Parameter Equivalence and Impedance Characteristics of NiTi Wires Embedded in Nitrile Butadiene Rubber Based on Secondary Bridging Model
Abstract
1. Introduction
2. Analytical Modeling
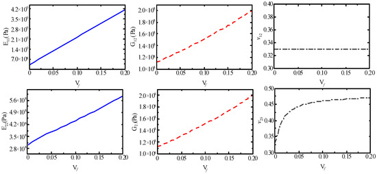
2.1. Parameter Equivalent Model of NITi-NBR Composite Materials
2.2. Formation Mechanism of the Interface Phase
2.3. Secondary Bridge Connection Model Establishment
3. Impedance Characteristics
3.1. Acoustic Impedance and Absorption Characteristics of Composite Coating Derivation
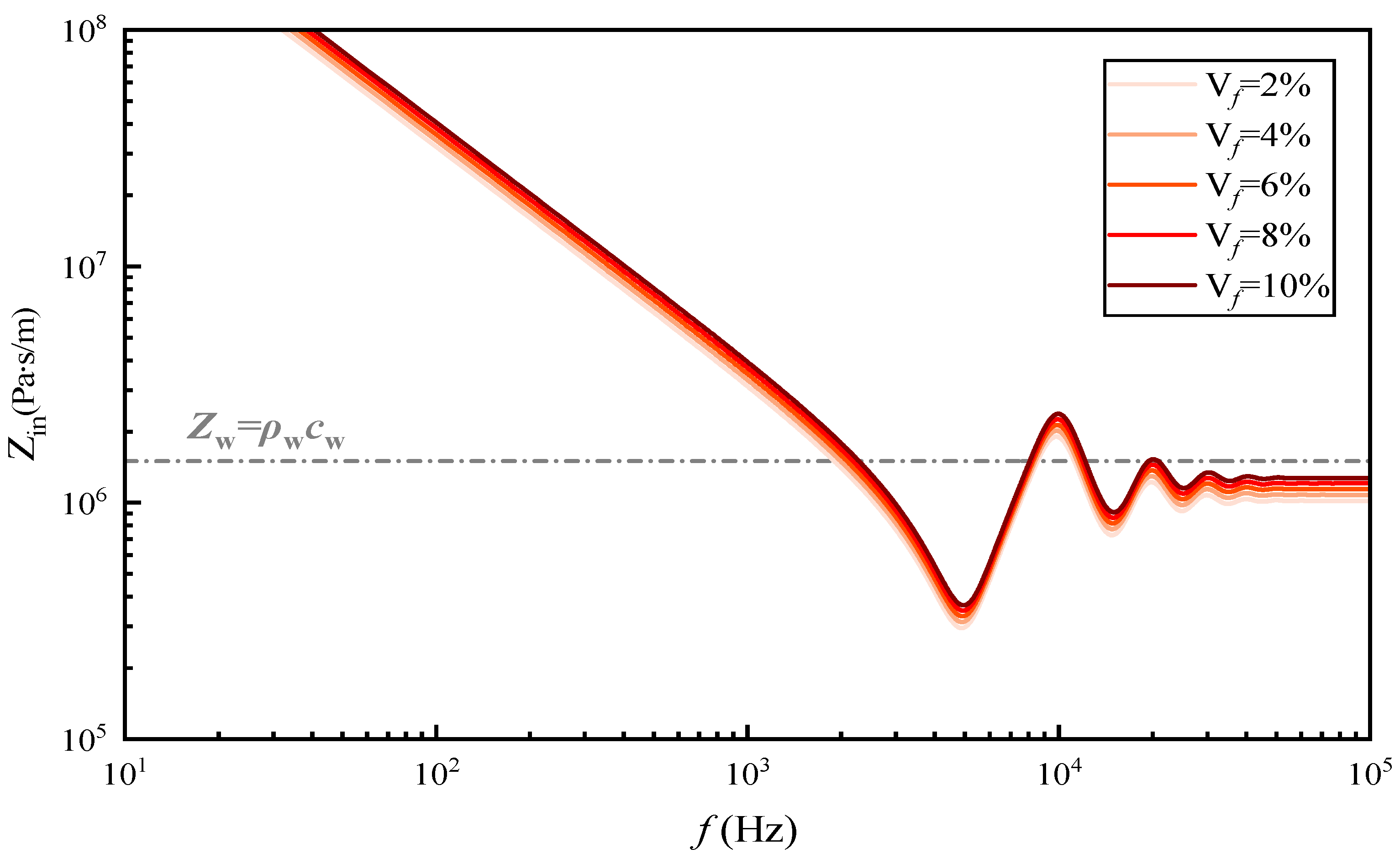
3.2. Calculation Results of Acoustic Absorption in NiTi-NBR Composites
4. Theoretical Verification
5. Conclusions
- (1)
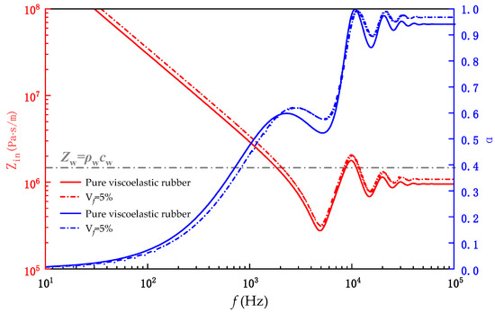
- Embedding NiTi with a volume fraction of 5% in NBR improves the overall sound absorption performance, mainly reflected in the slight shift in the first absorption peak toward high frequency, and the sound absorption performance in the high-frequency range is improved;
- (2)
- With the increase in NiTi volume fraction, the composite material develops toward metal-based characteristics, and the first absorption peak continuously moves toward high frequency, and impedance mismatch may occur.
- (1)
- By combining the secondary bridging model with equivalent fibers, the macroscopic equivalent parameters of transversely isotropic materials composed of three-phase or multiphase fiber composites can be fully obtained;
- (2)
- The NiTi-NBR composite material has the function of improving the sound absorption performance in the local frequency band; if multi-layer-coupled composite materials are designed, the multiple coupling energy dissipation modes can be matched and optimized to achieve synchronous movement of all main absorption peaks, or the positive phenomenon of the rear absorption peak moving toward the low-frequency direction at a rate not lower than the front absorption peak;
- (3)
- Our future research will focus on delving deeper into the ways that temperature affects the acoustic characteristics of the NiTi NBR composite material that we have presented in this work. In order to fully comprehend and optimize the material’s acoustic performance across a wide temperature range, we will investigate the phase transition behavior of NiTi wire at various temperatures as well as the mechanism of action on the overall acoustic performance of composite materials. We will also provide the theoretical basis and technical support for the material’s use in extreme temperature environments;
- (4)
- The findings of this study will be extended to the use of sound-absorbing coatings in marine equipment, with consideration given to how static water pressure conditions affect the composite material’s acoustic qualities in real-world settings. Additionally, by refining shape memory alloys’ embedding technique and other process designs, their ability to absorb sound in real marine environments is enhanced, offering creative options for marine equipment noise reduction.
Author Contributions
Funding
Data Availability Statement
Conflicts of Interest
References
- Cong, C.; Liu, Q.; Li, J.; Meng, X.; Zhou, Q. Synergistic crosslink of double bond and nitrile group of nitrile rubber in H2S environment. Polym. Degrad. Stab. 2018, 157, 108–118. [Google Scholar] [CrossRef]
- Kapitonov, E.A.; Petrova, N.N.; Mukhin, V.V.; Nikiforov, L.A.; Gogolev, V.D.; Shim, E.L.; Okhlopkova, A.A.; Cho, J.H. Enhanced Physical and Mechanical Properties of Nitrile-Butadiene Rubber Composites with N-Cetylpyridinium Bromide-Carbon Black. Molecules 2021, 26, 805. [Google Scholar] [CrossRef] [PubMed]
- Teng, F.; Wu, J.; Su, B.; Wang, Y. Enhanced tribological properties of vulcanized natural rubber composites by applications of carbon nanotube: A molecular dynamics study. Nanomaterials 2021, 11, 2464. [Google Scholar] [CrossRef] [PubMed]
- Jia, Y.; Zhao, Y.; Yan, C.; Wang, G.; He, Q. Effects of Alumina Doping on Mechanical and Tribological Properties of Nitrile Butadiene Rubber. Fibers Polym. 2021, 22, 3106–3119. [Google Scholar] [CrossRef]
- Zhang, Z.; Wang, J.; Huang, Q. A novel semi-analytical methodology for predicting sound absorption of anechoic coatings with arbitrary rotary cavities dependent on temperature and frequency. Results Phys. 2021, 26, 104408. [Google Scholar] [CrossRef]
- Wang, Z.; Su, M.; Duan, X.; Yao, X.; Han, X.; Song, J.; Ma, L. Molecular Dynamics Simulation of the Thermomechanical and Tribological Properties of Graphene-Reinforced Natural Rubber Nanocomposites. Polymers 2022, 14, 5056. [Google Scholar] [CrossRef] [PubMed]
- Srivastava, R.; Alsamhi, S.H.; Murray, N.; Devine, D. Shape memory alloy-based wearables: A review, and conceptual frameworks on HCI and HRI in Industry 4.0. Sensors 2022, 22, 6802. [Google Scholar] [CrossRef] [PubMed]
- Rasid, Z.A. The Natural Frequency of the Shape Memory Alloy Anti-Symmetric Angle-Ply Composite Plates Using Finite Element Method. Appl. Mech. Mater. 2015, 695, 52–55. [Google Scholar] [CrossRef]
- Li, S.; Mao, C. Comparative study of two types of self-recovery shape-memory alloy pseudo-rubber isolator devices under compression–shear interactions. Intell. Mater. Syst. Struct. 2019, 30, 2241–2256. [Google Scholar] [CrossRef]
- Li, S.; Dezfuli, F.H.; Wang, J.-q.; Alam, M.S. Longitudinal seismic response control of long-span cable-stayed bridges using shape memory alloy wire-based lead rubber bearings under near-fault records. Intell. Mater. Syst. Struct. 2018, 29, 703–728. [Google Scholar] [CrossRef]
- Lohse, F.; Annadata, A.R.; Häntzsche, E.; Gereke, T.; Trümper, W.; Cherif, C. Hinged Adaptive Fiber-Rubber Composites Driven by Shape Memory Alloys—Development and Simulation. Materials 2022, 15, 3830. [Google Scholar] [CrossRef] [PubMed]
- Lu, M.; Wang, H.; Song, X.; Sun, F. Effect of doping level on residual stress, coating-substrate adhesion and wear resistance of boron-doped diamond coated tools. Manuf. Process. 2023, 88, 145–156. [Google Scholar] [CrossRef]
- Luo, Y.; Liu, S.; Yang, Y.; Chen, G.; Cai, L.; Lyu, S.; Luo, Z.; Ai, C. Superior interface adhesion and protective mechanism of room-temperature-curable polymer composite coating on engineering substrates with lower roughness. Polym. Test. 2024, 134, 108430. [Google Scholar] [CrossRef]
- Guinovart-Díaz, R.; Rodríguez-Ramos, R.; López-Realpozo, J.C.; Bravo-Castillero, J.; Otero, J.A.; Sabina, F.J.; Lebon, F.; Dumont, S. Analysis of fibrous elastic composites with nonuniform imperfect adhesion. Acta Mech. 2016, 227, 57–73. [Google Scholar] [CrossRef]
- Peng, X.; Zhang, B.; Wang, Z.; Su, W.; Niu, S.; Han, Z.; Ren, L. Bioinspired Strategies for Excellent Mechanical Properties of Composites. Bionic Eng. 2022, 19, 1203–1228. [Google Scholar] [CrossRef]
- Lezgy-Nazargah, M.; Emamian, S.A.; Aghasizadeh, E.; Khani, M. Predicting the mechanical properties of ordinary concrete and nano-silica concrete using micromechanical methods. Sādhanā 2018, 43, 196. [Google Scholar] [CrossRef]
- Norris, A.N. A differential scheme for the effective moduli of composites. Mech. Mater. 1985, 4, 1–16. [Google Scholar] [CrossRef]
- Dai, L.H.; Huang, Z.P.; Wang, R. A generalized self-consistent mori-tanaka scheme for prediction of the effective elastic moduli of hybrid multiphase particulate composites. Polym. Compos. 1998, 19, 506–513. [Google Scholar] [CrossRef]
- Mehrdad, S.M.; Elahi, M. A new model to estimate the Young’s modulus of polymer concrete using micromechanical relations. Modares Civ. Eng. J. 2012, 12, 153–162. [Google Scholar]
- Chen, D.; Sun, G.; Meng, M.; Jin, X.; Li, Q. Flexural performance and cost efficiency of carbon/basalt/glass hybrid FRP composite laminates. Thin-Walled Struct. 2019, 142, 516–531. [Google Scholar] [CrossRef]
- Hahn, H.T.; Tsai, S. Nonlinear elastic behavior of unidirectional composite laminae. Compos. Mater. 1973, 7, 102–118. [Google Scholar] [CrossRef]
- Luccioni, B.M. Constitutive Model for Fiber-Reinforced Composite Laminates. Appl. Mech. 2006, 73, 901–910. [Google Scholar] [CrossRef]
- Huang, Z.M. A unified micromechanical model for the mechanical properties of two constituent composite materials. Part I: Elastic behavior. Thermoplast. Compos. Mater. 2000, 13, 252–271. [Google Scholar] [CrossRef]
- Hinton, M.; Kaddour, A.; Soden, P. A further assessment of the predictive capabilities of current failure theories for composite laminates: Comparison with experimental evidence. Compos. Sci. Technol. 2004, 64, 549–588. [Google Scholar] [CrossRef]
- Lebied, A.; Necib, B.; Sahli, M.L.; Gelin, J.-C.; Barrière, T. Numerical simulations and experimental results of tensile behaviour of hybrid composite shape memory alloy wires embedded structures. Int. J. Adv. Manuf. Technol. 2016, 86, 359–369. [Google Scholar] [CrossRef]
- Xu, L.; Sun, X.; Wan, P.; Sun, X.; Wang, Z. Surface treatment of interfacial properties of Shape Memory Alloy composites. Mater. Res. Innov. 2015, 19, S5-734–S5-738. [Google Scholar] [CrossRef]
- Ananchaperumal, V.; Vedantam, S. Modeling the role of phase boundaries on the pullout response of shape memory wire reinforced composites. Mech. Adv. Mater. 2023, 30, 1128–1137. [Google Scholar] [CrossRef]
- Katsiropoulos, C.V.; Pappas, P.; Koutroumanis, N.; Kokkinos, A.; Galiotis, C. Improving the damping behavior of fiber-reinforced polymer composites with embedded superelastic shape memory alloys (SMA). Smart Mater. Struct. 2020, 29, 025006. [Google Scholar] [CrossRef]
- Zhou, S.; Fang, Z. Optimization design of acoustic performance of underwater anechoic coatings. Acoust. Aust. 2022, 50, 297–313. [Google Scholar] [CrossRef]
- Zhang, Z.; Li, Z.; Li, T.; Huang, Q. A novel semi-analytical approach for predicting the sound absorptions of a new underwater composite coating with transversely arranged SWCNTs. Compos. Struct. 2021, 274, 114335. [Google Scholar] [CrossRef]
- Guo, Y.; Ai, R.; Chen, Y.; Qi, Y. Prediction of passive sonar detection range in different detection probability. In Proceedings of the 2018 5th International Conference on Systems and Informatics (ICSAI), Nanjing, China, 10–12 November 2018; pp. 1289–1293. [Google Scholar]
- Goryczka, T.; Zubko, M.; Lelatko, J.; Salwa, P.; Wierzchon, T.; Wojewoda-Budka, J.; Janusz-Skuza, M. Structure and Mechanical Properties of Multi-Functional Layer Deposited on Surface of Ni-Ti Shape Memory Alloy. Mater. Trans. 2019, 60, 693–697. [Google Scholar] [CrossRef]
- Park, J.S.; Kim, J.M. Interface Reactions and Synthetic Reaction of Composite Systems. Materials 2010, 3, 264–295. [Google Scholar] [CrossRef]
- Zhang, C.; Shi, Z.; Li, A.; Zhang, Y.-F. RGO-Coated Polyurethane Foam/Segmented Polyurethane Composites as Solid-Solid Phase Change Thermal Interface Material. Polymers 2020, 12, 3004. [Google Scholar] [CrossRef]
- Chalker, P.R.; Bull, S.J.; Rickerby, D.S. A review of the methods for the evaluation of coating-substrate adhesion. Mater. Sci. Eng. A 1991, 140, 583–592. [Google Scholar] [CrossRef]
- Anifantis, N. Micromechanical stress analysis of closely packed fibrous composites. Compos. Sci. Technol. 2000, 60, 1241–1248. [Google Scholar] [CrossRef]
- Hashin, Z. Thermoelastic properties of fiber composites with imperfect interface. Mech. Mater. 1990, 8, 333–348. [Google Scholar] [CrossRef]
- Huang, Z.-M. Constitutive relation, deformation, failure and strength of composites reinforced with continuous/short fibers or particles. Compos. Struct. 2021, 262, 113279. [Google Scholar] [CrossRef]
- Huang, Z.M.; Wang, L.S.; Jiang, F.; Xue, Y.D. Detection on matrix induced composite failures. Compos. Sci. Technol. 2021, 205, 108670. [Google Scholar] [CrossRef]
- Huang, H.B.; Huang, Z.M.; Wan, Y.P. Elastic moduli prediction of a short fiber composite with interface debonding at fiber ends. Damage Mech. 2024, 33, 378–412. [Google Scholar] [CrossRef]
- Ardeljan, M.; Beyerlein, I.J.; Knezevic, M. A dislocation density based crystal plasticity finite element model: Application to a two-phase polycrystalline HCP/BCC composites. J. Mech. Phys. Solids 2014, 66, 16–31. [Google Scholar] [CrossRef]
- Koutsawa, Y. New micromechanics approaches for the effective properties of multiferroics composites with spring-type imperfect interfaces. Compos. Struct. 2019, 211, 41–55. [Google Scholar] [CrossRef]
- Bednarcyk, B.A.; Ricks, T.M.; Pineda, E.J.; Murthy, P.L.N.; Mital, S.K.; Hu, Z.; Gustafson, P.A. Multiscale Recursive Micromechanics of Three-Dimensional Woven Composite Thermal Protection Materials Thermal Conductivities. AIAA J. 2022, 60, 6506–6519. [Google Scholar] [CrossRef]
- Joshi, P.; Upadhyay, S.H. Evaluation of elastic properties of multi walled carbon nanotube reinforced composite. Comput. Mater. Sci. 2014, 81, 332–338. [Google Scholar] [CrossRef]
- Huang, Y.; Duan, X.; Wang, J.; Zhang, Z.; Shi, Y.; Huang, B.; Xu, E. Interface stress transfer model and modulus parameter equivalence method for composite materials embedded with tensile pre-strain shape memory alloy fibers. PLoS ONE 2024, 19, e0302729. [Google Scholar] [CrossRef] [PubMed]
- Malekzadeh, K.; Mozafari, A.; Ashenai, G.F. Free vibration response of a multilayer smart hybrid composite plate with embedded SMA wires. Lat. Am. J. Solids Struct. 2013, 11, 279–298. [Google Scholar] [CrossRef]
- Zhang, Z.; Li, S.; Wang, J.; Huang, Q. Low-frequency broadband absorption of semi-active composite anechoic coating with subwavelength piezoelectric arrays in hydrostatic environments. Results Phys. 2021, 30, 104879. [Google Scholar] [CrossRef]
- Garus, S. The Influence of the Shape of Acoustic Impedance Change on the Propagation of a Mechanical Wave in Multilayer Phononic Structures. Acta Phys. Pol. 2023, 144, 313–316. [Google Scholar] [CrossRef]
- Zhang, Z.; Li, L.; Huang, Y.; Huang, Q. Sound absorption performance of underwater anechoic coating in plane wave normal incidence condition. Mater. Sci. Eng. 2019, 522, 012001. [Google Scholar] [CrossRef]






Disclaimer/Publisher’s Note: The statements, opinions and data contained in all publications are solely those of the individual author(s) and contributor(s) and not of MDPI and/or the editor(s). MDPI and/or the editor(s) disclaim responsibility for any injury to people or property resulting from any ideas, methods, instructions or products referred to in the content. |
© 2024 by the authors. Licensee MDPI, Basel, Switzerland. This article is an open access article distributed under the terms and conditions of the Creative Commons Attribution (CC BY) license (https://creativecommons.org/licenses/by/4.0/).
Share and Cite
Huang, Y.; Luo, X.; Zhang, H.; Wang, J.; Huang, B.; Zhang, Z.; Huang, Q.; Zhan, X. Parameter Equivalence and Impedance Characteristics of NiTi Wires Embedded in Nitrile Butadiene Rubber Based on Secondary Bridging Model. Metals 2024, 14, 822. https://doi.org/10.3390/met14070822
Huang Y, Luo X, Zhang H, Wang J, Huang B, Zhang Z, Huang Q, Zhan X. Parameter Equivalence and Impedance Characteristics of NiTi Wires Embedded in Nitrile Butadiene Rubber Based on Secondary Bridging Model. Metals. 2024; 14(7):822. https://doi.org/10.3390/met14070822
Chicago/Turabian StyleHuang, Yizhe, Xipeng Luo, Huizhen Zhang, Jun Wang, Bin Huang, Zhifu Zhang, Qibai Huang, and Xin Zhan. 2024. "Parameter Equivalence and Impedance Characteristics of NiTi Wires Embedded in Nitrile Butadiene Rubber Based on Secondary Bridging Model" Metals 14, no. 7: 822. https://doi.org/10.3390/met14070822
APA StyleHuang, Y., Luo, X., Zhang, H., Wang, J., Huang, B., Zhang, Z., Huang, Q., & Zhan, X. (2024). Parameter Equivalence and Impedance Characteristics of NiTi Wires Embedded in Nitrile Butadiene Rubber Based on Secondary Bridging Model. Metals, 14(7), 822. https://doi.org/10.3390/met14070822

