Advancements in Hybrid Additive Manufacturing: Integrating SLM and LMD for High-Performance Applications
Abstract
1. Introduction
2. Materials and Methods
2.1. Material Selection
2.2. Sample Production
3. Results and Discussion
3.1. Post-Processing
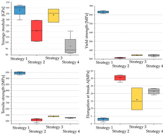
3.2. Mechanical Characterization
3.3. Hardness Measurement
3.4. Microstructure
4. Conclusions
Author Contributions
Funding
Data Availability Statement
Acknowledgments
Conflicts of Interest
References
- Bhatia, A.; Sehgal, A.K. Additive manufacturing materials, methods and applications: A review. Mater. Today Proc. 2021, 81, 1060–1067. [Google Scholar] [CrossRef]
- TNgo, D.; Kashani, A.; Imbalzano, G.; Nguyen, K.T.; Hui, D. Additive manufacturing (3D printing): A review of materials, methods, applications and challenges. Compos. Part B Eng. 2018, 143, 172–196. [Google Scholar]
- Rouf, S.; Malik, A.; Singh, N.; Raina, A.; Naveed, N.; Siddiqui, M.I.H.; Haq, M.I.U. Additive manufacturing technologies: Industrial and medical applications. Sustain. Oper. Comput. 2022, 3, 258–274. [Google Scholar] [CrossRef]
- Najmon, J.C.; Raeisi, S.; Tovar, A. Review of additive manufacturing technologies and applications in the aerospace industry. Addit. Manuf. Aerosp. Ind. 2019, 7–31. [Google Scholar] [CrossRef]
- Salmi, M. Additive Manufacturing Processes in Medical Applications. Materials 2021, 14, 191. [Google Scholar] [CrossRef] [PubMed]
- Ghomi, E.R.; Khosravi, F.; Neisiany, R.E.; Singh, S.; Ramakrishna, S. Future of additive manufacturing in healthcare. Curr. Opin. Biomed. Eng. 2021, 17, 100255. [Google Scholar]
- Javaid, M.; Haleem, A. Additive manufacturing applications in medical cases: A literature based review. Alex. J. Med. 2019, 54, 411–422. [Google Scholar] [CrossRef]
- Thomas, D. Costs, benefits, and adoption of additive manufacturing: A supply chain perspective. Int. J. Adv. Manuf. Technol. 2015, 85, 1857–1876. [Google Scholar] [CrossRef] [PubMed]
- Atzeni, E.; Iuliano, L.; Marchiandi, G.; Minetola, P.; Salmi, A.; Bassoli, E.; Denti, L.; Gatto, A. Additive Manufacturing as a Cost-Effective Way to Produce Metal Parts; CRC Press: Boca Raton, FL, USA, 2014. [Google Scholar]
- Busachi, A.; Erkoyuncu, J.; Colegrove, P.; Martina, F.; Watts, C.; Drake, R. A review of Additive Manufacturing technology and Cost Estimation techniques for the defence sector. CIRP J. Manuf. Sci. Technol. 2017, 19, 117–128. [Google Scholar] [CrossRef]
- BGraf; Schuch, M.; Kersting, R.; Gumenyuk, A.; Rethmeier, M. Additive Process Chain using Selective Laser Melting and Laser Metal Deposition. In Proceedings of the Lasers in Manufacturing Conference 2015, Munich, Germany, 22–25 June 2015. [Google Scholar]
- Colopi, M.; Demir, A.G.; Caprio, L.; Previtali, B. Limits and solutions in processing pure Cu via selective laser melting using a high-power single-mode fiber laser. Int. J. Adv. Manuf. Technol. 2019, 104, 2473–2486. [Google Scholar] [CrossRef]
- Hori, E.; Sato, Y.; Shibata, T.; Tojo, K.; Tsukamoto, M. Development of SLM process using 200 W blue diode laser for pure copper additive manufacturing of high density structure. J. Laser Appl. 2021, 33, 012008. [Google Scholar] [CrossRef]
- Mahamood, R. Laser Metal Deposition Process of Metals, Alloys, and Composite Materials; Springer: Berlin/Heidelberg, Germany, 2018. [Google Scholar]
- Froend, M.; Ventzke, V.; Riekehr, S.; Kashaev, N.; Klusemann, B.; Enz, J. Microstructure and microhardness of wire-based laser metal deposited AA5087 using an Ytterbium fibre laser. Mater. Charact. 2018, 143, 59–67. [Google Scholar] [CrossRef]
- Methani, M.M.; Cesar, P.F.; de Paula Miranda, R.B.; Morimoto, S.; Özcan, M.; Revilla-León, M. Additive Manufacturing in Dentistry: Current Technologies, Clinical Applications, and Limitations. Curr. Oral Health Rep. 2020, 7, 327–334. [Google Scholar] [CrossRef]
- Ahuja, B.; Karg, M.; Schmidt, M. Additive manufacturing in production: Challenges and opportunities. In Proceedings of the Laser 3D Manufacturing II, San Francisco, CA, USA, 7–12 February 2015. [Google Scholar]
- Lemu, H.G. On Opportunities and Limitations of Additive Manufacturing Technology for Industry 4.0 Era. In Advanced Manufacturing and Automation VIII; Springer: Singapore, 2018. [Google Scholar]
- Taborda, L.L.L.; Maury, H.; Pach, J. Design for additive manufacturing: A comprehensive review of the tendencies and limitations of methodologies. Rapid Prototyp. J. 2021, 27, 918–966. [Google Scholar] [CrossRef]
- Sefene, E.M. State-of-the-art of selective laser melting process: A comprehensive review. J. Manuf. Syst. 2022, 63, 250–274. [Google Scholar] [CrossRef]
- Yap, C.Y.; Chua, C.K.; Dong, Z.L.; Liu, Z.H.; Zhang, D.Q.; Loh, L.E.; Sing, S.L. Review of selective laser melting: Materials and applications. Appl. Phys. Rev. 2015, 2, 041101. [Google Scholar] [CrossRef]
- Ghosal, P.; Majumder, M.C.; Chattopadhyay, A. Study on direct laser metal deposition. Mater. Today Proc. 2018, 5, 12509–12518. [Google Scholar] [CrossRef]
- Ansari, M.; Jabari, E.; Toyserkani, E. Opportunities and challenges in additive manufacturing of functionally graded metallic materials via powder-fed laser directed energy deposition: A review. J. Mater. Process. Technol. 2021, 294, 117117. [Google Scholar] [CrossRef]
- Tseng, S.-F.; Hung, T.-Y.; Chang, C.-M. Mechanical and microstructural properties of additively manufactured Ti–6Al–4 V stents with CO2 laser post annealing treatment. Int. J. Adv. Manuf. Technol. 2022, 119, 6571–6581. [Google Scholar] [CrossRef]
- DIN 50125:2016-12; Testing of Metallic Materials—Tensile Specimens. Deutsches Institut Fur Normung E.V.: Berlin, Germany, 2016.
- DIN EN ISO 6892-1; Metallic Materials—Tensile Testing—Part 1: Method of Test at Room Temperature. Deutsches Institut Fur Normung E.V.: Berlin, Germany, 2019.
- ISO 6507-1:2022; Metallic Materials—Vickers Hardness Test—Part 1: Test Methods. Deutsches Institut Fur Normung E.V.: Berlin, Germany, 2022.









| Type/Strategy | Material-1/Process | Interface Material | Material-2/Process | Remarks |
|---|---|---|---|---|
| 1 | 1.2709/SLM | - | 1.2709/LDM | Same materials |
| 2 | 1.2709/SLM | - | 316L/LDM | Different materials |
| 3 | 1.2709/SLM | 1.2709/LDM | 316L/LDM | Same material at interface |
| 4 | 1.2709/SLM | 316L/LDM | 1.2709/LDM | Different material at the interface |
| Tensile Strength/MPa | Yield Strength/MPa | Elongation at Break/% | Hardness/HV10 | Surface Roughness/Ra |
|---|---|---|---|---|
| 1.2709 | ||||
| 1095 | 945 | 11 | 550 | 5 |
| 316L | ||||
| 605 | 550 | 45 | 215 | 6 |
| SLM | LMD |
|---|---|
|
|
|
|
|
|
Disclaimer/Publisher’s Note: The statements, opinions and data contained in all publications are solely those of the individual author(s) and contributor(s) and not of MDPI and/or the editor(s). MDPI and/or the editor(s) disclaim responsibility for any injury to people or property resulting from any ideas, methods, instructions or products referred to in the content. |
© 2024 by the authors. Licensee MDPI, Basel, Switzerland. This article is an open access article distributed under the terms and conditions of the Creative Commons Attribution (CC BY) license (https://creativecommons.org/licenses/by/4.0/).
Share and Cite
Chalicheemalapalli Jayasankar, D.; Gnaase, S.; Kaiser, M.A.; Lehnert, D.; Tröster, T. Advancements in Hybrid Additive Manufacturing: Integrating SLM and LMD for High-Performance Applications. Metals 2024, 14, 772. https://doi.org/10.3390/met14070772
Chalicheemalapalli Jayasankar D, Gnaase S, Kaiser MA, Lehnert D, Tröster T. Advancements in Hybrid Additive Manufacturing: Integrating SLM and LMD for High-Performance Applications. Metals. 2024; 14(7):772. https://doi.org/10.3390/met14070772
Chicago/Turabian StyleChalicheemalapalli Jayasankar, Deviprasad, Stefan Gnaase, Maximilian Alexander Kaiser, Dennis Lehnert, and Thomas Tröster. 2024. "Advancements in Hybrid Additive Manufacturing: Integrating SLM and LMD for High-Performance Applications" Metals 14, no. 7: 772. https://doi.org/10.3390/met14070772
APA StyleChalicheemalapalli Jayasankar, D., Gnaase, S., Kaiser, M. A., Lehnert, D., & Tröster, T. (2024). Advancements in Hybrid Additive Manufacturing: Integrating SLM and LMD for High-Performance Applications. Metals, 14(7), 772. https://doi.org/10.3390/met14070772
