- Suave, L.M.; Bertheau, D.; Cormier, J.; Villechaise, P.; Soula, A.; Hervier, Z.; Laigo, J. Impact of Microstructural Evolutions during Thermal Aging of Alloy 625 on Its Monotonic Mechanical Properties. MATEC Web Conf. 2014, 14, 21001. [Google Scholar] [CrossRef]
- Rivolta, B.; Gerosa, R.; Panzeri, D.; Nazim, A. Optimization of the Mechanical and Corrosion Resistance of Alloy 625 through Aging Treatments. Crystals 2024, 14, 139. [Google Scholar] [CrossRef]
- Carpenter Technology Corporation. CarTech® Custom Age 625 PLUS® Alloy: Technical Datasheet. Available online: www.carpentertechnology.com/alloy-finder/625-Plus (accessed on 25 August 2020).
- Schmidt, N.B.; DeBold, T.A.; Frank, R.B. Custom Age 625® plus Alloy—A Higher Strength Alternative to Alloy 625. J. Mater. Eng. Perform. 1992, 1, 483–488. [Google Scholar] [CrossRef]
- ASTM G28-02; Standard Test Methods for Detecting Susceptibility to Intergranular Corrosion in Wrought, Nickel-Rich, Chromium-Bearing Alloys. ASTM International: West Conshohocken, PA, USA, 2015.
- ASM International. ASM Specialty Handbook: Nickel, Cobalt, and Their Alloys; Davis, J., Ed.; ASM International: Materials Park, OH, USA, 2000. [Google Scholar]
- Carpenter Technology Corporation. A Guide to Etching Specialty Alloys for Microstructural Evaluation. Available online: https://carpentertechnology.com/blog/a-guide-to-etching-specialty-alloys (accessed on 14 November 2023).
- ISO 6507-1:2018; Metallic Materials—Vickers Hardness Test. BSI Standards: London, UK, 2018.
- BS EN ISO 6892-1:2019; Metallic Materials—Tensile Testing. BSI Standards Publication: London, UK, 2020.
- ASTM E112-13; Standard Test Methods for Determining Average Grain Size. ASTM International: West Conshohocken, PA, USA, 2013. [CrossRef]
- Hariharan, K.; Iams, A.D.; Zuback, J.S.; Palmer, T.A.; Sridhar, N.; Alazemi, R.M.; Frankel, G.S.; Schindelholz, E.J. Enhanced Localized Corrosion Resistance of Ni-Based Alloy 625 Processed by Directed Energy Deposition Additive Manufacturing. Corros. Sci. 2024, 230, 111945. [Google Scholar] [CrossRef]
- Xue, J.; Guo, W.; Xia, M.; Zhang, Y.; Tan, C.; Shi, J.; Li, X.; Zhu, Y.; Zhang, H. In-Depth Understanding in the Effect of Hydrogen on Microstructural Evolution, Mechanical Properties and Fracture Micro-Mechanisms of Advanced High-Strength Steels Welded Joints. Corros. Sci. 2024, 233, 112112. [Google Scholar] [CrossRef]
- Suthar, F.V.; Shah, H.N.; Mandal, D.; Chaudhury, S.K. Effect of Alloy 625 Buffer Layer on Corrosion Resistance of Nickel Base Hardfacing. Surf. Coat. Technol. 2024, 485, 130893. [Google Scholar] [CrossRef]
- Liu, Z.; Gao, Z.; Song, J.; Guo, M.; Tian, Q.; Chen, P.; Lv, C.; Hu, W. Research on the Correlation between Tensile Ductility and Corrosion Behavior of Surfacing Alloy 625. Mater. Charact. 2024, 208, 113588. [Google Scholar] [CrossRef]
- Zhu, J.; Feng, K.; Kokawa, H.; Li, Z. Effect of Heat Treatment on the Anisotropic Mechanical Properties and Corrosion Resistance of Laser Powder Bed Fusion Fabricated Inconel 625. J. Alloys Compd. 2024, 1001, 175087. [Google Scholar] [CrossRef]
















| Ni | Cr | Mo | Nb | Fe | Mn | Ti | Al | C | Si | P | S | |
|---|---|---|---|---|---|---|---|---|---|---|---|---|
| wt. % | 62.3 | 20.4 | 8.50 | 3.59 | 4.41 | 0.09 | 0.30 | 0.20 | 0.04 | 0.17 | <0.01 | <0.01 |
| Hardness | Yield Strength [MPa] | Ultimate Tensile Strength [MPa] | A% | Z% | |
|---|---|---|---|---|---|
| This work | 194 HV30 | 350 | 829 | 61.0 | 70 |
| ASTM B446 [6] | --- | >414 | >827 | >30.0 | --- |
| ID | Ni | Cr | Mo | Nb | Fe | Ti | Al | Si | |
|---|---|---|---|---|---|---|---|---|---|
| OES analysis | --- | 62.3 | 20.4 | 8.50 | 3.59 | 4.41 | 0.30 | 0.20 | 0.17 |
| Figure 4b | A | 59.9 | 25.0 | 7.47 | 2.42 | 4.49 | 0.29 | 0.29 | 0.14 |
| Figure 4c | B | 54.9 | 28.2 | 8.60 | 3.40 | 4.20 | 0.30 | 0.20 | 0.20 |
| Figure 4d | C | 52.8 | 29.5 | 9.77 | 2.96 | 4.13 | 0.29 | 0.22 | 0.25 |
| Figure 4e | D | 52.1 | 30.3 | 8.75 | 4.22 | 3.89 | 0.37 | 0.17 | 0.20 |
| ID | Ni | Cr | Mo | Nb | Fe | Ti | Al | Si | |
|---|---|---|---|---|---|---|---|---|---|
| OES analysis | --- | 62.3 | 20.4 | 8.50 | 3.59 | 4.41 | 0.30 | 0.20 | 0.17 |
| Figure 6b | E | 61.1 | 23.7 | 7.00 | 3.00 | 4.30 | 0.35 | 0.35 | 0.20 |
| Condition | Hardness HV30 | Yield Strength [MPa] | Ultimate Tensile Strength [MPa] | A% | Z% |
|---|---|---|---|---|---|
| Soft-annealed (SA) | 194 | 350 | 829 | 61.0 | 70 |
| SA + 621 °C 260 h | 279 | 604 | 1039 | 46.0 | 62 |
| SA + 732 °C 3 h + 621 °C 72 h | 280 | 616 | 1023 | 47.0 | 57 |
Disclaimer/Publisher’s Note: The statements, opinions and data contained in all publications are solely those of the individual author(s) and contributor(s) and not of MDPI and/or the editor(s). MDPI and/or the editor(s) disclaim responsibility for any injury to people or property resulting from any ideas, methods, instructions or products referred to in the content. |
© 2024 by the authors. Licensee MDPI, Basel, Switzerland. This article is an open access article distributed under the terms and conditions of the Creative Commons Attribution (CC BY) license (https://creativecommons.org/licenses/by/4.0/).
Share and Cite
Rivolta, B.; Gerosa, R.; Panzeri, D. Influence of Single- and Double-Aging Treatments on the Mechanical and Corrosion Resistance of Alloy 625. Metals 2024, 14, 823. https://doi.org/10.3390/met14070823
Rivolta B, Gerosa R, Panzeri D. Influence of Single- and Double-Aging Treatments on the Mechanical and Corrosion Resistance of Alloy 625. Metals. 2024; 14(7):823. https://doi.org/10.3390/met14070823
Chicago/Turabian StyleRivolta, Barbara, Riccardo Gerosa, and Davide Panzeri. 2024. "Influence of Single- and Double-Aging Treatments on the Mechanical and Corrosion Resistance of Alloy 625" Metals 14, no. 7: 823. https://doi.org/10.3390/met14070823
APA StyleRivolta, B., Gerosa, R., & Panzeri, D. (2024). Influence of Single- and Double-Aging Treatments on the Mechanical and Corrosion Resistance of Alloy 625. Metals, 14(7), 823. https://doi.org/10.3390/met14070823

