A New Phenomenological Model to Predict Forming Limit Curves from Tensile Properties for Hot-Rolled Steel Sheets
Abstract
1. Introduction
2. Prediction of FLD0 with Classic Empirical Models for Hot-Rolled Steel Sheets
2.1. Data Collection from Experimental Tests
2.2. Prediction Results for FLC0 with Classic Empirical Models
2.3. Critical Mechanical Properties for FLD0 Prediction
3. Establishment of New Prediction Model for FLC0
4. Determination of Phenomenological Model for Complete FLC
5. Conclusions
- (1)
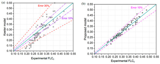
- The effect of tensile properties on the plane strain forming limit (FLC0) was studied with experimental results of eighty hot-rolled steel sheets under various thicknesses and strengths. Classic empirical models were employed to verify the prediction reliability. The results show that when the sheet thickness is less than 3.0 mm and the tensile strength is lower than 550 MPa, the Keeler model has the best prediction accuracy, with a deviation of less than 10%, which is better than other empirical models. However, there are distinct deviations in predicting hot-rolled high-strength steel sheets with all of the current empirical models. For high-strength hot-rolled steel sheets, the Keeler model almost underestimates the FLC, due to the fact that hot-rolled steels have the characteristics of a low strain hardening exponent and higher thickness.
- (2)
- For hot-rolled steels, there is a yield plateau on the engineering stress–strain curve. Due to this, it is not sufficient to describe the stress–strain behavior with the power law equation, which means the n-value obtained from power law equation fitting cannot describe the hardening behavior accurately. Combined with the correlation analysis and DIC measurement during the tensile test, it was found that there is a stronger regression relationship between the total elongation and the FLC0. Then the IB model, combining the cubic polynomial equation and power equation, was proposed to regress the correlation of the FLC0 with total elongation and thickness. The errors calculated for the FLC0 with the proposed model are mainly under 10% compared with the errors calculated with the Keeler model, which exceed 30–50% for hot-rolled high-strength steels. Additionally, the IB model is applicable for thicknesses between 1.5 mm and 6.0 mm, which covers most hot-rolled steels being employed. And its reliability for hot-rolled steels out of this thickness range is not verified with effective experimental data.
- (3)
- In the IB model, the left side of the FLC can be calculated via a line with a slope of –1 for the majority of hot-rolled steels with r-values between 0.7 and 0.9, while the right side of the FLC can be obtained via a modified Keeler model with the exponent (p) determined as 0.45 for hot-rolled steels. Ten complete experimental FLCs of hot-rolled steels from measurements and the literature were used to validate the prediction reliability. The results show that the prediction of the complete FLC with the IB model matches much better with the experimental FLC than those with the other empirical models. However, for Q-P-T steel, the IB model can predict the FLC0 well but cannot predict the left and right sides of the FLC accurately, due to the low r-value of about 0.27.
Author Contributions
Funding
Data Availability Statement
Acknowledgments
Conflicts of Interest
Appendix A
| Steel | t (mm) | Rp (MPa) | Rm (MPa) | n-Value | r-Value | Ag | At | Exp FLC0 | Cal FLC0 | Keeler FLC0 |
|---|---|---|---|---|---|---|---|---|---|---|
| SPHC | 2 | 228 | 333 | 0.195 | 1 | 0.24 | 0.44 | 0.425 | 0.436 | 0.389 |
| SPHC | 2.5 | 222 | 341 | 0.19 | 1.12 | 0.242 | 0.442 | 0.45 | 0.472 | 0.424 |
| SPHC | 3 | 245 | 347 | 0.193 | 1.15 | 0.242 | 0.445 | 0.48 | 0.496 | 0.471 |
| SAPH370 | 2 | 326 | 413 | 0.158 | 1.06 | 0.17 | 0.35 | 0.4 | 0.368 | 0.326 |
| SAPH370 | 2.5 | 323 | 410 | 0.157 | 0.95 | 0.171 | 0.355 | 0.41 | 0.403 | 0.366 |
| SAPH370 | 3 | 309 | 403 | 0.161 | 0.92 | 0.173 | 0.364 | 0.43 | 0.434 | 0.406 |
| SAPH400 | 2 | 341 | 443 | 0.153 | 0.91 | 0.171 | 0.345 | 0.36 | 0.362 | 0.317 |
| SAPH400 | 3 | 335 | 440 | 0.154 | 0.83 | 0.174 | 0.347 | 0.4 | 0.414 | 0.392 |
| SAPH440 | 2.3 | 352 | 477 | 0.148 | 0.8 | 0.168 | 0.321 | 0.34 | 0.353 | 0.330 |
| SAPH440 | 2.5 | 366 | 485 | 0.147 | 0.79 | 0.169 | 0.322 | 0.35 | 0.364 | 0.342 |
| SAPH440 | 3.5 | 343 | 465 | 0.149 | 0.83 | 0.171 | 0.328 | 0.38 | 0.404 | 0.415 |
| SPFH540 | 2 | 467 | 565 | 0.123 | 0.78 | 0.124 | 0.273 | 0.27 | 0.281 | 0.263 |
| SPFH540 | 3 | 493 | 588 | 0.121 | 0.8 | 0.126 | 0.276 | 0.32 | 0.323 | 0.320 |
| SPFH590 | 2 | 515 | 615 | 0.1 | 0.81 | 0.09 | 0.245 | 0.26 | 0.253 | 0.218 |
| SPFH590 | 2.5 | 532 | 622 | 0.102 | 0.86 | 0.094 | 0.246 | 0.28 | 0.275 | 0.249 |
| SPFH590 | 4.5 | 542 | 646 | 0.095 | 0.76 | 0.099 | 0.256 | 0.31 | 0.328 | 0.331 |
| QStE340TM | 2.5 | 379 | 516 | 0.132 | 0.85 | 0.163 | 0.325 | 0.35 | 0.367 | 0.312 |
| QStE340TM | 3 | 383 | 501 | 0.130 | 0.87 | 0.161 | 0.33 | 0.37 | 0.392 | 0.347 |
| QStE380TM | 2 | 401 | 505 | 0.126 | 0.81 | 0.143 | 0.301 | 0.3 | 0.312 | 0.268 |
| QStE380TM | 2.5 | 409 | 510 | 0.126 | 0.8 | 0.141 | 0.308 | 0.33 | 0.346 | 0.300 |
| QStE380TM | 3.75 | 378 | 502 | 0.127 | 0.85 | 0.147 | 0.312 | 0.4 | 0.389 | 0.378 |
| S355MC | 2.5 | 380 | 495 | 0.129 | 0.77 | 0.156 | 0.322 | 0.34 | 0.364 | 0.306 |
| S355MC | 3 | 392 | 515 | 0.132 | 0.87 | 0.157 | 0.323 | 0.37 | 0.383 | 0.344 |
| S355MC | 4 | 369 | 503 | 0.136 | 0.81 | 0.159 | 0.331 | 0.39 | 0.421 | 0.415 |
| S355MC | 6 | 378 | 489 | 0.143 | 0.86 | 0.168 | 0.335 | 0.41 | 0.461 | 0.550 |
| S420MC | 2 | 467 | 578 | 0.122 | 0.81 | 0.125 | 0.27 | 0.27 | 0.278 | 0.261 |
| S420MC | 3 | 469 | 587 | 0.129 | 0.82 | 0.127 | 0.279 | 0.32 | 0.327 | 0.338 |
| S420MC | 3.5 | 483 | 592 | 0.117 | 0.73 | 0.129 | 0.282 | 0.34 | 0.343 | 0.339 |
| S420MC | 5 | 477 | 606 | 0.116 | 0.76 | 0.127 | 0.301 | 0.37 | 0.396 | 0.417 |
| QStE460TM | 2 | 497 | 623 | 0.103 | 0.78 | 0.115 | 0.253 | 0.26 | 0.261 | 0.224 |
| QStE460TM | 2.5 | 483 | 603 | 0.107 | 0.82 | 0.116 | 0.254 | 0.28 | 0.283 | 0.260 |
| QStE460TM | 3.6 | 491 | 611 | 0.11 | 0.74 | 0.112 | 0.263 | 0.3 | 0.321 | 0.327 |
| QStE500TM | 1.8 | 544 | 619 | 0.097 | 0.82 | 0.101 | 0.227 | 0.22 | 0.227 | 0.202 |
| QStE500TM | 2.5 | 565 | 636 | 0.098 | 0.83 | 0.109 | 0.237 | 0.27 | 0.266 | 0.241 |
| QStE500TM | 3 | 551 | 659 | 0.096 | 0.78 | 0.108 | 0.232 | 0.29 | 0.275 | 0.262 |
| QStE500TM | 4.5 | 542 | 643 | 0.102 | 0.84 | 0.112 | 0.248 | 0.31 | 0.318 | 0.351 |
| QStE500TM | 6 | 553 | 632 | 0.103 | 0.81 | 0.116 | 0.252 | 0.32 | 0.341 | 0.424 |
| QStE550TM | 2 | 574 | 665 | 0.09 | 0.8 | 0.098 | 0.216 | 0.23 | 0.230 | 0.199 |
| QStE550TM | 2.5 | 595 | 687 | 0.091 | 0.76 | 0.123 | 0.211 | 0.26 | 0.245 | 0.225 |
| QStE550TM | 2.8 | 604 | 690 | 0.085 | 0.82 | 0.112 | 0.219 | 0.27 | 0.259 | 0.226 |
| QStE550TM | 3 | 587 | 682 | 0.082 | 0.86 | 0.104 | 0.221 | 0.275 | 0.265 | 0.227 |
| QStE550TM | 3.5 | 591 | 664 | 0.089 | 0.79 | 0.109 | 0.231 | 0.29 | 0.284 | 0.268 |
| QStE600TM | 2 | 633 | 732 | 0.079 | 0.78 | 0.094 | 0.207 | 0.22 | 0.225 | 0.176 |
| QStE600TM | 2.5 | 635 | 738 | 0.08 | 0.86 | 0.096 | 0.208 | 0.24 | 0.243 | 0.201 |
| QStE600TM | 3.5 | 622 | 716 | 0.081 | 0.85 | 0.095 | 0.212 | 0.26 | 0.268 | 0.246 |
| QStE600TM | 5 | 627 | 727 | 0.072 | 0.81 | 0.103 | 0.21 | 0.28 | 0.287 | 0.265 |
| QStE650TM | 2 | 674 | 790 | 0.068 | 0.77 | 0.091 | 0.19 | 0.22 | 0.217 | 0.154 |
| QStE650TM | 2.5 | 665 | 782 | 0.066 | 0.82 | 0.092 | 0.196 | 0.24 | 0.237 | 0.173 |
| QStE650TM | 3 | 661 | 776 | 0.070 | 0.83 | 0.095 | 0.205 | 0.25 | 0.254 | 0.197 |
| QStE700TM | 1.5 | 739 | 804 | 0.062 | 0.78 | 0.082 | 0.181 | 0.19 | 0.178 | 0.123 |
| QStE700TM | 1.8 | 725 | 790 | 0.060 | 0.83 | 0.08 | 0.182 | 0.195 | 0.204 | 0.130 |
| QStE700TM | 2 | 737 | 802 | 0.063 | 0.76 | 0.084 | 0.171 | 0.2 | 0.212 | 0.143 |
| QStE700TM | 2.5 | 747 | 820 | 0.058 | 0.8 | 0.081 | 0.178 | 0.23 | 0.230 | 0.149 |
| QStE700TM | 3 | 724 | 796 | 0.061 | 0.81 | 0.086 | 0.184 | 0.25 | 0.244 | 0.174 |
| QStE700TM | 4 | 732 | 784 | 0.062 | 0.73 | 0.087 | 0.204 | 0.26 | 0.271 | 0.211 |
| BR440/580HE | 3 | 514 | 574 | 0.168 | 0.75 | 0.131 | 0.277 | 0.35 | 0.324 | 0.421 |
| 580DP | 3.5 | 389 | 636 | 0.175 | 0.8 | 0.175 | 0.31 | 0.4 | 0.380 | 0.472 |
| 700DP | 2.5 | 425 | 758 | 0.138 | 0.76 | 0.125 | 0.24 | 0.27 | 0.269 | 0.325 |
| 780DP | 3.2 | 577 | 848 | 0.125 | 0.82 | 0.121 | 0.21 | 0.28 | 0.261 | 0.341 |
| FB590 | 2.2 | 512 | 621 | 0.102 | 0.77 | 0.128 | 0.257 | 0.3 | 0.275 | 0.233 |
| FB780 | 3 | 665 | 813 | 0.071 | 0.81 | 0.084 | 0.187 | 0.26 | 0.245 | 0.200 |
| FB780 | 4 | 672 | 810 | 0.075 | 0.75 | 0.079 | 0.194 | 0.29 | 0.265 | 0.250 |
| B780NP | 3 | 756 | 801 | 0.082 | 0.88 | 0.085 | 0.25 | 0.3 | 0.293 | 0.227 |
| B780NP | 3.5 | 766 | 812 | 0.082 | 0.83 | 0.091 | 0.26 | 0.33 | 0.316 | 0.249 |
| B780SF | 2.5 | 784 | 856 | 0.080 | 0.89 | 0.081 | 0.245 | 0.28 | 0.274 | 0.201 |
| B510L | 3 | 435 | 562 | 0.132 | 0.9 | 0.152 | 0.277 | 0.33 | 0.324 | 0.344 |
| B510L | 4 | 413 | 535 | 0.135 | 0.93 | 0.155 | 0.285 | 0.38 | 0.357 | 0.413 |
| B510L | 5 | 420 | 544 | 0.136 | 0.89 | 0.158 | 0.294 | 0.41 | 0.386 | 0.474 |
| B510L | 6 | 446 | 533 | 0.143 | 0.69 | 0.151 | 0.31 | 0.41 | 0.424 | 0.550 |
| B530L | 3 | 426 | 562 | 0.132 | 0.86 | 0.148 | 0.29 | 0.32 | 0.341 | 0.344 |
| B550L | 5 | 480 | 575 | 0.125 | 0.81 | 0.145 | 0.278 | 0.35 | 0.364 | 0.443 |
| B610L | 3 | 556 | 637 | 0.104 | 0.82 | 0.105 | 0.232 | 0.28 | 0.275 | 0.271 |
| B610L | 4.5 | 572 | 652 | 0.103 | 0.78 | 0.121 | 0.24 | 0.31 | 0.309 | 0.354 |
| B650L | 3 | 597 | 688 | 0.093 | 0.83 | 0.105 | 0.22 | 0.26 | 0.265 | 0.254 |
| B700L | 3 | 654 | 732 | 0.087 | 0.78 | 0.106 | 0.212 | 0.25 | 0.259 | 0.252 |
| B750L | 2.5 | 733 | 785 | 0.062 | 0.77 | 0.084 | 0.183 | 0.23 | 0.231 | 0.159 |
| B750L | 3.5 | 735 | 793 | 0.064 | 0.81 | 0.086 | 0.184 | 0.24 | 0.253 | 0.200 |
| BWP750 | 1.5 | 720 | 795 | 0.063 | 0.75 | 0.084 | 0.21 | 0.22 | 0.189 | 0.125 |
| BWP750 | 3.5 | 718 | 804 | 0.068 | 0.84 | 0.096 | 0.205 | 0.26 | 0.263 | 0.211 |
| BWP750 | 4 | 695 | 805 | 0.071 | 0.78 | 0.092 | 0.21 | 0.28 | 0.275 | 0.238 |
| B980 | 2 | 859 | 1047 | 0.06 | 0.75 | 0.067 | 0.14 | 0.23 | 0.216 | 0.137 |
References
- Jha, G.; Das, S.; Lodh, A.; Haldar, A. Development of hot rolled steel sheet with 600MPa UTS for automotive wheel application. Mater. Sci. Eng. A 2012, 552, 457–463. [Google Scholar] [CrossRef]
- Hu, J.; Du, L.X.; Wang, J.J.; Sun, Q.Y. Cooling process and mechanical properties design of hot-rolled low carbon high strength microalloyed steel for automotive wheel usage. Mater. Des. 2014, 53, 332–337. [Google Scholar] [CrossRef]
- Chen, W.J.; Song, H.W.; Lazarescu, L.; Xu, Y.; Zhang, S.H.; Banabic, D. Formability analysis of hot-rolled dual-phase steel during the multistage stamping process of wheel disc. Int. J. Adv. Manuf. Technol. 2020, 110, 1563–1573. [Google Scholar] [CrossRef]
- Sansot, P.; Frédéric, B.; Vitoon, U.; Surasak, S.; Suwat, J. Experimental and theoretical formability analysis using strain and stress based forming limit diagram for advanced high strength steels. Mater. Des. 2013, 51, 756–766. [Google Scholar]
- Keeler, S.P.; Backhofen, W.A. Plastic instability and fracture in sheet stretched over rigid punches. ASM Trans. 1963, 56, 25–48. [Google Scholar]
- Marciniak, Z.; Kuczynski, K. Limit strains in the processes of stretch forming sheet metal. Int. J. Mech. Sci. 1967, 9, 609–612. [Google Scholar] [CrossRef]
- Nakazima, K.; Kikuma, T.; Hasaku, K. Study on the formability of steel sheet. Yawata Technol. Rep. 1968, 264, 8517–8530. [Google Scholar]
- Xia, L.L.; Xu, Y.; El-Aty, A.A.; Zhang, S.H.; Nielsen, K.B.; Li, J.M. Deformation characteristics in hydro-mechanical forming process of thin-walled hollow component with large deformation: Experimentation and finite element modeling. Int. J. Adv. Manuf. Technol. 2019, 104, 4705–4714. [Google Scholar] [CrossRef]
- Banabic, D.; Aretz, H.; Paraianu, L.; Jurco, P. Application of various FLD modelling approaches. Mod. Sim. Mater. Sci. Eng. 2005, 13, 759–769. [Google Scholar] [CrossRef]
- Ma, Y.; Chen, S.F.; Chen, D.Y.; Banabic, D.; Song, H.W.; Xu, Y.; Zhang, S.H.; Fan, X.S.; Wang, Q. Determination of the forming limit of impact hydroforming by frictionless full zone hydraulic forming test. Int. J. Mater. Form. 2021, 14, 1221–1232. [Google Scholar] [CrossRef]
- Kasaei, M.M.; Oliveira, M.C. Influence of the contact with friction on the deformation behavior of advanced high strength steels in the Nakajima test. J. Strain Anal. Eng. 2022, 57, 193–207. [Google Scholar] [CrossRef]
- Banabic, D.; Lazarescu, L.; Paraianu, L.; Ciobanu, I.; Nicodim, I.; Comsa, D.S. Development of a new procedure for the experimental determination of the Forming Limit Curves. Ann. CIRP 2013, 62, 255–258. [Google Scholar] [CrossRef]
- Yang, Q.B.; Min, J.Y.; Carsley, J.E.; Wen, Y.Y.; Kuhlenkötter, B.; Stoughton, T.B.; Lin, J.P. Prediction of plane-strain specimen geometry to efficiently obtain a forming limit diagram by Marciniak test. J. Iron Steel Res. Int. 2018, 25, 539–545. [Google Scholar] [CrossRef]
- Holmberg, S.; Enquist, B.; Thilderkvist, P. Evaluation of sheet metal formability by tensile tests. J. Mater. Process Technol. 2004, 145, 72–83. [Google Scholar] [CrossRef]
- Swift, H.W. Plastic instability under plane stress. J. Mech. Phys. Solids 1952, 1, 1–18. [Google Scholar] [CrossRef]
- Hill, R. On discontinuous plastic states with special reference to localized necking in thin sheets. J. Mech. Phys. Solids. 1952, 1, 19–30. [Google Scholar] [CrossRef]
- Bleck, W.; Deng, Z.; Papamantellos, K.; Gusek, C.O. A comparative study of the forming limit diagram models for sheet steels. J. Mater. Process Technol. 1998, 83, 223–230. [Google Scholar] [CrossRef]
- Banabic, D.; Kami, A.; Comsa, D.S.; Eyckens, P. Developments of the Marciniak-Kuczynski model for sheet metal formability: A review. J. Mater. Process Technol. 2021, 287, 116446. [Google Scholar] [CrossRef]
- Hao, Q.G.; Qin, S.W.; Liu, Y.; Zuo, X.W.; Chen, N.L.; Rong, Y.H. Relation between microstructure and formability of quenching-partitioning-tempering martensitic steel. Mater. Sci. Eng. A 2016, 671, 135–146. [Google Scholar] [CrossRef]
- Chen, W.J.; Yin, S.; Pei, X.H. Mechanical property and formability of 580DP and 700DP hot-rolled dual phase steel. Mater. Mech. Eng. 2020, 44, 92–97. [Google Scholar]
- Ma, B.L.; Wan, M.; Zhang, H.; Gong, X.L.; Wu, X.D. Evaluation of the forming limit curve of medium steel plate based on non-constant through-thickness normal stress. J. Manuf. Process. 2018, 33, 175–183. [Google Scholar] [CrossRef]
- Kim, W.; Koh, Y.; Kim, H. Formability evaluation for hot-rolled HB780 steel sheet based on 3-D non-quadratic yield function. Met. Mater. Int. 2017, 23, 519–531. [Google Scholar] [CrossRef]
- Sing, W.M.; Rao, K.P. Prediction of sheet-metal formability using tensile-test results. J. Mater. Process Technol. 1993, 37, 37–51. [Google Scholar] [CrossRef]
- Keeler, S.P.; Brazier, S.G. Relationship between laboratory material characterization and press-shop formability. Proc. Microalloying 1977, 75, 517–530. [Google Scholar]
- Raghavan, K.S.; Van Kuren, R.C.; Darlington, H. Recent progress in the development of forming limit curves for automotive sheet steel. SAE Technol. Pap. 1992, 920437. [Google Scholar] [CrossRef]
- Paul, S.K. Prediction of complete forming limit diagram from tensile properties of various steel sheets by a nonlinear regression based approach. J. Manuf. Process. 2016, 23, 192–200. [Google Scholar] [CrossRef]
- Paul, S.K.; Manikandan, G.; Verma, R.K. Prediction of entire forming limit diagram from simple tensile material properties. J. Strain Anal. Eng. 2013, 48, 386–394. [Google Scholar] [CrossRef]
- Cayssials, F. A new method for predicting FLC. In Proceedings of the 20th IDDRG Congress, Brussels, Belgium, 17–19 June 1998; pp. 443–454. [Google Scholar]
- Cayssials, F.; Lemoine, X. Predictive model for FLC (arcelor model) upgraded to UHSS steels. In Proceedings of the 24th IDDRG Conference, Besançon, France, 20–22 June 2005; pp. 17.1–17.8. [Google Scholar]
- Abspoel, M.; Scholting, M.E.; Droog, J.M.M. A new method for predicting forming limit curves from mechanical properties. J. Mater. Process Technol. 2013, 213, 759–769. [Google Scholar] [CrossRef]
- Abspoel, M.; Scholting, M.E.; Lansbergen, M.; An, Y.; Vegter, H. A new method for predicting advanced yield criteria input parameters from mechanical properties. J. Mater. Process Technol. 2017, 248, 161–177. [Google Scholar] [CrossRef]
- Gerlach, J.; Kessler, L.; Kohler, A. The forming limit curve as a measure of formability is an increase of testing necessary for robustness simulations. In Proceedings of the IDDRG 50th Anniversary Conference, Graz, Austria, 31 May–2 June 2010; pp. 479–488. [Google Scholar]
- Gerlach, J.; Kessler, L.; Kohler, A.; Paul, U. Method for the approximate calculation of forming limit curves using tensile test results. Stahl. Und Eisen 2010, 130, 55–61. [Google Scholar]
- Pimentel, A.M.F.; de Carvalho Martins Alves, J.L.; de Seabra Merendeiro, N.M.; Vieira, D.M.F. Comprehensive benchmark study of commercial sheet metal forming simulation softwares used in the automotive industry. Int. J. Mater. Form. 2018, 11, 879–899. [Google Scholar] [CrossRef]
- ISO 6892-1:2019; Metallic Materials—Tensile Testing—Part 1: Method of Test at Room Temperature. ISO: Geneva, Switzerland, 2019.
- ISO 10113:2020; Metallic Materials—Sheet and Strip—Determination of Plastic Strain Ratio. ISO: Geneva, Switzerland, 2020.
- ISO 10275:2020; Metallic Materials—Sheet and Strip—Determination of Tensile Strain Hardening Exponent. ISO: Geneva, Switzerland, 2020.
- ISO 12004-2: 2008; Metallic Materials—Sheet and Strip—Determination of Forming-Limit Curves—Part 2: Determination of Forming-Limit Curves in Laboratory. ISO: Geneva, Switzerland, 2008.
- Shi, M.F.; Gelisse, S. Issues on the AHSS forming limit determination. In Proceedings of the 25th IDDRG Conference, Porto, Portugal, 19–21 June 2006; pp. 19–25. [Google Scholar]
- Ghazanfari, A.; Assempour, A. Calibration of forming limit diagrams using a modified Marciniak–Kuczynski model and an empirical law. Mater. Des. 2012, 34, 185–191. [Google Scholar] [CrossRef]
- Chezan, A.R.; Khandeparkar, T.V.; ten Horn, C.H.L.J.; Sigvant, M. Accurate sheet metal forming modeling for cost effective automotive part production. In Proceedings of the 38th IDDRG Conference, Enschede, The Netherlands, 3–7 June 2019; Volume 651, p. 012007. [Google Scholar]
- Yun, X.; Gardner, L. Stress-strain curves for hot-rolled steels. J. Constr. Steel Res. 2017, 133, 36–46. [Google Scholar] [CrossRef]
- Hosford, W.F.; Duncan, J.L. Sheet metal forming: A review. JOM 1999, 51, 39–44. [Google Scholar] [CrossRef]
- Hashemi, R.; Ghazanfari, A.; Abrinia, K.; Assempour, A. The effect of the imposed boundary rate on the formability of strain rate sensitive sheets using the M-K method. J. Mater. Eng. Perform. 2013, 22, 2522–2527. [Google Scholar] [CrossRef]
- Keeler, S.P. Forming limit criteria sheets. In Advances in Deformation Processing; Burke, J.J., Weiss, V., Eds.; Plenum Press: New York, NY, USA, 1989; pp. 127–157. [Google Scholar]
- Levy, B.S.; Van Tyne, C.J. An approach to predicting the forming limit stress components from mechanical properties. J. Mater. Process Technol. 2016, 229, 758–768. [Google Scholar] [CrossRef]
- Lu, W.Q.; Chen, J.S.; Chen, J.; Shi, L.; Xiao, H.; Tong, G. Application of minimum thickness criterion in forecasting FLC of high-strength hot rolled-sheet metal. Mater. Sci. Technol. 2010, 18, 387–395. [Google Scholar]











| t (mm) | ||||
|---|---|---|---|---|
| 2.0 | 0.491 | −3.88 | 16.11 | −17.20 |
| 2.5 | 0.521 | −4.10 | 17.15 | −18.62 |
| 3.0 | 0.552 | −4.36 | 18.18 | −19.15 |
| t (mm) | FLC0 | CRST |
|---|---|---|
| 2.0 | 0.22 | 1 |
| 2.5 | 0.24 | 1.091 |
| 3.5 | 0.26 | 1.182 |
| 5.0 | 0.28 | 1.273 |
Disclaimer/Publisher’s Note: The statements, opinions and data contained in all publications are solely those of the individual author(s) and contributor(s) and not of MDPI and/or the editor(s). MDPI and/or the editor(s) disclaim responsibility for any injury to people or property resulting from any ideas, methods, instructions or products referred to in the content. |
© 2024 by the authors. Licensee MDPI, Basel, Switzerland. This article is an open access article distributed under the terms and conditions of the Creative Commons Attribution (CC BY) license (https://creativecommons.org/licenses/by/4.0/).
Share and Cite
Chen, W.-J.; Song, H.-W.; Chen, S.-F.; Xu, Y.; Deng, S.-Y.; Cai, Z.; Pei, X.-H.; Zhang, S.-H. A New Phenomenological Model to Predict Forming Limit Curves from Tensile Properties for Hot-Rolled Steel Sheets. Metals 2024, 14, 168. https://doi.org/10.3390/met14020168
Chen W-J, Song H-W, Chen S-F, Xu Y, Deng S-Y, Cai Z, Pei X-H, Zhang S-H. A New Phenomenological Model to Predict Forming Limit Curves from Tensile Properties for Hot-Rolled Steel Sheets. Metals. 2024; 14(2):168. https://doi.org/10.3390/met14020168
Chicago/Turabian StyleChen, Wei-Jin, Hong-Wu Song, Shuai-Feng Chen, Yong Xu, Si-Ying Deng, Zheng Cai, Xin-Hua Pei, and Shi-Hong Zhang. 2024. "A New Phenomenological Model to Predict Forming Limit Curves from Tensile Properties for Hot-Rolled Steel Sheets" Metals 14, no. 2: 168. https://doi.org/10.3390/met14020168
APA StyleChen, W.-J., Song, H.-W., Chen, S.-F., Xu, Y., Deng, S.-Y., Cai, Z., Pei, X.-H., & Zhang, S.-H. (2024). A New Phenomenological Model to Predict Forming Limit Curves from Tensile Properties for Hot-Rolled Steel Sheets. Metals, 14(2), 168. https://doi.org/10.3390/met14020168

