Next-Generation Lubricity in Deep Drawing: The Synergistic Benefits of PIL and Talc on Water-Based Lubricants
Abstract
1. Introduction
2. Materials and Methods
2.1. Characterization of Lubricants
2.2. Manufacturing and Characterization of Steel Samples
2.3. Bending under Tension (BUT) Test
2.4. Characterization of Talc Particles
3. Results
3.1. Characterization
3.2. Rheological Behaviour of Particle-Free Formulations
3.3. Bending under Tension Test
3.3.1. Formulations with Commercial Additives
3.3.2. Formulations with m-2HEAOL Lubricant
3.4. Analysis of the Talc–PIL Interaction
3.4.1. FTIR Analysis
3.4.2. XPS Analysis
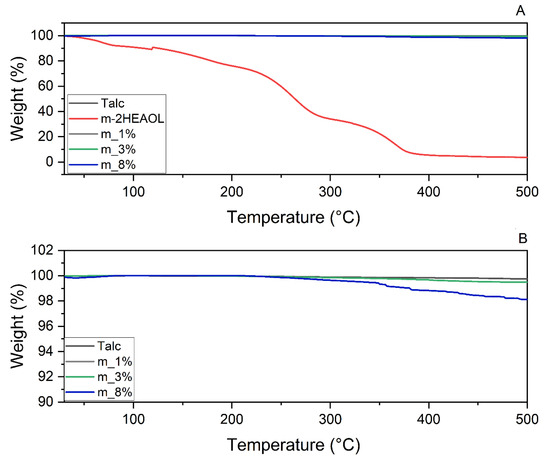
3.4.3. TGA Analysis
3.4.4. Lubrication Mechanism
4. Conclusions
- -
- The tests that did not include additional particles demonstrated that m-2HEAOL has comparable lubricating potential to that of commercial additives in water-based lubricants for stamping operations.
- -
- In the m-2HEAOL_1%_TC_0.5% and m-2HEAOL_3%_TC_0.5% formulations, the addition of talc particles did not notably contribute to COF reduction. Therefore, the lubrication effectiveness of the PIL was more powerful than the influence of the talc.
- -
- It was discovered that m-2HEAOL can interact with talc particles. When the concentration of PIL is higher, as in the case of the m-2HEAOL_8%_TC_0.5% formulation, this interaction becomes more noticeable, affecting the COF value. The PIL oleate molecules bind with the Mg in the basal layer of talc, which increases the mineral’s cleavage capacity. This results in an improvement in the lubricity of the formulation.
Author Contributions
Funding
Data Availability Statement
Conflicts of Interest
References
- Trzepiecinski, T.; Lemu, H.G. Effect of Lubrication on Friction in Bending under Tension Test-Experimental and Numerical Approach. Metals 2020, 10, 544. [Google Scholar] [CrossRef]
- Pereira, M.P.; Yan, W.; Rolfe, B.F. Contact Pressure Evolution and Its Relation to Wear in Sheet Metal Forming. Wear 2008, 265, 1687–1699. [Google Scholar] [CrossRef]
- Trzepieciński, T.; Fejkiel, R. On the Influence of Deformation of Deep Drawing Quality Steel Sheet on Surface Topography and Friction. Tribol. Int. 2017, 115, 78–88. [Google Scholar] [CrossRef]
- Luiz, V.D.; Santos, A.J.d.; Câmara, M.A.; Rodrigues, P.C.d.M. Influence of Different Contact Conditions on Friction Properties of AISI 430 Steel Sheet with Deep Drawing Quality. Coatings 2023, 13, 771. [Google Scholar] [CrossRef]
- Andreasen, J.L.; Olsson, D.D.; Chodnikiewicz, K.; Bay, N. Bending Under Tension Test with Direct Friction Measurement. Proc. Inst. Mech. Eng. Part B J. Eng. Manuf. 2006, 220, 73–80. [Google Scholar] [CrossRef]
- Moghadam, M.; Suleiman, M.H.; Christiansen, P.; Bay, N. Acoustic Emission Monitoring of the Bending under Tension Test. Procedia Eng. 2017, 207, 1421–1426. [Google Scholar] [CrossRef]
- Ceron, E.; Martins, P.A.F.; Bay, N. Thermal Analysis of Bending under Tension Test. Procedia Eng. 2014, 81, 1805–1810. [Google Scholar] [CrossRef]
- Folle, L.; Schaeffer, L. New Proposal to Calculate the Friction in Sheet Metal Forming through Bending under Tension Test. Mater. Res. 2019, 22, e20190523. [Google Scholar] [CrossRef]
- Song, H.-J.; Li, N. Frictional Behavior of Oxide Graphene Nanosheets as Water-Base Lubricant Additive. Appl. Phys. A 2011, 105, 827–832. [Google Scholar] [CrossRef]
- Rojas-Campanur, M.; Lara-Romero, J.; Chiñas-Castillo, F.; Alonso-Nuñez, G. Tribological Performance of Rosin Acid Additives in Water Based Lubricants. Tribol. Online 2007, 2, 29–33. [Google Scholar] [CrossRef]
- Polajnar, M.; Čoga, L.; Kalin, M. Base Lubricants for Green Stamping: The Effects of Their Structure and Viscosity on Tribological Performance. Friction 2023, 11, 1741–1754. [Google Scholar] [CrossRef]
- Aiman, Y.; Syahrullail, S.; Kameil, A.H. Tribological in Metal Forming Process and the Use of Bio Lubricant as Metal Forming Lubricant: A Review. J. Teknol. 2024, 86, 95–114. [Google Scholar] [CrossRef]
- García-Miranda, J.S.; Aguilera-Camacho, L.D.; Hernández-Sierra, M.T.; Moreno, K.J. A Comparative Analysis of the Lubricating Performance of an Eco-Friendly Lubricant vs Mineral Oil in a Metallic System. Coatings 2023, 13, 1314. [Google Scholar] [CrossRef]
- Trzepieciński, T. Tribological Performance of Environmentally Friendly Bio-Degradable Lubricants Based on a Combination of Boric Acid and Bio-Based Oils. Materials 2020, 13, 3892. [Google Scholar] [CrossRef] [PubMed]
- Rahman, M.H.; Warneke, H.; Webbert, H.; Rodriguez, J.; Austin, E.; Tokunaga, K.; Rajak, D.K.; Menezes, P.L. Water-Based Lubricants: Development, Properties, and Performances. Lubricants 2021, 9, 73. [Google Scholar] [CrossRef]
- Greaves, T.L.; Drummond, C.J. Protic Ionic Liquids: Properties and Applications. Chem. Rev. 2008, 108, 206–237. [Google Scholar] [CrossRef] [PubMed]
- Avilés, M.-D.; Pamies, R.; Sanes, J.; Carrión, F.-J.; Bermúdez, M.-D. Fatty Acid-Derived Ionic Liquid Lubricant. Protic Ionic Liquid Crystals as Protic Ionic Liquid Additives. Coatings 2019, 9, 710. [Google Scholar] [CrossRef]
- Avilés, M.D.; Carrión-Vilches, F.J.; Sanes, J.; Bermúdez, M.D. Diprotic Ammonium Succinate Ionic Liquid in Thin Film Aqueous Lubrication and in Graphene Nanolubricant. Tribol. Lett. 2019, 67, 26. [Google Scholar] [CrossRef]
- Espinosa, T.; Sanes, J.; Jiménez, A.-E.; Bermúdez, M.-D. Protic Ammonium Carboxylate Ionic Liquid Lubricants of OFHC Copper. Wear 2013, 303, 495–509. [Google Scholar] [CrossRef]
- Gusain, R.; Dhingra, S.; Khatri, O.P. Fatty-Acid-Constituted Halogen-Free Ionic Liquids as Renewable, Environmentally Friendly, and High-Performance Lubricant Additives. Ind. Eng. Chem. Res. 2016, 55, 856–865. [Google Scholar] [CrossRef]
- Pamies, R.; Avilés, M.D.; Arias-Pardilla, J.; Carrión, F.J.; Sanes, J.; Bermúdez, M.D. Rheological Study of New Dispersions of Carbon Nanotubes in the Ionic Liquid 1-Ethyl-3-Methylimidazolium Dicyanamide. J. Mol. Liq. 2019, 278, 368–375. [Google Scholar] [CrossRef]
- Saurín, N.; Avilés, M.D.; Espinosa, T.; Sanes, J.; Carrión, F.J.; Bermúdez, M.D.; Iglesias, P. Carbon Nanophases in Ordered Nanofluid Lubricants. Wear 2017, 376–377, 747–755. [Google Scholar] [CrossRef]
- Ortega Vega, M.R.; Ercolani, J.; Mattedi, S.; Aguzzoli, C.; Ferreira, C.A.; Rocha, A.S.; Malfatti, C.F. Oleate-Based Protic Ionic Liquids as Lubricants for Aluminum 1100. Ind. Eng. Chem. Res. 2018, 57, 12386–12396. [Google Scholar] [CrossRef]
- de Castro, V.V.; dos Santos, L.M.; Antonini, L.M.; Schroeder, R.M.; Mattedi, S.; Souza, K.S.; Pereira, M.B.; Einloft, S.; dos Santos, C.A.; de Fraga Malfatti, C. Water-Based Lubricant Containing Protic Ionic Liquids and Talc Lubricant Particles: Wear and Corrosion Analysis. Wear 2023, 518–519, 204633. [Google Scholar] [CrossRef]
- de Castro, V.V.; dos Santos, L.M.; Antonini, L.M.; Schroeder, R.M.; Mattedi, S.; Souza, K.S.; Pereira, M.B.; de Lima Lessa, C.R.; Einloft, S.; dos Santos, C.A.; et al. A Tribological and Electrochemical Study of Protic Ionic Liquid and Bentonite Particles Used as Lubricating Additives in Water-Based Lubricants. J. Bio-Tribo-Corros. 2023, 9, 51. [Google Scholar] [CrossRef]
- Schmitzhaus, T.E.; Vega, M.R.O.; Schroeder, R.; Muller, I.L.; Mattedi, S.; Taryba, M.; Fernandes, J.C.S.; de Fraga Malfatti, C. Localized Corrosion Behavior Studies by SVET of 1010 Steel in Different Concentrations of Sodium Chloride Containing [m-2HEA][Ol] Ionic Liquid as Corrosion Inhibitor. Electrochim. Acta 2022, 419, 140385. [Google Scholar] [CrossRef]
- Schmitzhaus, T.E.; Ortega Vega, M.R.; Schroeder, R.; Muller, I.L.; Mattedi, S.; Malfatti, C.d.F. N-Methyl-2-Hydroxyethylammonium Oleate Ionic Liquid Performance as Corrosion Inhibitor for Mild Steel in Hydrochloric Acid Medium. Mater. Corros. 2020, 71, 1885–1902. [Google Scholar] [CrossRef]
- Schmitzhaus, T.E.; Ortega Vega, M.R.; Schroeder, R.; Muller, I.L.; Mattedi, S.; Malfatti, C.d.F. An Amino-based Protic Ionic Liquid as a Corrosion Inhibitor of Mild Steel in Aqueous Chloride Solutions. Mater. Corros. 2020, 71, 1175–1193. [Google Scholar] [CrossRef]
- Ortega Vega, M.R.; Baldin, E.K.; Pereira, D.P.; Martins, M.C.S.; Pranke, P.; Horn, F.; Pinheiro, I.; Vieira, A.; Espiña, B.; Mattedi, S.; et al. Toxicity of Oleate-Based Amino Protic Ionic Liquids towards Escherichia coli, Danio Rerio Embryos and Human Skin Cells. J. Hazard. Mater. 2022, 422, 126896. [Google Scholar] [CrossRef]
- Rudenko, P.; Bandyopadhyay, A. Talc as Friction Reducing Additive to Lubricating Oil. Appl. Surf. Sci. 2013, 276, 383–389. [Google Scholar] [CrossRef]
- Tang, Z.; Li, S. A Review of Recent Developments of Friction Modifiers for Liquid Lubricants (2007–Present). Curr. Opin. Solid State Mater. Sci. 2014, 18, 119–139. [Google Scholar] [CrossRef]
- Jha, A.K.; Dan, T.K.; Prasad, S.V.; Rohatgi, P.K. Aluminium Alloy-Solid Lubricant Talc Particle Composites. J. Mater. Sci. 1986, 21, 3681–3685. [Google Scholar] [CrossRef]
- Akbulut, M. Nanoparticle-Based Lubrication Systems. J. Powder Metall. Min. 2012, 1, e01. [Google Scholar] [CrossRef]
- Wada, S.; Hayashi, H. Hydrodynamic Lubrication of Journal Bearings by Pseudo-Plastic Lubricants: Part 2, Experimental Studies. Bull. JSME 1971, 14, 279–286. [Google Scholar] [CrossRef]
- Nascimento, R.C.a.M.; Amorim, L.V.; Santana, L.N.L. Desenvolvimento de fluidos aquosos com bentonita para perfuração de poços de petróleo onshore. Cerâmica 2010, 56, 179–187. [Google Scholar] [CrossRef]
- Felder, E.; Levrau, C. Analysis of the Lubrication by a Pseudoplastic Fluid: Application to Wire Drawing. Tribol. Int. 2011, 44, 845–849. [Google Scholar] [CrossRef]
- Arif, M.; Kango, S.; Shukla, D.K. Analysis of Textured Journal Bearing with Slip Boundary Condition and Pseudoplastic Lubricants. Int. J. Mech. Sci. 2022, 228, 107458. [Google Scholar] [CrossRef]
- Mierczynska-Vasilev, A.; Ralston, J.; Beattie, D.A. Adsorption of Modified Dextrins on Talc: Effect of Surface Coverage and Hydration Water on Hydrophobicity Reduction. Langmuir 2008, 24, 6121–6127. [Google Scholar] [CrossRef] [PubMed]
- Casanova, H.; Orrego, J.A.; Zapata, J. Oil Absorption of Talc Minerals and Dispersant Demand of Talc Mineral Non-Aqueous Dispersions as a Function of Talc Content: A Surface Chemistry Approach. Colloids Surf. A Physicochem. Eng. Asp. 2007, 299, 38–44. [Google Scholar] [CrossRef]
- da Silva Bullmann, M.; de Castro, V.V.; Coutinho, D.A.K.; Lopes, F.C.; Maurmann, N.; Pereira, M.B.; Rodrigues, M.; Pranke, P.; Ferraz, M.P.; Lopes, M.A.; et al. Eucalyptus Globulus Essential Oil Thin Film Polymerized by Cold Plasma on Ti6Al4V: Sterilization Effect, Antibacterial Activity, Adhesion, and Viability of Mesenchymal Stem Cells. Plasma Process. Polym. 2023, 20, e2300075. [Google Scholar] [CrossRef]
- Derkowski, A.; Rodo, J.; McCarty, D. Cation Exchange Capacity and Water Content of Opal in Sedimentary Basins: Example from the Monterey Formation, California. Am. Mineral. 2015, 100, 1244–1256. [Google Scholar] [CrossRef]
- Mai, Q.; Zhou, H.; Ou, L. Flotation Separation of Chalcopyrite and Talc Using Calcium Ions and Calcium Lignosulfonate as a Combined Depressant. Metals 2021, 11, 651. [Google Scholar] [CrossRef]
- Zhang, Y.; Zhu, L.; Chen, L.; Liu, L.; Ye, G. Influence of Magnesia on Demoulding Strength of Colloidal Silica-Bonded Castables. Rev. Adv. Mater. Sci. 2019, 58, 32–37. [Google Scholar] [CrossRef]
- Kaur, A.; Chahal, P.; Hogan, T. Selective Fabrication of SiC/Si Diodes by Excimer Laser under Ambient Conditions. IEEE Electron. Device Lett. 2016, 37, 142–145. [Google Scholar] [CrossRef]
- Corneille, J.S.; He, J.-W.; Goodman, D.W. XPS Characterization of Ultra-Thin MgO Films on a Mo(100) Surface. Surf. Sci. 1994, 306, 269–278. [Google Scholar] [CrossRef]
- Hazwani Dzulkafli, H.; Ahmad, F.; Ullah, S.; Hussain, P.; Mamat, O.; Megat-Yusoff, P.S.M. Effects of Talc on Fire Retarding, Thermal Degradation and Water Resistance of Intumescent Coating. Appl. Clay Sci. 2017, 146, 350–361. [Google Scholar] [CrossRef]
- Hsu, S.M.; Gates, R.S. Boundary Lubricating Films: Formation and Lubrication Mechanism. Tribol. Int. 2005, 38, 305–312. [Google Scholar] [CrossRef]
- Prasad, B.K.; Rathod, S.; Modi, O.P.; Yadav, M.S. Influence of Talc Concentration in Oil Lubricant on the Wear Response of a Bronze Journal Bearing. Wear 2010, 269, 498–505. [Google Scholar] [CrossRef]








| PIL | Structure |
|---|---|
| m-2HEAOL N-methyl-2-hydroxyethylammonium oleate | ![]() |
| Lubricant Nomenclature | Composition (% by Weight) |
|---|---|
| m-2HEAOL_1%_WP | H2O + 1 wt% m-2HEAOL |
| m-2HEAOL_3%_WP | H2O + 3 wt% m-2HEAOL |
| m-2HEAOL_8%_WP | H2O + 8 wt% m-2HEAOL |
| m-2HEAOL_1%_TC_0.5% | H2O + 1 wt% m-2HEAOL + 0.5 wt% Talc |
| m-2HEAOL_3%_TC_0.5% | H2O + 3 wt% m-2HEAOL 0.5 wt% Talc |
| m-2HEAOL_8%_TC_0.5% | H2O + 8 wt% m-2HEAOL 0.5 wt% Talc |
| * Commercial_1%_WP | H2O + 1 wt% commercial additive * |
| * Commercial_3%_WP | H2O + 3 wt% commercial additive * |
| * Commercial_8%_WP | H2O + 8 wt% commercial additive * |
| * Commercial_1%_TC_0.5% | H2O + 1 wt% commercial additive *+ 0.5 wt% Talc |
| * Commercial_3%_TC_0.5% | H2O + 3 wt% commercial additive * + 0.5 wt% Talc |
| * Commercial_8%_TC_0.5% | H2O + 8 wt% commercial additive *+ 0.5 wt% Talc |
| Steel | Fe (%) | C (%) | Si (%) | Mn (%) | P (%) | S (%) | Hardness (HV) | Ra (μm) | Rz (μm) |
|---|---|---|---|---|---|---|---|---|---|
| SAE 1010 | Balance | 0.10 | 0.10 | 0.40 | 0.02 | 0.01 | 128 (±23) | 0.24 (±0.03) | 4.63 (±0.53) |
| SAE 1050 | Balance | 0.51 | 0.18 | 0.76 | 0.01 | 0.01 | 550 (±50) | 0.132 (±0.01) | 1.49 (±0.14) |
Disclaimer/Publisher’s Note: The statements, opinions and data contained in all publications are solely those of the individual author(s) and contributor(s) and not of MDPI and/or the editor(s). MDPI and/or the editor(s) disclaim responsibility for any injury to people or property resulting from any ideas, methods, instructions or products referred to in the content. |
© 2024 by the authors. Licensee MDPI, Basel, Switzerland. This article is an open access article distributed under the terms and conditions of the Creative Commons Attribution (CC BY) license (https://creativecommons.org/licenses/by/4.0/).
Share and Cite
de Castro, V.V.; Ev, C.; Noronha, L.C.; Bullmann, M.; Etcheverry, L.; dos Santos, L.M.; Vargas, R.M.; Mattedi, S.; Schroeder, R.M.; Malfatti, C.d.F. Next-Generation Lubricity in Deep Drawing: The Synergistic Benefits of PIL and Talc on Water-Based Lubricants. Metals 2024, 14, 705. https://doi.org/10.3390/met14060705
de Castro VV, Ev C, Noronha LC, Bullmann M, Etcheverry L, dos Santos LM, Vargas RM, Mattedi S, Schroeder RM, Malfatti CdF. Next-Generation Lubricity in Deep Drawing: The Synergistic Benefits of PIL and Talc on Water-Based Lubricants. Metals. 2024; 14(6):705. https://doi.org/10.3390/met14060705
Chicago/Turabian Stylede Castro, Victor Velho, Cristiano Ev, Leandro Câmara Noronha, Matheus Bullmann, Louise Etcheverry, Leonardo Moreira dos Santos, Rafael Marquetto Vargas, Silvana Mattedi, Roberto Moreira Schroeder, and Célia de Fraga Malfatti. 2024. "Next-Generation Lubricity in Deep Drawing: The Synergistic Benefits of PIL and Talc on Water-Based Lubricants" Metals 14, no. 6: 705. https://doi.org/10.3390/met14060705
APA Stylede Castro, V. V., Ev, C., Noronha, L. C., Bullmann, M., Etcheverry, L., dos Santos, L. M., Vargas, R. M., Mattedi, S., Schroeder, R. M., & Malfatti, C. d. F. (2024). Next-Generation Lubricity in Deep Drawing: The Synergistic Benefits of PIL and Talc on Water-Based Lubricants. Metals, 14(6), 705. https://doi.org/10.3390/met14060705


