Abstract
The traditional blast furnace ironmaking process is the most widely used ironmaking process globally, yet it is associated with significant drawbacks, including high energy consumption and carbon emissions. To achieve low-carbon ironmaking, researchers have developed hydrogen ironmaking, which is capable of achieving lower CO2 emissions. Nevertheless, the distribution behavior of impurities has been less studied in the existing research on hydrogen ironmaking. Therefore, in this study, the factors affecting the slag properties and distribution of impurity elements during hydrogen ironmaking were investigated using FactSage, and smelting experiments were carried out. The results show that temperature has the greatest influence on the distribution behavior of the impurities, and excessively elevated temperatures result in the ingress of a significant quantity of impurities into the reduced iron. Reduced iron with a purity of 98.52% was obtained under the conditions of 10%, 10%, 2%, and 2% ratios of CaO, SiO2, MgO, and Al2O3, respectively, a hydrogen flow rate of 12 mL/min, and a temperature of 1400 °C; Lg L Mg, Lg L Al, Lg L Si, and Lg L Ca were 2.72, 2.41, 3.36, and 2.45, respectively (“L” stands for slag-to-metal ratio). The slag was mainly dominated by the silicate, and the iron was mainly lost in the form of mechanical inclusions in the slag. This study will enrich the basic theory of hydrogen ironmaking and is of great significance for the realization of carbon neutralization.
1. Introduction
Steel has an important position in the national economy [1] and is widely used in construction [2], machinery [3], railway tracks [4], ships [5], and other industries. However, ironmaking is one of the industries with high carbon emissions [6,7,8]. According to public data statistics, from 2013 to 2023, China’s crude steel production grew from 813 million tons to 1020 million tons, an increase of 25%. The steel industry’s annual CO2 emissions of 1.8 billion tons accounted for 16.02% of China’s total CO2 emissions [9], which is the largest carbon emission industry in the manufacturing industry. Ironmaking is the “leading” process in the steel industry, which is a major consumer of energy and emissions. It can be seen that low-carbon ironmaking is the key to determine the competitiveness of future iron and steel enterprises.
Significant progress has been made by metallurgists in reducing carbon emissions from the ironmaking process. For instance, large-scale steel enterprises in China, such as Baowu Steel Group Corporation Ltd. (Shanghai, China), have successfully implemented innovative technologies like oxygen-rich smelting in a blast furnace with top gas circulation, blowing coke oven gas, microwave sintering, and hydrogen-rich smelting in a blast furnace. After many years of effort, the energy consumption of blast furnace iron smelting and carbon emissions have approached the world’s advanced level [10,11,12]. However, due to the inherent characteristic of blast furnaces requiring the consumption of large amounts of coke, carbon emission reduction has reached a bottleneck. The United States, Japan, Germany, Sweden, and other countries have carried out research on “non-blast furnace ironmaking”, and a series of new processes such as “direct reduction” and “molten reduction” have emerged. These include gas-based processes that use reformed natural gas as a reductant (Midrex [13,14] and Hyl [15] methods), as well as coal-based processes that utilize non-coking coal as a reductant (Fastmet/Fastmelt and ITmk3 methods [16,17,18]). These non-blast furnace ironmaking processes can avoid the production of approximately 10 million tons of SOX and 5 million tons of NOX gases per year from the sintering and pelletizing processes. which has a better emission reduction effect. However, in China, large-scale non-blast furnace iron smelting is currently limited to a few processes, such as Baowu Steel’s Corex furnace and the Shandong Molong HIsmelt process. It is particularly challenging to achieve further reductions in carbon emissions within these processes, and the original technologies were sourced from abroad [19].
Based on the minimization of Gibbs free energy, Karam Jabbou [20] established a thermodynamic model using HSC 7.1 Chemistry software to determine the optimal molar ratio for the highest degree of reduction of iron oxide to metal, and the results showed that Fe2O3 cannot be directly reduced to Fe, but a series of H2-induced reduction steps and other side reactions occur, resulting in partially reduced iron oxide. The optimized molar ratio of Fe2O3 to H2 must exceed 0.25:3 to favor the reduction of FeO to Fe. At the same time, Tahari [21] found that in the complete reduction of Fe2O3 to Fe, 10% H2, 20% H2, and 10% CO follow three steps: Fe2O3-Fe3O4-FeO-Fe; 40% CO promotes carburization and the formation of austenite with a slower rate of reduction, which suggests that H2 has a stronger reducing power than CO. Scharm, Christoph [22] investigated the direct reduction of individual iron ore pellets under hydrogen and carbon monoxide atmospheres at temperatures and atmospheric pressures ranging from 800 °C to 1100 °C. The results showed that the reduction process under a H2 atmosphere had a higher reduction rate and higher RSI (reduction swelling index) than under a CO atmosphere. Higher temperatures led to faster reduction processes and to significant changes in the structural composition of the reduced particles. The results of Souza Filho’s [23] research demonstrate a notable enhancement in hydrogen efficiency and energy consumption during the iron ore reduction process, achieved through the integration of two distinct techniques. The two techniques employed were direct reduction (DR) in the solid state and hydrogen plasma reduction (HPR). Partial reduction experiments were conducted on hematite pellets at 700 °C through DR, resulting in an overall reduction of 38%. Subsequently, the pellets were transferred to an HPR process, where they were exposed to an Ar-10%H2 gas mixture in an arc furnace in order to achieve complete conversion to liquid iron. The study also identified a phenomenon known as “reduction stagnancy”, which occurs at 800 °C. This phenomenon is caused by the formation of a metallic iron layer around the periphery of the melting pellets, which hinders the ingress of reducing gases. This phenomenon has been observed in previous studies, including those referenced in [24,25]. Masab Naseri Seftejani [26] employed hydrogen plasma smelting reduction to investigate the reduction of iron oxides and the formation of slag during the reduction process. Hydrogen was employed to reduce a range of iron ore and calcined lime mixtures, with alkalinity values of 0, 0.8, 1.6, 2.3, and 2.9. The results demonstrated that the utilization of hydrogen was initially high during the reduction process, before gradually declining with increasing operating time. Conversely, hydrogen utilization can remain stable in continuous feeding experiments. The highest reduction and hydrogen utilization were achieved when using a slag with an alkalinity of 2.3.
In the current non-blast furnace ironmaking processes, hydrogen ironmaking has become one of the primary smelting methods. While most scholars have conducted in-depth studies on the mechanisms of hydrogen reduction in ironmaking and its advantages, the unpredictable behavior of impurities and the consequent decrease in iron purity are often overlooked. In response to this situation, this study aims to investigate the behavior of impurities during the hydrogen ironmaking process and to explore effective methods for enhancing iron purity. Therefore, based on the optimization of slag properties and phase equilibrium calculations using FactSage, corresponding smelting experiments were carried out in this study to investigate the hydrogen reduction process of ironmaking. This study is of great theoretical significance and practical value to promote the development of low-carbon ironmaking industry technology and help the iron and steel industry to achieve the strategic goal of “carbon peaking and carbon neutrality”.
2. Experiment
2.1. Experimental Materials
The experimental raw material (iron ore powder) was obtained from a smelter in the south of China, The chemical compositions of the iron ore are presented in Table 1. The results showed that the total iron content of the raw material was 50.84%, in addition to 0.91%, 0.83%, 2.74%, and 6.85% of the elements Mg, Al, Si, and Ca, respectively. From the X-ray diffraction pattern of the raw materials, as shown in Figure 1, it can be clearly observed that several diffraction peaks are related to Fe2O3 and Fe2SiO4. Figure 2 shows the distribution of major elements in iron ore powder, revealing a uniform distribution of Fe, while Al, Ca, and Mg are sparsely distributed throughout the ore.
Table 1.
Main chemical composition of the iron ore powder.
Figure 1.
X-ray diffraction pattern of the iron ore powder.
Figure 2.
Distribution maps of the main elements present in the iron ore powder.
2.2. Experimental Methods
The effect of slag (CaO-SiO2-Al2O3-MgO) composition on its melting point and on its viscosity and impurity element partitioning behavior was calculated using the Equilib and Viscosity modules in the thermodynamic software FactSage 8.1, respectively. A distribution ratio L was introduced to characterize the distribution behavior of impurity elements between slag and molten iron. The formula for calculating the distribution ratio L is as follows:
A sample of 2 g of iron ore powder was measured and combined with appropriate amounts of 10% CaO, 10% SiO2, 2% Al2O3, and (1–5%) MgO. The mixture was then transferred into a mortar and ground to achieve a homogeneous mixture. Subsequently, the mixed powder was poured into a graphite crucible and placed in a tube furnace (GSL-1700X-S, from KeJing Materials Technology Ltd., Hefei, China), and hydrogen was introduced into the furnace. A temperature control program was set with a heating and cooling rate of 5 °C/min, and heating was initiated. After the temperature was reduced to 50 °C, the crucible was taken out and the slag and metal were separated for testing. The CaO, SiO2, Al2O3, and MgO used in this experiment were all analytically pure (≥99%, all from XiLong Scientific Ltd., Shantou, China). In the reduction process, hydrogen acted as a reducing agent and argon was not involved in the reaction. When the target temperature was reached, the reducing gas was passed and held for two hours. The reducing gas was a mixture of H2 with 10% H2 and 90% Ar from Yingde City Xizhou Gas Co., Ltd., China., The gas flow was 120 mL/min.
2.3. Analysis Method
The main phases of the samples were identified by means of XRD (PANalytical X’Pert Pro Powder, Almelo, The Netherlands) using a Cu Kα radiation source with a 40 kV Jade 6.5 software. The morphology and element distribution behaviors in the smelting products were determined using scanning electron microscopy–energy dispersive spectroscopy (SEM–EDS) (MIRA 3 LMH, TESCAN Brno, S.r.o, Brno, Czech Republic). Fe concentrations were analyzed using inductively coupled plasma optical emission spectroscopy (ICP–OES, Perkin Elmer Optima 7100DV, Waltham, MA, USA).
3. Theoretical Analyses
The viscosity of the slag determines its separation effect from the metal: high-viscosity slag will hinder the effective separation of the metal and slag, while the appropriate viscosity helps to improve the separation efficiency. Since slag viscosity and melting point have a strong influence on the reduction process, the main purpose of using thermodynamic calculations is to select appropriate slag components and test temperatures for subsequent experiments, ensuring that both slag and metal are in liquid phase and that the slag has lower viscosity, in order to achieve the good fluidity of the slag and the complete separation of the slag and metal. Therefore, before the experiment, FactSage was used to simulate the phase equilibrium of the CaO-MgO-Al2O3-SiO2 system, as well as the effects of different factors such as CaO/SiO2, MgO, and Al2O3 on the liquidus temperature and viscosity, and the distribution of Ca, Si, Al, and Mg in the slag and metal.
3.1. Phase Diagram of CaO-SiO2-Al2O3-8wt%MgO Slag System
The phase diagram for the CaO-SiO2-Al2O3-8wt%MgO slag system was constructed utilizing FactSage 8.1, with the findings delineated in Figure 3. From the phase diagram of the CaO-SiO2-Al2O3-8%MgO slag system, it can be seen that the area of the liquid phase region gradually expands with the increase in temperature. When the temperature is 1400 °C, the liquid phase region is small, and the liquid phase composition is mainly calcium silicate salt. As the temperature rises, the liquid phase region gradually becomes larger, mainly towards the direction of the Al2O3 apex, which is because as the temperature rises, the calcium silicate in the slag melts together with other components to form a larger liquid phase region. This shows that increasing the temperature favors the reduction and smelting of iron.
Figure 3.
Phase diagram of CaO-SiO2-Al2O3-8%MgO.
3.2. Slag Melting Point and Viscosity
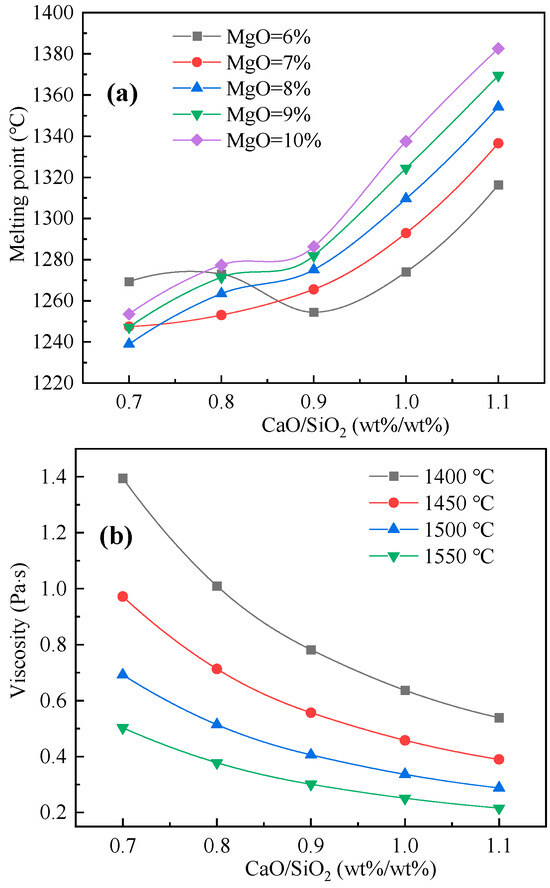
3.2.1. Effect of CaO/SiO2 on Slag Melting Point and Viscosity
The effect of the CaO/SiO2 ratio on the melting point of slag was calculated using the Equilib module in FactSage, with the Al2O3 content kept constant at 12%, as depicted in Figure 4a. The results indicate that, in most cases, the melting point of the slag increased with an increase in the CaO/SiO2 ratio. For instance, when the MgO content was 10%, the slag’s melting point rose from 1253.57 °C to 1382.57 °C as the CaO/SiO2 ratio increased from 0.7 to 1.1. When the MgO content was 6%, the melting point initially increased from 1269.3 °C (CaO/SiO2 = 0.7) to 1272.96 °C (CaO/SiO2 = 0.8), then decreased to 1254.41 °C (CaO/SiO2 = 0.9), and subsequently increased again to 1316.37 °C (CaO/SiO2 = 1.1). As the CaO/SiO2 ratio increased, high-melting-point compounds such as CaSiO3 and Ca2SiO4 formed within the slag, leading to the increase in the melting point of the slag. This makes the reduction process more energy-intensive and costly.
Figure 4.
Effect of CaO/SiO2 on the slag: (a) melting point and (b) viscosity.
The effect of CaO/SiO2 on slag viscosity was calculated using the Viscosity module in FactSage at 1400 °C, 1450 °C, 1500 °C, and 1550 °C (Al2O3 = 12%). The results are shown in Figure 4b. From the results, it can be seen that slag viscosity decreased with the increase in CaO/SiO2, and when the temperature was 1450 °C and CaO/SiO2 increased from 0.7 to 1.1, slag viscosity decreased from 0.972 Pa·s to 0.390 Pa·s. When CaO/SiO2 was lower, the SiO2 content in the slag was high, and SiO2 combined with each other to form a more stable reticular structure, which led to an increase in the viscosity of the slag. In contrast, viscosity will decrease with increasing CaO addition. CaO in the molten state can dissociate O2−. Free O2− then destroys the mesh structure formed by SiO2 and reduces the viscosity [27]. A higher CaO/SiO2 ratio results in lower viscosity, which is favorable for slag–metal separation, but likewise increases the overall melting point of the system and energy consumption. Therefore, the practical effects of MgO at 1400 °C and a CaO/SiO2 ratio of 1 were selectively explored during the actual experiments.
3.2.2. Effect of MgO and Al2O3 on Slag Melting Point and Viscosity
The Equilib module in FactSage was employed to calculate the melting points of MgO and Al2O3 in slag with a CaO/SiO2 of 1. The results are depicted in Figure 5. It was noted that the melting point of the slag increased as the MgO content rose from 6% to 10% when the Al2O3 exceeded 8%. For instance, at an Al2O3 content of 12%, the melting point of the slag ascended from 1273.98 °C to 1337.48 °C as the MgO content increased from 6% to 10%. Conversely, at an Al2O3 content of 8%, the melting point of the slag initially decreased from 1343.42 °C to 1319.09 °C and subsequently increased to 1372.62 °C as the MgO content was raised from 6% to 10%. Furthermore, Figure 5 illustrates a decreasing trend in the slag melting point with an augmentation in Al2O3 content. Specifically, when the MgO content was kept constant at 8%, the slag melting point diminished from 1338.94 °C to 1309.6 °C as the alumina content was elevated from 8% to 12%.
Figure 5.
Effect of MgO and Al2O3 content on the slag melting point.
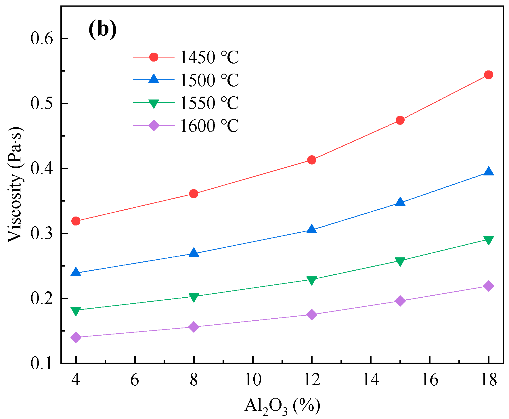
The effect of MgO and Al2O3 content on slag viscosity was calculated using the Viscosity module in FactSage from 1450 °C to 1600 °C, respectively. Figure 6a shows the effect of MgO on slag viscosity, calculated with CaO/SiO2 of 1 and Al2O3 content of 15%. As can be seen from Figure 6a, the viscosity of the slag showed a decreasing trend with the increase in MgO content at 1450~1600 °C. When the temperature was at 1450 °C, slag viscosity decreased from 0.44 Pa·s to 0.25 Pa·s as the MgO content increased from 4% to 12%. Figure 6b shows the effect of Al2O3 content on slag viscosity, which is calculated with CaO/SiO2 of 1 and MgO content of 6%. From the results, it can be seen that slag viscosity showed an increasing trend with the increase in Al2O3 content at 1450~1600 °C. Slag viscosity increased from 0.32 Pa·s to 0.54 Pa·s when the Al2O3 content in the slag increased from 4% to 18% at 1450 °C. It can also be seen from Figure 6a,b that the increase in the temperature is also favorable to the decrease in viscosity.

Figure 6.
Effect of (a) MgO and (b) Al2O3 content on slag viscosity.
3.3. Distribution of Ca, Si, Al, and Mg
Effect of CaO content:
Setting the temperature at 1600 °C and inputting 100 g of Fe2O3 as raw material and 20 g of H2, 9% of SiO2 (9% of SiO2 means SiO2/Fe2O3 = 9%, SiO2 = 9 g), 5% of Al2O3, and 5% of MgO, the changes in the distribution of Ca, Si, Al, and Mg in molten iron and slag were investigated when CaO was in the range 7~13%. The results are shown in Figure 7a, where it can be seen that with the increase in CaO from 7 to 13%, Lg L Ca and Lg L Mg decreased from 5.74 and 4.36 to 5.26 and 4.04, respectively, and Lg L Al and Lg L Si increased from 6.12 and 5.34 to 6.21 and 6.01, respectively.
Figure 7.
Effect of (a) CaO, (b) SiO2, (c) Al2O3, (d) MgO, and (e) temperature on the distribution of Ca, Si, Al, and Mg.
Effect of SiO2 content:
Under the condition of a temperature of 1600 °C, 100 g of Fe2O3 as raw material and 20 g of H2, 10% of CaO, 5% of Al2O3, and 5% of MgO were input to investigate the effect of SiO2 at 7~13% on the distribution of Ca, Si, Al, and Mg in molten iron and slag. The results are shown in Figure 7b. From Figure 7b, it can be seen that with the increase in SiO2 from 7 to 13%, Lg L Ca and Lg L Mg showed an increasing trend from 5.26 and 4.04 to 5.89 and 4.51, respectively, while Lg L Al and Lg L Si decreased from 6.21 and 6.00 to 6.17 and 5.04, respectively.
Effect of Al2O3 content:
The effect of Al2O3 content (3~7%) on the distribution of Ca, Si, Al, and Mg in the molten iron and slag was investigated by inputting 100 g of Fe2O3 as raw material and 20 g of H2, 10% of SiO2, 10% of CaO, and 5% of MgO at a temperature of 1600 °C. The results are shown in Figure 7c. From the results, it can be seen that as the Al2O3 content increased from 3 to 7%, Lg L Al decreased from 6.22 to 6.11, and Lg L Si, Lg L Mg, and Lg L Ca increased from 5.44, 4.25, and 5.56 to 5.50, 4.29, and 5.60, respectively.
Effect of MgO content:
At a temperature of 1600 °C, 100 g of Fe2O3 as raw material and 20 g of H2, 10% of SiO2, 10% of CaO, and 3% of Al2O3 content were input to investigate the effect of MgO content (0.5~2.5%) on the distribution of Ca, Si, Al, and Mg in the molten iron and slag, and the results are shown in Figure 7d. From Figure 7d, it can be seen that as the MgO content increased from 0.5 to 2.5%, Lg L Ca and Lg L Mg decreased from 5.92 and 4.69 to 5.77 and 4.49, respectively, and Lg L Si and Lg L Al increased from 4.91 and 6.01 to 5.17 and 6.11, respectively.
Effect of temperature content:
The calculation conditions were 100 g of Fe2O3, 20 g of H2, 10% of SiO2, 10% of CaO, 3% of MgO, and 5% of Al2O3. The distribution behaviors of Ca, Si, Al, and Mg in molten iron and slag were investigated under the condition of a temperature of 1550~1750 °C. The results are shown in Figure 7e. From Figure 7e, it can be seen that as the temperature increases from 1500 °C to 1750 °C, Lg L Ca, Lg L Si, Lg L Al, and Lg L Mg decrease from 5.81, 5.20, 6.07, and 4.47 to 4.37, 4.20, 5.09, and 3.22, respectively.
4. Experimental Results
4.1. Effect of MgO Content
Weighing 2 g of iron ore powder and 10% of SiO2 (0.2 g), 10% of CaO and 2% of Al2O3 were added, the flow rate of hydrogen was 12 mL/min, and the temperature was kept at 1400 °C for 2 h to explore the effect of 1%, 2%, 3%, 4%, and 5% of MgO on reduction smelting. In this paper, the purity of the reduced iron was defined as the Fe content in the metal. After the reduction reaction, the slag and metal separated. The thermodynamic calculations in Figure 4a show that the final slag in the 1400 °C was full liquid. In addition, it can be seen from the Fe-C phase diagram that the metal in this condition was also in the full liquid phase at 1400 °C, making it easy to achieve slag–metal separation. So iron purity can be easily determined by the Fe content in the metals. Figure 8 shows the effect of MgO on the purity of the metal. It was found that the purity of reduced iron showed irregular variations when the MgO content was varied from 1 to 5%, but the purity of reduced iron was always above 92%, with a maximum of 96.39%.
Figure 8.
Effect of MgO content on iron purity.
The reduced iron with a MgO content of 2% and 4% was examined using EDS and the results are shown in Figure 9 and Table 2 and Table 3. The C content in the reduction was 3.93 wt.%, determined using a carbon and sulfur analyzer. From the Fe-C phase diagram, the metal is in a pure liquid phase at 1400 °C. The microstructure of reduced iron was Fe content phase and Fe3C, as shown in Figure 9. Due to the use of graphite crucibles in the experiment, the metal underwent carburization and Fe3C precipitated during the cooling process. It can be observed from Table 2 and Table 3 that the average contents of Mg, Al, Si, and Ca of the reduced iron produced by a MgO content of 2% were 0.04 wt%, 0.01 wt%, 0.55 wt%, and 0.02 wt%, respectively. The average contents of Mg, Al, Si, and Ca of the reduced iron produced by a magnesium oxide content of 4% were 0.07 wt%, 0.03 wt%, 0.32 wt%, and 0.02 wt%, respectively. The output slag was analyzed using XRD and the results are shown in Figure 10, revealing that the composition of the slag was mainly Ca3(Si3O9) and Mg0.8Ca0.2SiO3.
Figure 9.
Electron microscope images of reduced iron ((a) 2% MgO and (b) 4% MgO).
Table 2.
Elemental composition of the regions in Figure 9a.
Table 3.
Elemental composition of the regions in Figure 9b.
Figure 10.
X-ray diffraction pattern of the slag.
4.2. Effect of Smelting Temperature
The effect of different temperatures on reductive smelting was investigated at 2 g of iron ore powder with 10%, 10%, 2%, and 2% of CaO, SiO2, MgO, and Al2O3, respectively. Figure 11 shows the photographs of the samples after smelting at 1300 °C and 1450 °C. It was found that the slag and reduced iron produced were purer under the higher temperature conditions. The purity of the reduced iron was also ascertained, with the corresponding data presented in Figure 12. This analysis reveals that the purity of the reduced iron diminished when it was produced at lower temperatures. For example, when the temperature was 1300 °C, the purity of the reduced iron was only 93.61%; as the temperature increased, the purity of the reduced iron gradually increased, and when the temperature was 1400 °C, the purity of the reduced iron was 98.52%. However, when the temperature increased further to 1450 °C, the purity of the reduced iron dropped to 96.75%.
Figure 11.
Samples from reduction smelting ((a) 1300 °C and (b) 1450 °C).
Figure 12.
Effect of temperature on iron purity.
The slag produced at a temperature of 1400 °C was analyzed using EDS to determine the composition and content of different regions in the reduced slag; the results are shown in Figure 13 and Table 4. Points 1, 2, 3, and 4 in Figure 13 are the metallic phase domains with Fe as the major element, with more than 95% of Fe in points 1, 2, and 3. This indicates that these regions are iron lost to the slag by mechanical inclusions. Points 5, 6, 7, and 8 are black areas of the slag phase, which are mainly composed of Si, Ca, and Al, indicating that the main components of the slag are calcium silicate and aluminum silicate, and the content of Fe elements in these areas is almost zero, so it can be seen that the iron oxide is almost completely reduced.
Figure 13.
Electron microscope image of slag.
Table 4.
Elemental composition of the regions in Figure 13.
The reduced iron produced at 1400 °C and 1450 °C was analyzed using EDS and the results are shown in Figure 14 and Table 5 and Table 6. From the results, it was found that the average Fe content of the reduced iron produced at 1400 °C was 94.72 wt%, and the average contents of Mg, Al, Si, and Ca were 0.08 wt%, 0.02 wt%, 0.46 wt%, and 0.05 wt%, respectively. The average Fe content of the reduced iron produced at 1450 °C was 88.75 wt%, and the average contents of Mg, Al, Si, and Ca were 0.12 wt%, 0.08 wt%, 0.69 wt%, and 0.11 wt%, respectively. This indicates that the smelting temperature is too high, which will cause more impurities to enter into the iron. Reduced iron and slag at 1400 °C were subjected to an ICP analysis of the dissolved samples, and the results are shown in Table 7. Lg L Mg, Lg L Al, Lg L Si, and Lg L Ca were 2.72, 2.41, 3.36, and 2.45, respectively.
Figure 14.
Electron microscope images of reduced iron ((a) 1400 °C and (b) 1450 °C).
Table 5.
Elemental composition of the regions in Figure 14a.
Table 6.
Elemental composition of the regions in Figure 14b.
Table 7.
Impurity elemental content of slag to metal and partition ratio at 1400 °C.
5. Conclusions
- (1)
- Equilibrium calculations and melting experiments collectively illustrate that excessively high smelting temperatures introduce a substantial amount of impurities into the iron matrix, thereby markedly reducing its purity. In order to enhance the purity of the reduced iron, it is imperative to avoid temperatures that are excessively elevated. When the ratios of CaO, SiO2, MgO, and Al2O3 were 10%, 10%, 2%, and 2%, respectively, the flow rate of hydrogen was 12 mL/min, and the temperature reached 1400 °C, the purity of the reduced iron obtained was 98.52%, and Lg L Mg, Lg L Al, Lg L Si, and Lg L Ca were 2.72, 2.41, 3.36, and 2.45, respectively. The slag was predominantly silicate-based, with the iron present in the slag primarily in the form of mechanical entrainment loss. This can be addressed by reducing the viscosity of the slag, thereby facilitating the efficient recovery of iron.
- (2)
- It was found through thermodynamic computational simulations that increasing CaO/SiO2 and MgO in the slag can effectively reduce slag viscosity, but it will cause the slag melting point to rise, whereas increasing Al2O3 in the slag will cause slag viscosity to rise, but it can reduce the slag melting point.
- (3)
- Through the phase equilibrium calculation, it is found that changing the slag composition and temperature has a great influence on the distribution behavior of impurity elements, and between the two, temperature has the greatest influence. Raising the smelting temperature causes an increase in the content of impurity elements in the reduced iron.
Author Contributions
Conceptualization, F.L.; methodology, H.W. and H.Z.; formal analysis, H.W. and H.Z.; investigation, H.W. and H.Z.; data curation, H.W.; writing—original draft preparation, H.W.; writing—review and editing, F.L. and J.L.; supervision, F.L., H.Z., J.L. and C.L.; project administration, F.L., J.W., and C.L.; funding acquisition, F.L. and J.W. All authors have read and agreed to the published version of the manuscript.
Funding
This work was funded by the China Baowu Low Carbon Metallurgy Innovation Foundation (BWLCF202121), the Training Plan for Academic and Technical Leaders of Major Disciplines in Jiangxi Province (20225BCJ23009), the Natural Science Foundation for Distinguished Young Scholars of Jiangxi Province (No. 20232ACB214006), the Program of Qingjiang Excellent Young Talents, Jiangxi University of Science and Technology (No. JXUSTQJYX2019006), and the Jiangxi Provincial Key Laboratory of Flash Green Development and Recycling (No. 20193BCD40019).
Data Availability Statement
The original contributions presented in the study are included in the article; further inquiries can be directed to the corresponding authors.
Conflicts of Interest
The authors declare no conflicts of interest. The funders had no role in the design of the study; in the collection, investigation, analyses, or interpretation of the data; in the writing of the manuscript; or in the decision to publish the results.
References
- Xing, Y.; Zhang, W.; Su, W. Research of ultra-low emission technologies of the iron and steel industry in China. Chin. J. Eng. 2021, 43, 1–9. [Google Scholar]
- Sullivan, K.; Kara, D. Peterman. A review of adhesive steel-to-steel connections for use in heavy construction. J. Constr. Steel Res. 2024, 213, 108405. [Google Scholar] [CrossRef]
- Beata, B.; Robert, J.; Łukasz, K.; Łukasz, S. Analysis of the properties of hardox extreme steel and possibilities of its applications in machinery. Metals 2021, 11, 162. [Google Scholar] [CrossRef]
- Frederick, A.; Mehran Shahhosseini, M. Affan Badar Christopher, J. Kluse. A study on factors affecting the wear of steel track undercarriage. J. Qual. Maint. Eng. 2023, 29, 622–639. [Google Scholar]
- Shang, G.; Xu, L.; Li, Z.; Zhuo, Z.; Xu, Z. Digital-twin-based predictive compensation control strategy for seam tracking in steel sheets welding of large cruise ships. Robot. Comput.-Integr. Manuf. 2024, 88, 102725. [Google Scholar] [CrossRef]
- Wang, K.; Liu, S.; Liu, K.; Dan, M.; Ji, X.; Lu, Y.; Xing, Y. Tracking Carbon Flows in China’s Iron and Steel Industry. Environ. Sci. Technol. 2023, 57, 11510–11519. [Google Scholar] [CrossRef] [PubMed]
- Zhang, Q.; Zhang, W.; Wang, Y.; Xu, J.; Cao, X. Potential of energy saving and emission reduction and energye fficiency improvement of China’s steel industry. Iron Steel 2019, 54, 7–14. [Google Scholar]
- Zhao, P.; Dong, P. Carbon emission cannot be ignored in future of Chinese steel industry. Iron Steel 2018, 53, 1–7. [Google Scholar]
- ShangGuan, F.; Zhou, J.; Wang, H. Climate change and decarbonization development of steel industry. Iron Steel 2021, 56, 1–6. [Google Scholar]
- Zhang, F. China’s Technical Progress in 5000 m³ BF and Operational Performance. Iron Steel 2021, 40, 1–8. [Google Scholar]
- Wang, L.; Guo, P.; Kong, L. Analysis on carbon emission reduction ability of blast furnace tuyere with COG injection. Sinter. Pelletizing 2021, 46, 78–83. [Google Scholar]
- Wang, Y.; He, Z.; Zhan, W.; Zhu, H.; Zhang, H.; Pang, Q. Reduction behavior of iron-bearing burdens in hydrogen-rich stream. Iron Steel 2020, 55, 34–40. [Google Scholar]
- Salemi, S.; Torabi, M.; Haghparast, A.K. Technoeconomical investigation of energy harvesting from MIDREX® process waste heat using Kalina cycle in direct reduction iron process. Energy 2022, 239, 122322. [Google Scholar]
- Zhou, Y.; Qian, H.; Qi, Y.; Liu, D.; Feng, H. Scheme of Direct Reduction Iron Production Combined with Coal Gasification. Iron Steel 2012, 47, 27–31. [Google Scholar]
- Duarte, P.E.; Becerra, J.; Lizcano, C.; Martinis, A. ENERGIRON direct reduction technology-economical, flexible, environmentally friendly. Acero Lat. Am. 2008, 6, 52–58. [Google Scholar]
- Song, H.; Peng, B. Present Situation of Comprehensive Utilization and Research Activity of Stainless Steelmaking Dust. Multipurp. Util. Miner. Resour. 2004, 3, 18–22. [Google Scholar]
- Bizhanov, A.; Pavlov, A.; Chadaeva, O.; Dalmia, Y.; Mishra, B. High temperature reduction of the stiffvacuum extrusion briquettes under the ITmk3 conditions. ISIJ Int. 2014, 54, 1450–1452. [Google Scholar] [CrossRef]
- An, X.; Wang, J.; She, X.; Xue, Q. Mathematical model of the direct reduction of dust composite pellets containing zinc and iron. Int. J. Miner. Metall. Mater. 2013, 20, 627–634. [Google Scholar] [CrossRef]
- Zhang, J.; Zhang, G.; Liu, Z.; Wang, Z.; Li, K. Production overview and main characteristics of HIsmelt process in Shandong Molong. China Metall. 2018, 28, 37–41. [Google Scholar]
- Jabbour, K.; El Hassan, N. Optimized conditions for reduction of iron (III) oxide into metallic form under hydrogen atmosphere: A thermodynamic approach. Chem. Eng. Sci. 2022, 252, 117297. [Google Scholar] [CrossRef]
- Abu Tahari, M.N.; Salleh, F.; Tengku Saharuddin, T.S.; Samsuri, A.; Samidin, S.; Yarmo, M.A. Influence of hydrogen and carbon monoxide on reduction behavior of iron oxide at high temperature: Effect on reduction gas concentrations. Int. J. Hydrogen Energy 2021, 6, 24791–24805. [Google Scholar] [CrossRef]
- Scharm, C.; Küster, F.; Laabs, M.; Huang, Q.; Volkova, O.; Reinmöller, M.; Guhl, S.; Meyer, B. Direct reduction of iron ore pellets by H2 and CO: In-situ investigation of the structural transformation and reduction progression caused by atmosphere and temperature. Miner. Eng. 2022, 180, 107459. [Google Scholar]
- Souza Filho, I.R.; Springer, H.; Ma, Y.; Mahajan, A.; da Silva, C.C.; Kulse, M.; Raabe, D. Green steel at its crossroads: Hybrid hydrogen-based reduction of iron ores. J. Clean. Prod. 2022, 340, 130805. [Google Scholar] [CrossRef]
- Xu, C.; Xu, A.; Zhang, J.; Liu, Z.; Wang, Y.; Wang, R.; Zheng, A.; Ma, L. Effect of CO–CO2 and H2–H2O on the Reduction Degree of Fluxed Pellets: Reduction Mechanism within Hydrogen-Rich Blast Furnace. Ironmak. Steelmak. 2022, 49, 932–939. [Google Scholar] [CrossRef]
- Abdelrahim, A.; Iljana, M.; Omran, M.; Vuolio, T.; Bartusch, H.; Fabritius, T. Influence of H2–H2O Content on the Reduction of Acid Iron Ore Pellets in a CO–CO2–N2 Reducing Atmosphere. ISIJ Int. 2020, 60, 2206–2217. [Google Scholar] [CrossRef]
- Seftejani, M.N.; Schenk, J.; Spreitzer, D.; Zarl, M.A. Slag Formation during Reduction of Iron Oxide Using Hydrogen Plasma Smelting Reduction. Materials 2020, 13, 935. [Google Scholar] [CrossRef]
- Lv, J.; Jin, Z.; Yang, H.; Tong, L.; Chen, G.; Xiao, F. Effect of the CaO/SiO2 mass ratio and FeO content on the viscosity of CaO-SiO2-“FeO”-12wt%ZnO-3wt%Al2O3 slags. Int. J. Miner. Metall. Mater. 2017, 24, 756–767. [Google Scholar]
Disclaimer/Publisher’s Note: The statements, opinions and data contained in all publications are solely those of the individual author(s) and contributor(s) and not of MDPI and/or the editor(s). MDPI and/or the editor(s) disclaim responsibility for any injury to people or property resulting from any ideas, methods, instructions or products referred to in the content. |
© 2024 by the authors. Licensee MDPI, Basel, Switzerland. This article is an open access article distributed under the terms and conditions of the Creative Commons Attribution (CC BY) license (https://creativecommons.org/licenses/by/4.0/).