Quantitative Microstructure Prediction of Powder High-Temperature Alloy during Solution Heat Treatment and Its Validation
Abstract
1. Introduction
2. Kinetic Models of Precipitate Phases
3. Microstructure Simulation and Analysis
3.1. Microstructure under Constant Cooling Rate
3.1.1. Precipitation Temperature and Nucleation Rate
3.1.2. Multimodal Distribution of Precipitate Phases
3.1.3. The Evolution Process of the Phase
3.1.4. Constant Cooling Rate Experiments
- Experimental Methods
- Vacuum Induction Melting (VIM):
- Argon Atomization (AA):
- Powder Sieving and Degassing:
- Hot Isostatic Pressing (HIP):
- Hot Extrusion (HEX):
- Isothermal Forging (IF):
- Sample Preparation:
- 2.
- Experimental Results
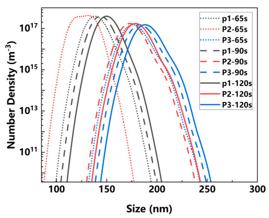
3.2. The Influence of Cooling Path on the Precipitation of
3.3. Full-Scale Disk Precipitate Evolution Simulation Analysis
4. Experimental Validation
5. Conclusions
- This study conducted an in-depth quantitative analysis of the microstructural evolution mechanisms of alloys under different cooling paths by applying an advanced precipitation kinetics model. The research indicates that a high cooling rate significantly enhances the nucleation rate, thereby accelerating the formation of the phase and broadening its primary precipitation temperature range. Regarding microstructural distribution, a high cooling rate tends to result in a unimodal distribution of the phase, whereas a low cooling rate facilitates the formation of a multimodal distribution. Additionally, during the early stages of the precipitation process, the kinetics of nucleation and growth of the phase dominate; however, in the later stages, the coarsening mechanism becomes the primary regulator of microstructural evolution.
- Describing the actual heat treatment process using average cooling rate has its limitations, as it cannot comprehensively reflect the complex effects of cooling paths on the size distribution of the phase.
- The high consistency between the temperature measurement of the actual disk components and the cooling paths predicted by finite element simulation provides precise boundary conditions for the numerical simulation of microstructural evolution.
- The precise agreement between the size of the solution-precipitated phase in full-size dual-property disk components for advanced aero-engines predicted by the kinetics model and the actual measurements from dissected components not only validates the accuracy of the model in predicting alloy microstructure but also provides an accurate and useful tool for optimizing the heat treatment process of disk components in engineering practice.
Author Contributions
Funding
Data Availability Statement
Conflicts of Interest
References
- Shi, C.; Zhong, Z. Forty years of Superalloy R & D in China. Acta Metall. Sin. 1997, 33, 1–8. [Google Scholar]
- Reed, R.C. Superalloys for Turbine Disc Applications. In The Superalloys: Fundamentals and Applications; Cambridge University Press: Cambridge, UK, 2006; pp. 217–282. ISBN 978-0-521-07011-9. [Google Scholar]
- Hwang, J.Y.; Banerjee, R.; Tiley, J.; Srinivasan, R.; Viswanathan, G.B.; Fraser, H.L. Nanoscale Characterization of Elemental Partitioning between Gamma and Gamma Prime Phases in René 88 DT Nickel-Base Superalloy. Metall. Mater. Trans. A 2009, 40, 24–35. [Google Scholar] [CrossRef]
- Tiley, J.; Viswanathan, G.B.; Hwang, J.Y.; Shiveley, A.; Banerjee, R. Evaluation of Gamma Prime Volume Fractions and Lattice Misfits in a Nickel Base Superalloy Using the External Standard X-Ray Diffraction Method. Mater. Sci. Eng. A 2010, 528, 32–36. [Google Scholar] [CrossRef]
- Wang, W.Z.; Hong, H.U.; Kim, I.S.; Choi, B.G.; Jeong, H.W.; Kim, M.Y.; Jo, C.Y. Influence of Γ′ and Grain Boundary Carbide on Tensile Fracture Behaviors of Nimonic 263. Mater. Sci. Eng. A 2009, 523, 242–245. [Google Scholar] [CrossRef]
- Veerappan, G.; Ravichandran, M.; Marichamy, S. Mechanical Properties and Machinability of Waspaloy for Aerospace Applications—Review. IOP Conf. Ser. Mater. Sci. Eng. 2018, 402, 012039. [Google Scholar] [CrossRef]
- Peng, T.; Wang, Y.; Yang, B.; Yang, G. Tensile Properties and Deformation Mechanisms of Nimonic 105 Superalloy at Different Temperatures. Mater. Sci. Eng. A 2021, 828, 142028. [Google Scholar] [CrossRef]
- Shankar, V.; Bhanu Sankara Rao, K.; Mannan, S.L. Microstructure and Mechanical Properties of Inconel 625 Superalloy. J. Nucl. Mater. 2001, 288, 222–232. [Google Scholar] [CrossRef]
- Yang, J.; Cui, J.; Cheng, J.; Xiao, L.; Guo, J. Microstructure and Mechanical Properties of a Novel Powder Metallurgy Nickel-Base Superalloy. J. Mater. Eng. Perform. 2023. [Google Scholar] [CrossRef]
- Deschamps, A.; Hutchinson, C.R. Precipitation Kinetics in Metallic Alloys: Experiments and Modeling. Acta Mater. 2021, 220, 117338. [Google Scholar] [CrossRef]
- Zhu, J.Z.; Wang, T.; Ardell, A.J.; Zhou, S.H.; Liu, Z.K.; Chen, L.Q. Three-Dimensional Phase-Field Simulations of Coarsening Kinetics of Γ′ Particles in Binary Ni–Al Alloys. Acta Mater. 2004, 52, 2837–2845. [Google Scholar] [CrossRef]
- Yenusah, C.O.; Ji, Y.; Liu, Y.; Stone, T.W.; Horstemeyer, M.F.; Chen, L.-Q.; Chen, L. Three-Dimensional Phase-Field Simulation of Γ″ Precipitation Kinetics in Inconel 625 during Heat Treatment. Comput. Mater. Sci. 2021, 187, 110123. [Google Scholar] [CrossRef]
- Balbuena, J.P.; Malerba, L.; Castin, N.; Bonny, G.; Caturla, M.J. An Object Kinetic Monte Carlo Method to Model Precipitation and Segregation in Alloys under Irradiation. J. Nucl. Mater. 2021, 557, 153236. [Google Scholar] [CrossRef]
- Kleiven, D.; Akola, J. Precipitate Formation in Aluminium Alloys: Multi-Scale Modelling Approach. Acta Mater. 2020, 195, 123–131. [Google Scholar] [CrossRef]
- Wagner, R.; Kampmann, R.; Voorhees, P.W. Homogeneous Second-Phase Precipitation. In Phase Transformations in Materials; Wiley: Hoboken, NJ, USA, 2001; pp. 309–407. ISBN 978-3-527-60264-3. [Google Scholar]
- Cao, W.; Chen, S.-L.; Zhang, F.; Wu, K.; Yang, Y.; Chang, Y.A.; Schmid-Fetzer, R.; Oates, W.A. PANDAT Software with PanEngine, PanOptimizer and PanPrecipitation for Multi-Component Phase Diagram Calculation and Materials Property Simulation. Calphad 2009, 33, 328–342. [Google Scholar] [CrossRef]
- Russell, K.C. Nucleation in Solids: The Induction and Steady State Effects. Adv. Colloid Interface Sci. 1980, 13, 205–318. [Google Scholar] [CrossRef]
- Clouet, E.; Nastar, M.; Sigli, C. Nucleation of Al 3 Zr and Al 3 Sc in Aluminum Alloys: From Kinetic Monte Carlo Simulations to Classical Theory. Phys. Rev. B 2004, 69, 064109. [Google Scholar] [CrossRef]
- Morral, J.E.; Purdy, G.R. Particle Coarsening in Binary and Multicomponent Alloys. Scr. Metall. Mater. 1994, 30, 905–908. [Google Scholar] [CrossRef]
- Semboshi, S.; Amano, S.; Fu, J.; Iwase, A.; Takasugi, T. Kinetics and Equilibrium of Age-Induced Precipitation in Cu-4 At. Pct Ti Binary Alloy. Metall. Mater. Trans. A 2017, 48, 1501–1511. [Google Scholar] [CrossRef]
- Radis, R.; Schaffer, M.; Albu, M.; Kothleitner, G.; Pölt, P.; Kozeschnik, E. Multimodal Size Distributions of Γ′ Precipitates during Continuous Cooling of UDIMET 720 Li. Acta Mater. 2009, 57, 5739–5747. [Google Scholar] [CrossRef]
- Feng, L.; Wang, T. Precipitation Modeling via the Synergy of Thermodynamics and Kinetics. Acta Metall. Sin. 2021, 57, 55–70. [Google Scholar] [CrossRef]
- Babu, S.S.; Miller, M.K.; Vitek, J.M.; David, S.A. Characterization of the Microstructure Evolution in a Nickel Base Superalloy during Continuous Cooling Conditions. Acta Mater. 2001, 49, 4149–4160. [Google Scholar] [CrossRef]
- Cheng, J.; Zhu, L.; Ma, X.; Lei, X.; Ji, H.; Guo, J. Heat treatment study on the γ” size of a novel nickel-based superalloy. Rare Met. Mater. Eng. 2022, 51, 3722–3731. Available online: http://rmme.ijournals.cn/rmmeen/article/abstract/20210853 (accessed on 1 June 2024).
- Papadaki, C.; Li, W.; Korsunsky, A.M. On the Dependence of Γ′ Precipitate Size in a Nickel-Based Superalloy on the Cooling Rate from Super-Solvus Temperature Heat Treatment. Materials 2018, 11, 1528. [Google Scholar] [CrossRef]
- McLean, D. Predicting Growth of Γ′ in Nickel Alloys. Met. Sci. 1984, 18, 249–256. [Google Scholar] [CrossRef]
- Wu, H.; Zhuang, X.; Nie, Y.; Li, Y.; Jiang, L. Effect of Heat Treatment on Mechanical Property and Microstructure of a Powder Metallurgy Nickel-Based Superalloy. Mater. Sci. Eng. A 2019, 754, 29–37. [Google Scholar] [CrossRef]
- Klepser, C.A. Effect of Continuous Cooling Rate on the Precipitation of Gamma Prime in Nickel-Based Superalloys. Scr. Metall. Mater. 1995, 33, 589–596. [Google Scholar] [CrossRef]
- Furrer, D.U.; Fecht, H.-J. Γ′ Formation in Superalloy U720LI. Scr. Mater. 1999, 40, 1215–1220. [Google Scholar] [CrossRef]
- Wen, Y.H.; Simmons, J.P.; Shen, C.; Woodward, C.; Wang, Y. Phase-Field Modeling of Bimodal Particle Size Distributions during Continuous Cooling. Acta Mater. 2003, 51, 1123–1132. [Google Scholar] [CrossRef]
- Singh, A.R.P.; Nag, S.; Hwang, J.Y.; Viswanathan, G.B.; Tiley, J.; Srinivasan, R.; Fraser, H.L.; Banerjee, R. Influence of Cooling Rate on the Development of Multiple Generations of Γ′ Precipitates in a Commercial Nickel Base Superalloy. Mater. Charact. 2011, 62, 878–886. [Google Scholar] [CrossRef]
- Singh, A.R.P.; Nag, S.; Chattopadhyay, S.; Ren, Y.; Tiley, J.; Viswanathan, G.B.; Fraser, H.L.; Banerjee, R. Mechanisms Related to Different Generations of Γ′ Precipitation during Continuous Cooling of a Nickel Base Superalloy. Acta Mater. 2013, 61, 280–293. [Google Scholar] [CrossRef]
- Wen, Y.H.; Wang, B.; Simmons, J.P.; Wang, Y. A Phase-Field Model for Heat Treatment Applications in Ni-Based Alloys. Acta Mater. 2006, 54, 2087–2099. [Google Scholar] [CrossRef]
- Shahriari, D.; Sadeghi, M.H.; Akbarzadeh, A. Γ′ Precipitate Dissolution during Heat Treatment of Nimonic 115 Superalloy. Mater. Manuf. Process. 2009, 24, 559–563. [Google Scholar] [CrossRef]
- Papon, P.; Leblond, J.; Meijer, P.H.E. The Physics of Phase Transitions: Concepts and Applications; Springer: Berlin/Heidelberg, Germany, 2006; p. 409. [Google Scholar]
- Wagner, C. Theorie Der Alterung von Niederschlägen Durch Umlösen (Ostwald-Reifung). Z. Elektrochem. Berichte Bunsenges. Phys. Chem. 1961, 65, 581–591. [Google Scholar] [CrossRef]
- Li, F.; Fu, R.; Yin, F.; Feng, D.; Wang, H.; Tian, Z.; Du, G.; Feng, Y. Impact of Solution Heat Treatment on Microstructure and Creep Behavior of a Novel Cast & Wrought FGH4096 Turbine Disk Alloy. Mater. Sci. Eng. A 2017, 696, 273–282. [Google Scholar] [CrossRef]
- Laurence, A.; Cormier, J.; Villechaise, P.; Billot, T.; Franchet, J.-M.; Pettinari-Sturmel, F.; Hantcherli, M.; Mompiou, F.; Wessman, A. Impact of the Solution Cooling Rate and of Thermal Aging on the Creep Properties of the New Cast & Wrought René 65 Ni-Based Superalloy. In Proceedings of the 8th International Symposium on Superalloy 718 and Derivatives, Pittsburgh, PA, USA, 28 September–1 October 2014; pp. 333–348. [Google Scholar]
- Zhu, L.; Pan, H.; Cheng, J.; Xiao, L.; Guo, J.; Ji, H. Dendrite Evolution and Quantitative Characterization of Γ′ Precipitates in a Powder Metallurgy Ni-Based Superalloy by Different Cooling Rates. J. Alloys Compd. 2022, 918, 165677. [Google Scholar] [CrossRef]
- Li, P.; Chen, L.; Bu, H.; Zeng, Y.; Li, S.; Wang, C. Effect of Cooling Rate on the Morphological Changes in the Secondary γ’ Precipitation in FGH97 Nickel-Based PM Superalloy. Intermetallics 2024, 171, 108344. [Google Scholar] [CrossRef]
- Huang, H.; Zhang, H.; Hu, B.; Wang, H.; Liu, G. Study on Γ′ Precipitation Behavior in a Nickel-Based PM Superalloy during Interrupted Continuous Cooling. Intermetallics 2020, 116, 106659. [Google Scholar] [CrossRef]
- Masoumi, F.; Shahriari, D.; Jahazi, M.; Cormier, J.; Devaux, A. Kinetics and Mechanisms of Γ′ Reprecipitation in a Ni-Based Superalloy. Sci. Rep. 2016, 6, 28650. [Google Scholar] [CrossRef]
- Gayda, J.P.; Lemsky, J. Assessment of NASA Dual Microstructure Heat Treatment Method for Multiple Forging Batch Heat Treatment. 2004. Available online: https://ntrs.nasa.gov/citations/20040040179 (accessed on 1 June 2024).
- Mourer, D.P.; Williams, J.L. Dual Heat Treat Process Development for Advanced Disk Applications. In Proceedings of the International Symposium on Superalloys, Champion, PA, USA, 19–23 September 2004; pp. 401–407. [Google Scholar] [CrossRef]
- Ganesh, S.; Tolbert, R.G. Differentially Heat Treated Article, and Apparatus and Process for the Manufacture Thereof. US Patent 5,527,020, 18 June 1996. [Google Scholar]
- Gayda, J.; Gabb, T.P.; Kantzos, P.T. Heat Treatment Devices and Method of Operation Thereof to Produce Dual Microstructure Superalloy Disks. 2003. Available online: https://ntrs.nasa.gov/citations/20040015213 (accessed on 1 June 2024).
- Gayda, J.; Gabb, T.; Kantzos, P.; Furrer, D. Low Cost Heat Treatment Process for Production of Dual Microstructure Superalloy Disks. 2003. Available online: https://ntrs.nasa.gov/api/citations/20030022720/downloads/20030022720.pdf (accessed on 1 June 2024).





















| Element | Al | Co | Cr | Mo | Nb | Ti | W | Ta | Hf | Ni |
|---|---|---|---|---|---|---|---|---|---|---|
| Wt.% | 3.0 | 19 | 13 | 4.0 | 1.2 | 3.7 | 4.0 | 1.0 | 0.2 | bal. |
| Time (min) | Cooling Path 1 | Cooling Path 2 | Cooling Path 3 |
|---|---|---|---|
| Temperature (°C) | Temperature (°C) | Temperature (°C) | |
| 0 | 1160 | 1160 | 1160 |
| 3 | 920 | 980 | 1040 |
| 6 | 800 | 800 | 800 |
| Steps: | Details: |
|---|---|
| Experimental preparation: | 1. Drill temperature measurement holes, and record the temperature at the measurement points 2. Place the turbine disk, and assemble the heat-insulating tooling As show in Figure 18a |
| Experimental equipment: | Trolley furnace |
| Experimental process: | As show in Figure 18b |
| Measurement Location | Point 1 | Point 2 | Point 3 |
|---|---|---|---|
| Measured (nm) | 150 | 185 | 189 |
| Calculated (nm) | 145 | 173 | 184 |
Disclaimer/Publisher’s Note: The statements, opinions and data contained in all publications are solely those of the individual author(s) and contributor(s) and not of MDPI and/or the editor(s). MDPI and/or the editor(s) disclaim responsibility for any injury to people or property resulting from any ideas, methods, instructions or products referred to in the content. |
© 2024 by the authors. Licensee MDPI, Basel, Switzerland. This article is an open access article distributed under the terms and conditions of the Creative Commons Attribution (CC BY) license (https://creativecommons.org/licenses/by/4.0/).
Share and Cite
Liu, Z.; Cheng, J.; Wang, C.; Guo, J. Quantitative Microstructure Prediction of Powder High-Temperature Alloy during Solution Heat Treatment and Its Validation. Metals 2024, 14, 769. https://doi.org/10.3390/met14070769
Liu Z, Cheng J, Wang C, Guo J. Quantitative Microstructure Prediction of Powder High-Temperature Alloy during Solution Heat Treatment and Its Validation. Metals. 2024; 14(7):769. https://doi.org/10.3390/met14070769
Chicago/Turabian StyleLiu, Zhaofeng, Junyi Cheng, Chao Wang, and Jianzheng Guo. 2024. "Quantitative Microstructure Prediction of Powder High-Temperature Alloy during Solution Heat Treatment and Its Validation" Metals 14, no. 7: 769. https://doi.org/10.3390/met14070769
APA StyleLiu, Z., Cheng, J., Wang, C., & Guo, J. (2024). Quantitative Microstructure Prediction of Powder High-Temperature Alloy during Solution Heat Treatment and Its Validation. Metals, 14(7), 769. https://doi.org/10.3390/met14070769

