Microwave Treatment of Copper–Nickel Sulfide Ore for Promotion of Grinding and Flotation
Abstract
1. Introduction
2. Experimental
2.1. Raw Materials
2.2. Experimental Procedure
2.2.1. Thermodynamic Calculation
2.2.2. Microwave Absorption Capability Determination
2.2.3. Microwave Treatment
2.2.4. Grinding and Flotation
3. Results and Discussion
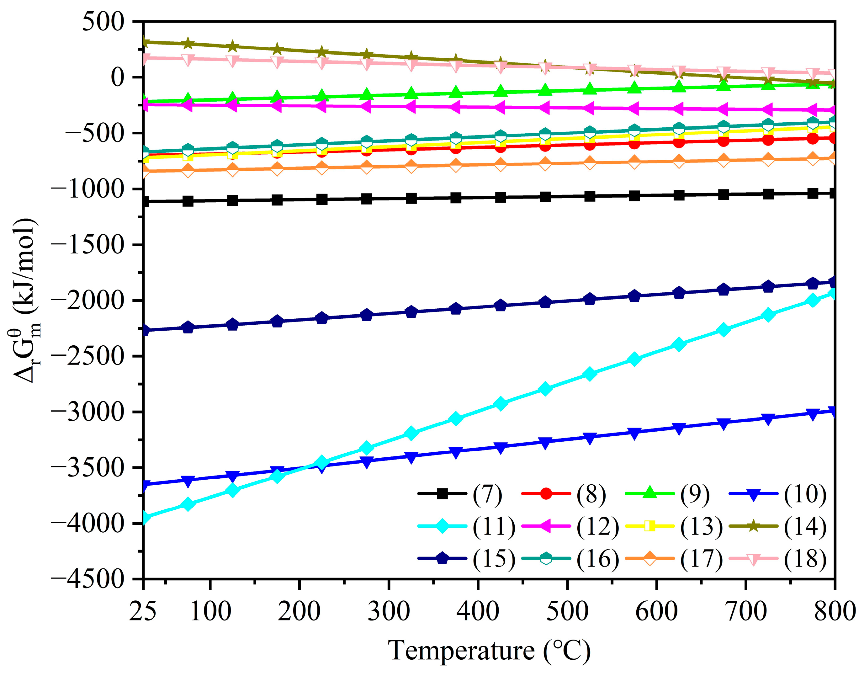
3.1. Thermodynamic Analysis
3.2. Microwave Absorption Capability Analysis
3.3. Microwave Treatment Analysis
3.3.1. Microwave Heating Characteristics
3.3.2. Grinding Characteristics of Ore
3.3.3. Flotation Characteristics of Ground Ore
4. Conclusions
Author Contributions
Funding
Institutional Review Board Statement
Informed Consent Statement
Data Availability Statement
Conflicts of Interest
References
- Hui, S.; Li, B.; Zhou, S.; Wei, Y. Extraction of ferronickel concentrate from laterite nickel ore by reduction roasting-magnetic separation using spent cathode carbon. Miner. Eng. 2023, 201, 108194. [Google Scholar] [CrossRef]
- Zaiman, N.F.H.N.; Shaari, N. Review on flower-like structure nickel based catalyst in fuel cell application. J. Ind. Eng. Chem. 2023, 119, 1–76. [Google Scholar] [CrossRef]
- Golroudbary, S.R.; Kraslawski, A.; Wilson, B.P.; Lundström, M. Assessment of environmental sustainability of nickel required for mobility transition. Front. Chem. Eng. 2023, 4, 978842. [Google Scholar] [CrossRef]
- Mudd, G.M.; Jowitti, S.M. A detailed assessment of global nickel resource trends and endowments. Econ. Geol. 2014, 109, 1813–1841. [Google Scholar] [CrossRef]
- Liu, M.; Su, S.; Yao, Y.; Wu, X.; Cai, N.; Guan, Q. Discovery and genesis of two types of olivines and its significance to metallogeny in Jinchuan magmatic copper-nickel (PGE) sulfide deposit. Acta Petrol. Sin. 2020, 36, 1151–1170. [Google Scholar]
- Faris, N.; Pownceby, M.I.; Bruckard, W.J.; Chen, M. The direct leaching of nickel sulfide flotation concentrates—A historic and state-of-the-art review part I: Piloted processes and commercial operations. Miner. Process. Extr. Metall. Rev. 2022, 44, 407–435. [Google Scholar] [CrossRef]
- Forster, J.; Elliott, R.; Boucher, D.; Bobicki, E.R. High-temperature microwave properties and phase transitions of ultramafic nickel ores. Miner. Eng. 2021, 172, 107109. [Google Scholar] [CrossRef]
- Bobicki, E.R.; Liu, Q.; Xu, Z. Microwave treatment of ultramafic nickel ores: Heating behavior, mineralogy, and comminution effects. Minerals 2018, 8, 524. [Google Scholar] [CrossRef]
- Cai, X.; Qian, G.; Zhang, B.; Chen, Q.; Hu, C. Selective liberation of high-phosphorous oolitic hematite assisted by microwave processing and acid leaching. Minerals 2018, 8, 245. [Google Scholar] [CrossRef]
- Yu, Q.; Ding, D.; Chen, W.; Hu, N.; Wu, L.; Zhang, Q.; Liu, Y.; Zhang, Z.; Li, F.; Xue, X.; et al. Effect of microwave pretreatment on grindability of lead-zinc ore. Geofluids 2021, 2021, 4418684. [Google Scholar] [CrossRef]
- Toifl, M.; Hartlieb, P.; Meisels, R.; Antretter, T.; Kuchar, F. Numerical study of the influence of irradiation parameters on the microwave-induced stresses in granite. Miner. Eng. 2017, 103, 78–92. [Google Scholar] [CrossRef]
- Adewuyi, S.O.; Ahmed, H.A.M.; Ahmed, H.M.A. Methods of ore pretreatment for comminution energy reduction. Minerals 2020, 10, 423. [Google Scholar] [CrossRef]
- Somani, A.; Nandi, T.K.; Pal, S.K.; Majumder, A.K. Pre-treatment of rocks prior to comminution—A critical review of present practices. Int. J. Min. Sci. Technol. 2017, 27, 339–348. [Google Scholar] [CrossRef]
- Zhang, J.; Peng, Z.; Luo, G.; Tian, R.; Rao, M. Microwave drying kinetics of chromium-rich electroplating sludge. Metals 2023, 13, 87. [Google Scholar] [CrossRef]
- Ye, L.; Peng, Z.; Tian, R.; Tang, H.; Zhang, J.; Rao, M.; Li, G. A novel process for highly efficient separation of boron and iron from ludwigite ore based on low-temperature microwave roasting. Powder Technol. 2022, 410, 117848. [Google Scholar] [CrossRef]
- Zhu, G.; Peng, Z.; Yang, L.; Tang, H.; Fang, X.; Rao, M. Facile preparation of thermal insulation materials by microwave sintering of ferronickel slag and fly ash cenosphere. Ceram. Int. 2023, 49, 11978–11988. [Google Scholar] [CrossRef]
- Tang, H.; Peng, Z.; Shang, W.; Ye, L.; Luo, J.; Rao, M.; Li, G. Preparation of refractory materials from electric furnace ferronickel slag and blast furnace ferronickel slag: A comparison. J. Environ. Chem. Eng. 2022, 10, 107929. [Google Scholar] [CrossRef]
- Lin, F.; Feng, X.; Yang, C.; Li, S.; Zhang, J.; Su, X.; Tong, T. Experimental study on improving mechanical mining efficiency of deep banded iron ore by microwave presplitting. Int. J. Rock Mech. Min. Sci. 2022, 159, 105233. [Google Scholar] [CrossRef]
- Hartlieb, P.; Kuchar, F.; Moser, P.; Kargl, H.; Restner, U. Reaction of different rock types to low-power (3.2 kW) microwave irradiation in a multimode cavity. Miner. Eng. 2018, 118, 37–51. [Google Scholar] [CrossRef]
- Goldbaum, M.W.; Elliott, R.; Forster, J.; Maham, Y.; Bobicki, E.R. Investigating the microwave heating behaviour of pyrrhotite tailings. Miner. Eng. 2020, 146, 106152. [Google Scholar] [CrossRef]
- Lin, F.; Feng, X.; Lu, G.; Su, X.; Li, S.; Zhang, J. Study on microwave heating order and electromagnetic characteristics of copper and gold ores. Rock. Mech. Rock. Eng. 2021, 54, 2129–2143. [Google Scholar] [CrossRef]
- da Silva, G.R.; Espiritu, E.R.L.; Mohammadi-Jam, S.; Waters, K.E. Surface characterization of microwave-treated chalcopyrite. Colloids Surf. A Physicochem. Eng. Asp. 2018, 555, 407–417. [Google Scholar] [CrossRef]
- Gholami, H.; Rezai, B.; Hassanzadeh, A.; Mehdilo, A.; Yarahmadi, M. Effect of microwave pretreatment on grinding and flotation kinetics of copper complex ore. Int. J. Miner. Metall. Mater. 2021, 28, 1887–1897. [Google Scholar] [CrossRef]
- Seiler, S.; Sánchez, G.; Pawlik, M.; Bradshaw, P.; Klein, B. Awaruite, a new large nickel resource: Flotation under weakly acidic conditions. Minerals 2023, 13, 1147. [Google Scholar] [CrossRef]
- Li, X.; Tian, S.; Niu, Y.; Lu, B.; Ma, Y.; Xie, X.; Huang, L.; Sun, X.; Ju, S. An experimental study on microwave-assisted grinding and flotation of nickel-copper ore. J. Kunming Univ. Sci. Technol. (Nat. Sci.) 2022, 47, 7–17. [Google Scholar]
- Liu, D.; Zhang, G.; Liu, J.; Pan, G.; Chen, Y.; Wang, M. Studies on the surface oxidation and its role in the flotation of mixed copper-nickel sulfide ore. Powder Technol. 2021, 381, 576–584. [Google Scholar] [CrossRef]
- Kim, B.; Park, J.; Lee, J. Dielectric properites of iron sulfide in coal by microwave irradiation. J. Korean Soc. Miner. Energy Resour. Eng. 2013, 50, 838–847. [Google Scholar] [CrossRef]
- Prameena, B.; Anbalagan, G.; Gunasekaran, S.; Ramkumaar, G.R.; Gowtham, B. Structural, optical, electron paramagnetic, thermal and dielectric characterization of chalcopyrite. Spectrochim. Acta Part A Mol. Biomol. Spectrosc. 2014, 122, 348–355. [Google Scholar] [CrossRef] [PubMed]
- Pearce, C.I. Electrical and magnetic properties of sulfides. Rev. Mineral. Geochem. 2006, 61, 127–180. [Google Scholar] [CrossRef]
- Forster, J.; Maham, Y.; Bobicki, E.R. Microwave heating of magnesium silicate minerals. Powder Technol. 2018, 339, 1–7. [Google Scholar] [CrossRef]
- Ohsato, H.; Terada, M.; Kagomiya, I.; Kawamura, K.; Kakimoto, K.; Kim, E.S. Sintering conditions of cordierite for microwave/millimeterwave dielectrics. IEEE Trans. Ultrason. Ferroelectr. Freq. Control 2008, 55, 1081–1085. [Google Scholar] [CrossRef] [PubMed]
- Lou, W.; Mao, M.; Song, K.; Xu, K.; Liu, B.; Li, W.; Yang, B.; Qi, Z.; Zhao, J.; Sun, S.; et al. Low permittivity cordierite-based microwave dielectric ceramics for 5G/6G telecommunications. J. Eur. Ceram. Soc. 2022, 42, 2820–2826. [Google Scholar] [CrossRef]
- Peng, Z.; Hwang, J.Y.; Mouris, J.; Hutcheon, R.; Huang, X. Microwave penetration depth in materials with non-zero magnetic susceptibility. ISIJ Int. 2010, 50, 1590–1596. [Google Scholar] [CrossRef]
- Vinnett, L.; Waters, K.E. Representation of kinetics models in batch flotation as distributed first-order reactions. Minerals 2020, 10, 913. [Google Scholar] [CrossRef]
- Yu, D.; Utigard, T.A. TG/DTA study on the oxidation of nickel concentrate. Thermochim. Acta 2012, 533, 56–65. [Google Scholar] [CrossRef]
- Feng, B.; Feng, Q.; Lu, Y. A novel method to limit the detrimental effect of serpentine on the flotation of pentlandite. Int. J. Miner. Process 2012, 114, 11–13. [Google Scholar] [CrossRef]
- Xu, L.; Xie, Q.; Chen, T.; Li, P.; Yang, Y.; Zhou, Y. Constraint of nanometer-sized pyrite crystals on oxidation kinetics and weathering products. J. Nanosci. Nanotechnol. 2017, 17, 6962–6966. [Google Scholar] [CrossRef]


















| Component | MgO | SiO2 | Al2O3 | CaO | Fe | S | Cu | Ni |
|---|---|---|---|---|---|---|---|---|
| Content | 30.26 | 32.60 | 2.68 | 2.50 | 24.22 | 9.25 | 1.24 | 1.27 |
| No. | Reaction Equation | − T (kJ/mol) |
|---|---|---|
| (7) | 2CuFeS2(s) + 4O2(g) = 2FeO(s) + Cu2S(s) + 3SO2(g) | −1117.35 + 0.098T |
| (8) | 2Cu2S(s) + 3O2(g) = 2Cu2O(s) + 2SO2(g) | −708.26 + 0.204T |
| (9) | 2Cu2O(s) + O2(g) = 4CuO(s) | −220.49 + 0.202T |
| (10) | 4CuFeS2(s) + 13O2(g) = 4CuO(s) + 2Fe2O3(s) + 8SO2(g) | −3676.19 + 0.859T |
| (11) | 4Fe7S8(s) + 9O2(g) = 6Fe2O3(s) + 16FeS2(s) | −4033.94 + 2.619T |
| (12) | FeS2(s) + O2(g) = FeS(s) + SO2(g) | −242.56 −0.064T |
| (13) | FeS(s) + 2O2(g) = FeSO4(s) | −729.23 + 0.358T |
| (14) | 4FeSO4(s) + O2(g) = 2Fe2O3(s) + 4SO3(g) | 335.18 − 0.488T |
| (15) | 4FeS(s) + 7O2(g) = 4SO2 + 2Fe2O3(s) | −2286.74 + 0.564T |
| (16) | NiS(s) + 2O2(g) = NiSO4(s) | −675.18 + 0.347T |
| (17) | 2NiS(s) + 3O2(g) = 2NiO(s) + 2SO2(g) | −846.11 + 0.151T |
| (18) | NiSO4(s) = NiO(s) + SO3(g) | 178.38 − 0.177T |
| Treatment Time (s) | Particle Size Percentage (%) | ||
|---|---|---|---|
| D10 | D50 | D90 | |
| 0 | 3.011 | 44.687 | 126.984 |
| 10 | 2.644 | 41.252 | 134.195 |
| 20 | 2.061 | 34.985 | 120.777 |
| 30 | 1.673 | 29.292 | 112.642 |
| 40 | 1.286 | 25.469 | 101.980 |
| Treatment Time (s) | k (s−1) | R∞ (%) | R2 | |||
|---|---|---|---|---|---|---|
| Cu | Ni | Cu | Ni | Cu | Ni | |
| 0 | 0.11967 | 0.09368 | 65.982 | 62.994 | 0.99982 | 0.99983 |
| 10 | 0.08444 | 0.06761 | 62.083 | 61.163 | 0.99981 | 0.99987 |
| 20 | 0.09912 | 0.07631 | 70.576 | 66.618 | 0.99966 | 0.99960 |
| 30 | 0.07777 | 0.05887 | 66.116 | 60.173 | 0.99994 | 0.99992 |
| 40 | 0.08081 | 0.05986 | 59.945 | 52.561 | 0.99969 | 0.99946 |
Disclaimer/Publisher’s Note: The statements, opinions and data contained in all publications are solely those of the individual author(s) and contributor(s) and not of MDPI and/or the editor(s). MDPI and/or the editor(s) disclaim responsibility for any injury to people or property resulting from any ideas, methods, instructions or products referred to in the content. |
© 2024 by the authors. Licensee MDPI, Basel, Switzerland. This article is an open access article distributed under the terms and conditions of the Creative Commons Attribution (CC BY) license (https://creativecommons.org/licenses/by/4.0/).
Share and Cite
Fang, X.; Peng, Z.; Yin, T.; Rao, M.; Li, G. Microwave Treatment of Copper–Nickel Sulfide Ore for Promotion of Grinding and Flotation. Metals 2024, 14, 565. https://doi.org/10.3390/met14050565
Fang X, Peng Z, Yin T, Rao M, Li G. Microwave Treatment of Copper–Nickel Sulfide Ore for Promotion of Grinding and Flotation. Metals. 2024; 14(5):565. https://doi.org/10.3390/met14050565
Chicago/Turabian StyleFang, Xiaolei, Zhiwei Peng, Tianle Yin, Mingjun Rao, and Guanghui Li. 2024. "Microwave Treatment of Copper–Nickel Sulfide Ore for Promotion of Grinding and Flotation" Metals 14, no. 5: 565. https://doi.org/10.3390/met14050565
APA StyleFang, X., Peng, Z., Yin, T., Rao, M., & Li, G. (2024). Microwave Treatment of Copper–Nickel Sulfide Ore for Promotion of Grinding and Flotation. Metals, 14(5), 565. https://doi.org/10.3390/met14050565

