Next Article in Journal
A New Phenomenological Model to Predict Forming Limit Curves from Tensile Properties for Hot-Rolled Steel Sheets
Previous Article in Journal
Numerical Simulation Research on the Temperature Field and Hot Roll Crown Model of Hot Continuous Rolling Mills
Previous Article in Special Issue
Achieving High Self-Lubricating Performance of Al-Bi-Sm-Ti Alloys Based on the Intermetallic Compounds
 
 
Font Type:
Arial Georgia Verdana
Font Size:
Aa Aa Aa
Line Spacing:
Column Width:
Background:
Article

Structure and Properties of WC-Fe-Ni-Co Nanopowder Composites for Use in Additive Manufacturing Technologies

by
Maksim Krinitcyn
1,2,*,
Natalia V. Svarovskaya
1,2,
Nikolay Rodkevich
1,2,
Egor Ryumin
1,2 and
Marat Lerner
1,2
1
Faculty of Physics and Engineering, Tomsk State University, Tomsk 634050, Russia
2
Institute of Strength Physics and Materials Science, Siberian Branch of Russian Academy of Science, Tomsk 634055, Russia
*
Author to whom correspondence should be addressed.
Metals 2024, 14(2), 167; https://doi.org/10.3390/met14020167
Submission received: 28 November 2023 / Revised: 12 January 2024 / Accepted: 24 January 2024 / Published: 29 January 2024
(This article belongs to the Special Issue Intermetallic-Based Materials and Composites)

Abstract

In this work, the samples of the WC-Fe-Ni-Co composition were obtained and studied. Alloy NiCo 29-18 is used as a binder (Fe-Ni-Co). In this paper, a comparative analysis of the samples obtained using commercial micron-sized WC powder and the samples obtained is carried out using nano-WC synthesized via the electric explosion of wire (EEW) method. The samples were subjected to vacuum sintering, then their structure, density, and porosity, as well as microhardness and oxidation resistance, were studied. Five different additives were used to stabilize sintering: VC, Cr3C2, NbC, Y2O3, and Nd2O3. All these additives are described in the literature as additives that are used in the sintering of materials of the WC-Co system. Also, the samples from the WC-Fe-Ni-Co material were obtained using additive manufacturing technology with material extrusion. Bending strength and hardness of the additively fabricated samples were determined.

1. Introduction

WC-Co hard alloys have been known since the middle of the twentieth century [1]. Since then, they have not lost their relevance and have been used as cutting tools, pressing equipment, and in other areas [2,3,4,5,6]. Modern WC-based materials contain more complex binders, for example, with the addition of Ni [7,8] and other metals and alloys or compositions, like Fe-Ni-Co [9,10,11]. This is necessary to create promising and cheaper materials based on WC, since the use of a pure Co binder in materials is not always economically reasonable [12]. The use of Ni additives makes it possible to increase the corrosion resistance, and the addition of Fe gives an increase in the toughness of materials [13]. To improve the sintering process in WC-Co alloys and provide better mechanical properties, stabilizing additives are used.
Stabilizing additives such as carbides (NbC [14], VC [15], Cr3C2 [16]), oxides (Y2O3 [17,18,19], and Nd2O3 [20]) and other additives (e.g., Re [21]) are commonly used. The introduction of stabilizing additives makes it possible to suppress the growth of WC grains during sintering, which increases the hardness and strength of the resulting materials. In addition, the introduction of additives makes it possible to increase the sinterability of the samples, increase their resistance to oxidation, and so on. The effect of additives presented above has been studied for the WC-Co system; in systems with a more complex binder, the effect of additives has not been studied so well.
Alloys and composites of the WC-Co system are used in industry as cutting tools. Today, additive technologies are gaining popularity, and to date, no data on the fabrication of WC-Co materials using additive manufacturing technologies are available in the literature. Most of the popular additive manufacturing technologies use high-energy sources (laser or electron beam), which do not allow for forming metal–ceramic products of the WC-Co system. The present work uses material extrusion additive manufacturing (MEAM) technology, which provides sintering using classical powder technology. MEAM has great prospects in terms of the additive formation of ceramic materials.
In this paper, materials of the WC-Fe-Ni-Co system sintered with various stabilizing additives are investigated. The NiCo 29-18 alloy was used as the Fe-Ni-Co alloy. The composition of the WC-binder was calculated from the ratio for the WC-6Co alloy. The following additives were used in the samples: VC, Cr3C2, NbC, Y2O3, and Nd2O3. The hardness, density, and oxidation resistance of the samples were studied. Also, the samples from the WC-Fe-Ni-Co material were obtained using additive manufacturing technology with material extrusion. Bending strength and hardness of the additively fabricated samples were determined.

2. Materials and Methods

The powder composites with WC and the NiCo 29-18 alloy were obtained. Two different WC powders were used—synthesized nanopowder and commercial micropowder (KZTS, Kirovgrad, Russia). Nanopowder synthesis (W and NiCo 29-18) was carried out via the electric explosion of wire (EEW) method, and the production technology and the study of the powder are given in the article [22].
The samples with nanopowders were prepared from the following components: W, NiCo 29-18, carbon black treated with vaseline oil, stabilizing additive (0.8 wt%). Different W:C ratios were used, and the content of NiCo 29-18 was 10 wt.% for all samples. The samples with micropowders were prepared from the following mixtures: WC-89.5 wt.%, NiCo 29-18-10 wt.%, sintering additives-0.5 wt.%. The following additives were used in the samples: VC, Cr3C2, NbC, Y2O3, and Nd2O3. A sample without additives was also prepared for a comparison. Mixing of the powders was carried out in a turbula-type mixer (Turbula S2.0, Vibrotechnik JSC, Saint-Petersburg, Russia). Petroleum ether grade 70–100 (5–7 cm3) and dioctyl adipate (7–10 drops) as a plasticizer were added to the powder mixtures, and the resulting suspensions were dispersed via ultrasonication for 30 min in an ultrasonic bath (STEGLER 5DT, Stegler, Moscow, Russia China). Then, the solvent was evaporated and the resulting dry residue was ground. Tablets were obtained from each composition by pressing at 200 MPa in a mold with a diameter of 10 mm using a hydraulic press with a maximum load of 200 tons.
The samples were sintered in a vacuum furnace (Nabertherm GmbH, Lilienthal, Germany). Heating to 450 °C was carried out at a rate of 20 K/min, followed by holding at 450 °C for 1 h. Heating to 1150 °C was carried out at a rate of 10 K/min, followed by holding at 1150 °C for 1 h. Heating to 1440 °C was carried out at a rate of 5 K/min, followed by holding at 1440 °C for 4 h. Next, the samples were cooled with a furnace.
For oxidation resistance experiments, cylindrical samples (⌀ = 10 mm, h = 5 mm) were used. All samples have been prepared by polishing on a 4000 grit SiC paper. Before testing, the samples were ultrasonically cleaned with ethanol and then dried. All samples have been oxidized in a muffle furnace with a hole (⌀ = 20 mm) for air recirculation. The mass of the samples has been measured before and after oxidation using an Adventurer Pro AV264C laboratory balance (Ohaus, Parsippany, NJ, USA) with an accuracy of ±0.1 mg.
The microstructure and fracture surfaces of the fabricated samples were examined using a LEO EVO 50 (Carl Zeiss, Oberkochen, Germany) scanning electron microscope (SEM) using secondary electrons (SE) and backscattered electron (BSD) detectors. The attachment for energy-dispersive X-ray spectroscopy (EDX) was used to investigate the elemental composition of the samples (Oxford instruments, Abingdon, UK). The phase composition was investigated using X-ray diffraction (XRD) on the Shimadzu XRD-7000 (Shimadzu, Kyoto, Japan) set up. The Vickers hardness was measured using a Duramin-500 (Struers, Copenhagen, Denmark) hardness tester at a 500 gf load and a 10 s dwell time.
Demo samples of 5 × 5 × 18 mm3 were fabricated (Figure 1) to demonstrate the feasibility of fabricated WC-Co granulated feedstock products using additive manufacturing technology (Material Extrusion Additive Manufacturing, MEAM). Polyol polymer brand MC-2163 (OleoChemical, Hamburg, Germany) was used as a polymer binder. The feedstock was produced by mixing polymer and powder together with a 60:40 polymer/powder ratio using an MTE-20 twin-screw extruder (Meizlon, Nanjing, China), and then it was granulated in cylindrical granules using a dicing cutter (length = 5 mm, ⌀ = 1.75 mm).
The MEAM process was carried out on a commercial Prusa i3 printer with an upgraded print head to work with granulated feedstocks. The samples were obtained at a print speed of 60 mm/min, a printed layer height of 0.15 mm, and a nozzle diameter of 0.8 mm, a 100% fill density, and a rectilinear fill pattern. A nozzle temperature of 155 °C and heating of the printing table of 60 °C were chosen.
Debinding of the MEAM samples was carried out in acetone. Acetone was used as a binder removal agent for the green samples. The samples were kept in an acetone bath at 45 °C for 24 h. The MEAM samples were sintered in a vacuum furnace at 1300 °C for 4 h. During sintering, isothermal exposure was performed at a temperature of 260 °C and 360 °C for 2 h to remove the residual binder. The rate of heating and cooling was 5 K/min. The melt flow index (MFI) according to ASTM D1238 was chosen as a criterion to evaluate flowability and formability. All compositions were tested using an extrusion plastometer at a load of 50 N and a temperature of 160 °C.

3. Results and Discussion

3.1. Synthesis of n-WC

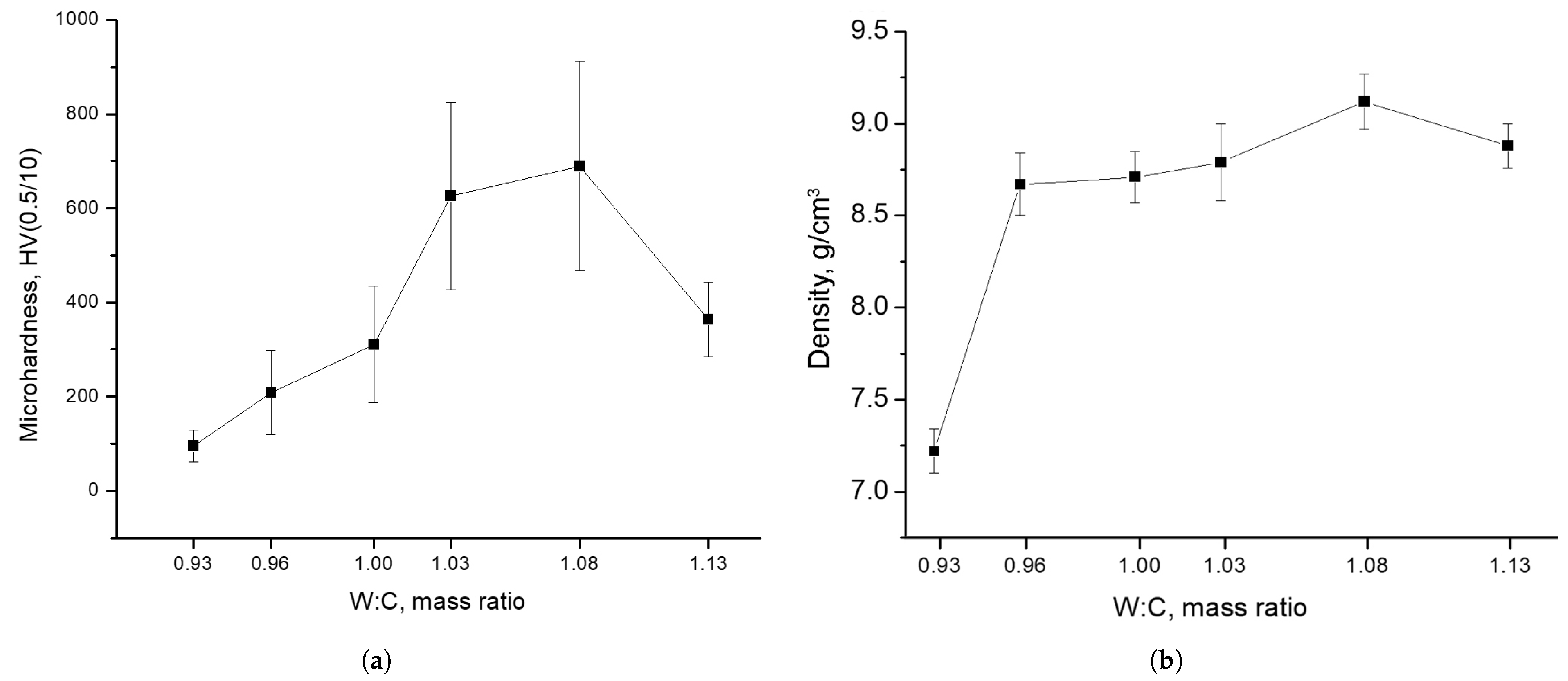
As stated earlier, μ -WC and n-WC powders were studied in this work. Powder n-WC was synthesized because such powders are not commercially available. When WC is synthesized during product synthesis, the correct W:C ratio must be selected. A lack of carbon reduces the yield of the target WC phase, and hence, the hardness, and excess carbon located between the WC grains reduces the density and strength of the part. A strictly stoichiometric ratio is also not optimal—a small excess of carbon is required to shift the equilibrium of the W + C = WC reaction towards the formation of the reaction product. To exclude the influence of the polymer binder composition and printing parameters on the characteristics, the samples of a W + C + NiCo 29-18 + plasticizer composition were studied, in which the molar ratio of carbon to tungsten was 0.93; 0.96; 1.00; 1.03; 1.08; and 1.13. The samples were sintered in a vacuum furnace at a maximum temperature of 1300 °C with a dwell time of 4 h.
According to the diffraction pattern of the sample with a ratio of 0.93, it contains WC, W2C, unreacted W phases, and two double carbides: FeW3C and Ni2W4C (Figure 2a). Starting from the ratio of 0.96, only the target phases, WC and the Co-containing FCC phase, are present in the sample (Figure 2b). The size of the coherent scattering regions (CSR) for WC determined by the Scherrer method increases from 63 nm to 82 nm with the increasing W:C ratio (Figure 3).
The optimum ratio of W and C in feedstocks, in which WC is formed during the sintering of parts, is 1.08 mol of carbon per 1.00 mol of tungsten, at which the maximum microhardness and density are achieved (Figure 4). The low absolute values of microhardness of the samples are related to the large grain size of tungsten carbide. Inhibiting additives were used to solve this problem.

3.2. Microstructure and Phase Composition

The microstructure of the samples (Figure 5) differs significantly depending on the additives used, despite the fact that the samples were sintered simultaneously. The introduced additives segregate along the grain boundaries [23,24]. As a result, grain growth is limited during the sintering process. In addition, the powder particles coalesce, which leads to an increase in the density of the samples. In all samples, a uniform distribution of the additives over the sample volume is observed. All investigated additives make it possible to limit the grain growth and improve the sintering process in the WC-Co system, but not all additives are effective in this work. The reason is the more complex composition of the binder. For example, the presence of NbC in the samples with iron [25] leads to an increase in the grain size.
Additives VC (Figure 5c,d) and NbC (Figure 5i) do not suppress grain growth during sintering for both micron ( μ -WC) and nanopowders (n-WC) of WC. The addition of Nd2O3 to the μ -WC powder also does not suppress grain growth, besides large pores forming in the sample (Figure 5e). The most effective grain growth suppression was observed with the addition of Y2O3 (Figure 5a,b) and Cr3C2 (Figure 5g,h). When using these additives, large pores do not form in the microstructure of the samples. The addition of Nd2O3 to the samples with n-WC (Figure 5f), in contrast to the samples with micron particles, makes it possible to suppress grain growth; nevertheless, large pores are formed in the sample.
The elemental composition of the samples with the addition of Y2O3 provides valuable evidence of an even distribution pattern throughout the sample, supported by the uniform intensity of the yttrium. Factors such as proper mixing protocols, homogenous and deagglomerated starting materials, and proper sintering conditions contribute to achieving an even distribution of yttrium oxide in the sample. Particularly noticeable is the non-uniformity of the material distribution over the spectrum of iron—its highest concentration is contained in the areas that have a dark color on the original SEM image (pores).
The density and porosity of the samples were examined (Figure 6). The samples with μ -WC powder did not sinter without the addition of additives. The remaining samples with μ -WC have a density in the range of 13.0–14.3 g/cm3 for all samples, regardless of the additives used. For the samples with n-WC powder, when Y2O3 is added, the density is higher than that for a sample without additives (11.5 g/cm3). When other additives are used, the density of the samples is lower than without their use. A similar trend is observed with porosity— μ -WC powders have a porosity of no more than 5% for all samples, while the smallest porosity for the samples with n-WC is 18% with the addition of Y2O3. Thus, the additives used in the article gives a better effect when using with μ -WC powder. When using n-WC powder, the sintering kinetics change and the additives work differently.
The additives are used to suppress grain growth during the sintering process. In WC-Co alloys, inhibitors are preferentially dissolved in cobalt during the sintering process. After the inhibitors are dissolved, their distribution in volume becomes uniform. Inhibitors affect the adsorption/desorption of WC in Co, which prevents the sintering of WC grains. Grain growth is slowed down by reducing effective contacts, leading to the aggregation of WC grains. In addition, additives can inhibit the dissolution–precipitation process during sintering, which also reduces the growth rate of WC grains.
Maintaining a fine-grained structure by suppressing the growth of WC grains is necessary to ensure high mechanical properties in the sintered material, achievable only with small grains. WC-Co alloys with large grains have lower strength, hardness, and wear resistance, while being more ductile. This combination of properties is unacceptable for the use of WC-Co as a tool material. The use of grain growth inhibitors in materials with n-WC is the only way to effectively suppress grain growth.
In addition to suppressing grain growth during sintering, additives ensure the formation of a more dense material structure. When a WC grain grows, a change in the volume of the sample occurs. The grain growth rate without additives can be high, as a result, intense shrinkage will not occur and the final sample will have high porosity. In addition, it is even possible to increase the volume of the sample. The densification mechanism of μ -WC and n-WC powders is the same, but due to the different surface area and surface energy, the processes occurs differently. For example, nanopowder is actively oxidized, forming an oxide layer on the surface that prevents reactions, sintering, and coalescence.
All additives used in this work show good solubility in Co, and theoretically, all of them can be used to suppress grain growth. However, suppression of grain growth does not provide high hardness or oxidation resistance. The effectiveness of inhibition is different for all additives by different reasons, including different solubility in Co.

3.3. Microhardness

Additives limit grain growth and affect the sinterability of materials. Thus, the additives should affect the mechanical properties. The hardness of all obtained samples was measured (Figure 7). It was found that the samples with n-WC and Y2O3 additives, as well as the samples with μ -WC powders and a Nd2O3 additive, demonstrate the highest hardness. Thus, the hardness is provided by different mechanisms in μ -WC and n-WC powders. References are made in the literature to the Hall–Petch effect [26,27,28], which states that as the grain size decreases, the hardness increases. However, using n-WC does not provide a higher microhardness than in the samples with μ -WC. As our experiments show, this mechanism of hardness formation is provided not only by the Hall–Petch effect, and it is not the most prevailing one in the formation of the hardness of the studied materials.
Dispersion strengthening by carbide and oxide particles is not so obvious in carbide materials, since WC is a high-strength material. The introduction of inhibiting particles, which are oxide and carbide additives, allows for the formation of a more dense structure with smaller carbide grains. This makes a greater contribution to the increase in hardness than the introduction of inhibiting additives as strengthening ones.
The most noticeable tendency for the indirect effect of additives on hardness is observed in the samples with n-WC. The hardness of the samples with n-WC follows the trend for density. Thus, the introduction of additives that increase the sinterability of n-WC and form a more dense structure provides higher hardness of the samples. Pores and other macrodefects affect the strength and overall hardness of the samples.
In the samples with μ -WC powder at densities close to each other, the hardness is very different. Hardness is more correlated with grain size in these samples. The μ -WC powders do not sinter without additives, so it is not possible to compare the hardness results of the samples with and without additives. Despite the fact that the porosity has the same value in the samples with μ -WC, the nature of the pore distribution itself differs. In the samples with Nd2O3 and VC additives, large macropores are present, while in the samples with other additives, the pores are mainly interparticle. At the same time, the hardness of the samples with Nd2O3 is the highest of all samples with μ -WC, and that of the samples with VC is one of the lowest (the hardness of one sample with the addition of Cr3C2 is lower).
The hardness of the samples of the same composition with μ -WC and n-WC powder also differs significantly. The hardness of the samples with μ -WC powder and Nd2O3 additives is the highest among all samples with μ -WC powder, while the hardness of the samples with n-WC and Nd2O3 additives is the lowest. At the same time, the grain size is smaller and the porosity is lower for the sample with n-WC.
Thus, for μ -WC powders, the additives mainly work at the intergranular level and macrodefects do not have a strong effect on microhardness. For nanopowders, the main purpose of additives is to increase the density of the samples during sintering, which leads to an increase in hardness.
A series of experiments on the influence of the Y2O3 amount on the hardness of the obtained samples was carried out. The samples were sintered at 1300 °C for 4 h. The content of the Y2O3 additive (Figure 8) was varied. With the increasing yttrium oxide content, the hardness of the sintered samples monotonically increased. At the same time, the samples with a Y2O3 content = 0.7% cracked after sintering, and the samples with 0.9% were completely delaminated after sintering. Thus, the optimum content of yttrium oxide from the point of view of mechanical properties and the quality of the samples is 0.5 %.
The purpose of introducing yttrium oxide is to suppress the growth of WC grains in the sintering process. When yttrium oxide particles are distributed along grain boundaries, grain growth can be suppressed most successfully. Y2O3 also limits the formation of extrinsic phases, such as Co3W3C, which embrittle and reduce the hardness of the material. At too high a concentration, yttrium oxide begins to prevent sintering of the material, forming complex compounds and solid solutions in the interparticle layer [17,29].
It is difficult to compare the contribution of grain size and porosity into the strength properties of the material. A series of the samples with different porosities but the same grain size, as well as a series of the samples with different grain sizes and the same porosity, are required. In the framework of this work, such an experiment was not carried out, and possible factors affecting hardness were taken on the basis of the literature data. Porosity makes a negative contribution to the strength properties, but in addition to the absolute value of porosity, pore size and the distribution of pores over the volume is also important.

3.4. Oxidation

Additives also affect the resistance of the samples to oxidation. Oxidation experiments were carried out on all obtained samples in the air at a temperature of 800 °C. It was found that the samples with n-WC powder oxidized much faster than the samples with μ -WC. Nanosized powders, including those obtained by the EEW method, have a high surface activity. As shown earlier, the samples with n-WC are characterized by higher porosity and finer grain size. Thus, the samples with fine WC powder are characterized by a high surface area of contact with oxygen, which additionally increases the rate of sample oxidation.
During oxidation, the chemical composition of additives plays a role. Tungsten carbide is more resistant to oxidation than cobalt, so oxidation primarily begins with cobalt layers. If there are inhibiting additives in cobalt, the rate of oxidation of the sample will be determined by the activity of interaction of the inhibiting additives with oxygen. Thus, the ideal additive would be a material that both inhibits grain growth and is resistant to oxidation.
The samples with μ -WC powder oxidize slower; however, the samples with VC and NbC additives show extreme oxidation (mass gain over 1 g/cm2 per hour) and are completely destroyed after 10 h of oxidation. The samples with commercial μ -WC powder and additives Nd2O3, Cr3C2, and Y2O3 showed (Figure 9) the highest resistance to oxidation (the smallest mass gain).
The most intense oxidation of the samples occurs in the first hour. The largest weight gain is demonstrated by the sample with Y2O3 additives. In the next hours, the mass gain slows down, but does not reach a plateau. The dependence of the squared mass gain on time is close to linear for all samples (R2 from 0.965 to 0.979 for all samples). Proximity to linearity shows that the classical parabolic oxidation law [30,31] is realized for all samples. Additives affect the kinetics of the oxidation reaction, but do not change the mechanism of oxidation. The Kp value for all samples are 5.98 mg2cm−4min−1 (Nd2O3), 5.29 mg2cm−4min−1 (Cr3C2), and 19.76 mg2cm−4min−1 (Y2O3).
The obtained data on oxidation resistance correlate with the data on the density of the samples—the higher the density, the lower the oxidation rate. It should be noted that carbide ceramics perform worse, both for the formation of strength and resistance to oxidation of the samples. The samples with the addition of Cr3C2 are highly resistant to oxidation and limit the weight gain due to the behavior of chromium carbide. Chromium dissolves in the material of the samples, limits oxidizing activity, and forms chromium oxide, which further slows down the oxidation process at high temperatures [32,33,34].
Oxide additives (Nd2O3 and Y2O3) increase the oxidation resistance of materials, but it is necessary to regulate the content of additives because, when a certain limit is reached, the oxidation resistance, on the contrary, begins to decrease [35,36,37,38]. When the content of additives is 0.1–0.6 wt.%, the highest resistance to oxidation of the materials studied by the authors is retained; when 0.8 wt.% is exceeded, the resistance to oxidation decreases, meaning that the results may be worse than for the samples without additives.
In the present study, the addition of 0.5 wt.% Nd2O3 and Y2O3 improves the oxidation resistance. Oxide particles of additives are segregated along the grain boundaries, which makes it possible to slow down diffusion processes during oxidation and, in general, reduce the oxidation rate [39]. Since oxide particles do not dissolve in the material, their presence at the grain boundaries affects not only the oxidation resistance, but also the grain growth rate and strength properties, as shown above.

3.5. MEAM Samples

Test specimens in the form of beams for bending tests were obtained. Within the framework of the present work, the task was to show that the samples formed could work with the material in MEAM technology. In the future it will be necessary to work out modes of printing of the samples.
When testing the printed samples, it was found that under normal loading to the printing plane, the bending strength is 113 MPa (Figure 10). Thus, we calculated Young’s modulus, E = 198 GPa, which is lower than the value reported in the literature for a similar test (500–800 GPa [40]). During loading, there is a gradual destruction of the inner layers of the specimen, which, on the diagram, looks like load jumps. Also, in the process of testing the specimens, a characteristic crunching of the specimens is heard. The study of fractures showed that the specimens have interlayer defects as well as macroscopic pores in the center of the specimen. The presence of macroscopic pores significantly reduces the strength of the specimens, which is especially noticeable when loading a specimen with a horizontal arrangement of layers. In the future, it is necessary to improve the printing, debinding, and sintering modes of the samples in order to reduce the number of defects in the sample, which will lead to an increase in the values of the strength properties of the material.
The hardness of the samples when examined on different surfaces shows the same result: 1120 ± 270 HV 0.5/10, which is at a sufficient level for the materials under study. According to the data of the compressed samples, these values can also be increased by increasing the density of the samples and optimizing the debinding and sintering regimes.
The low values of mechanical strength are caused by internal macro-defects in the material. These defects are caused by suboptimal printing and debinding modes. During printing, various defects can occur that are caused precisely by incorrect printing modes. In particular, since the feedstock used has a high viscosity (58 g/10 min), insufficient spreading and filling of cavities during printing may occur. Since it was necessary to demonstrate the performance of the obtained feedstock in the present work, the printing modes were not optimized. In the future, the modes will be optimized to take into account the identified features.

4. Conclusions

-
In this work, a comparative study of the WC-Fe-Ni-Co samples with commercial μ -WC and n-WC synthesized via the EEW method was carried out. It was found that the formation of the structure in the samples is very different depending on the additives used. An additive was not found that would allow for obtaining a combination of dense structure, high hardness, and oxidation resistance as when using both μ -WC and n-WC.
-
The effect of additives on the structure and properties is very different depending on the WC used, with the same sintering parameters and compositions of the samples. The n-WC samples are much more sensitive to additives in terms of structure formation and properties, and the samples with μ -WC do not sinter without additives.
-
Of the five additives studied, only two additives provide an acceptable combination of properties in the samples—Y2O3 and Cr3C2. At the same time, the addition of Y2O3 makes it possible to form a denser structure, and Cr3C2—a higher resistance to oxidation. The hardness of the samples with n-WC and these additives exceeds the hardness of the sample without additives and is 1820 ± 290 HV (Y2O3) and 1570 ± 230 HV (Cr3C2), respectively.

Author Contributions

Conceptualization, M.L.; Methodology, M.K., N.V.S., N.R. and E.R.; Formal analysis, N.V.S.; Investigation, M.K., N.R. and E.R.; Resources, M.L.; Data curation, N.V.S.; Writing—original draft, M.K., N.R. and E.R.; Visualization, N.V.S.; Project administration, M.L. All authors have read and agreed to the published version of the manuscript.

Funding

The research was performed at the financial support of grant of Russian Science Foundation (project No. 21-79-30006), https://rscf.ru/en/project/21-79-30006/ (accessed on 15 January 2024).

Data Availability Statement

The data presented in this study are available on request from the corresponding author. The data are not publicly available due to ethical reasons.

Conflicts of Interest

The authors declare no conflicts of interest.

References

  1. Gurland, J.; Bardzil, P. Relation of strength, composition, and grain size of sintered WC-Co alloys. JOM 1955, 7, 311–315. [Google Scholar] [CrossRef]
  2. Guimarães, B.; Fernandes, C.; Figueiredo, D.; Cerqueira, M.; Carvalho, O.; Silva, F.S.; Miranda, G. A novel approach to reduce in-service temperature in WC-Co cutting tools. Ceram. Int. 2020, 46, 3002–3008. [Google Scholar] [CrossRef]
  3. Kumar, K.; Batra, U. Fabrication of High Aspect Ratio WC-Co Micro Electrodes for μ-EDM Application. Mater. Today Proc. 2019, 18, 2970–2976. [Google Scholar] [CrossRef]
  4. Chandran, M. Diamond deposition on WC–Co substrates with interlayers for engineering applications. In Nanomaterials for Sensing and Optoelectronic Applications; Elsevier: Amsterdam, The Netherlands, 2022; pp. 311–330. [Google Scholar]
  5. Mariani, M.; Goncharov, I.; Mariani, D.; De Gaudenzi, G.P.; Popovich, A.; Lecis, N.; Vedani, M. Mechanical and microstructural characterization of WC-Co consolidated by binder jetting additive manufacturing. Int. J. Refract. Met. Hard Mater. 2021, 100, 105639. [Google Scholar] [CrossRef]
  6. Mariani, M.; Mariani, D.; De Gaudenzi, G.P.; Lecis, N. Effect of printing parameters on sintered WC-Co components by binder jetting. Eur. J. Mater. 2022, 2, 365–380. [Google Scholar] [CrossRef]
  7. Li, H.; Zhang, H.; Li, G.; Zhao, D.; Jiang, Z. Effects of holding time on interface microstructure and element diffusion of WC-Co-Ni/stainless steel composites. Int. J. Refract. Met. Hard Mater. 2022, 108, 105951. [Google Scholar] [CrossRef]
  8. Mishra, T.K.; Kumar, A.; Sinha, S. Investigation of sliding wear behaviour of Ni-WC microwave cladding. Mater. Today Proc. 2020, 26, 1418–1422. [Google Scholar] [CrossRef]
  9. Gao, Y.; Luo, B.H.; He, K.J.; Jing, H.B.; Bai, Z.H.; Chen, W.; Zhang, W.W. Mechanical properties and microstructure of WC-Fe-Ni-Co cemented carbides prepared by vacuum sintering. Vacuum 2017, 143, 271–282. [Google Scholar] [CrossRef]
  10. Wang, L.; Gao, Z.; Wu, M.; Weng, F.; Liu, T.; Zhan, X. Influence of specific energy on microstructure and properties of laser cladded FeCoCrNi high entropy alloy. Metals 2020, 10, 1464. [Google Scholar] [CrossRef]
  11. Škamat, J.; Černašėjus, O.; Zhetessova, G.; Nikonova, T.; Zharkevich, O.; Višniakov, N. Effect of laser processing parameters on microstructure, hardness and tribology of NiCrCoFeCBSi/WC coatings. Materials 2021, 14, 6034. [Google Scholar] [CrossRef]
  12. Upadhyaya, G.S. Materials science of cemented carbides—An overview. Mater. Des. 2001, 22, 483–489. [Google Scholar] [CrossRef]
  13. Chang, S.H.; Chang, P.Y. Study on the mechanical properties, microstructure and corrosion behaviors of nano-WC-Co-Ni-Fe hard materials through HIP and hot-press sintering processes. Mater. Sci. Eng. A 2014, 618, 56–62. [Google Scholar] [CrossRef]
  14. Lin, T.; Li, Q.; Han, Y.; Song, K.; Wang, X.; Shao, H.; Dong, J.; Wang, H.; Deng, X. Effects of Nb and NbC additives on microstructure and properties of WC-Co-Ni cemented carbides. Int. J. Refract. Met. Hard Mater. 2022, 103, 105782. [Google Scholar] [CrossRef]
  15. Lee, H.R.; Kim, D.J.; Hwang, N.M.; Kim, D.Y. Role of vanadium carbide additive during sintering of WC-Co: Mechanism of grain growth inhibition. J. Am. Ceram. Soc. 2003, 86, 152–154. [Google Scholar] [CrossRef]
  16. Yamamoto, T.; Ikuhara, Y.; Watanabe, T.; Sakuma, T.; Taniuchi, Y.; Okada, K.; Tanase, T. High resolution microscopy study in Cr3C2-doped WC-Co. J. Mater. Sci. 2001, 36, 3885–3890. [Google Scholar] [CrossRef]
  17. Liu, Y.; Li, X.; Zhou, J.; Fu, K.; Wei, W.; Du, M.; Zhao, X. Effects of Y2O3 addition on microstructures and mechanical properties of WC-Co functionally graded cemented carbides. Int. J. Refract. Met. Hard Mater. 2015, 50, 53–58. [Google Scholar] [CrossRef]
  18. Yang, Y.; Luo, L.M.; Zan, X.; Zhu, X.Y.; Zhu, L.; Wu, Y.C. Study on preparation and properties of WC-8Co cemented carbide doped with rare earth oxide. Int. J. Refract. Met. Hard Mater. 2021, 98, 105536. [Google Scholar] [CrossRef]
  19. Du, M.; Wang, L.; Gao, Z.; Yang, X.; Liu, T.; Zhan, X. Microstructure and element distribution characteristics of Y2O3 modulated WC reinforced coating on Invar alloys by laser cladding. Opt. Laser Technol. 2022, 153, 108205. [Google Scholar] [CrossRef]
  20. Liu, M.; Wang, Z.; Wu, J.; Li, Q. Effects of Nd2O3 on the mechanical properties and oxidation behavior of Ti/Al2O3 composites by vacuum hot pressing sintering. J. Alloys Compd. 2015, 648, 116–121. [Google Scholar] [CrossRef]
  21. Konyashin, I.; Schwedt, A. The influence of various Re: Co ratios on microstructures and properties of WC-Co-Re cemented carbides. Mater. Lett. 2019, 249, 57–61. [Google Scholar] [CrossRef]
  22. Pervikov, A.V.; Krinitcyn, M.; Glazkova, E.A.; Rodkevich, N.G.; Lerner, M.I. Synthesis of tungsten carbide from bimodal tungsten powder produced by electrical explosion of wire. Int. J. Refract. Met. Hard Mater. 2022, 103, 105733. [Google Scholar] [CrossRef]
  23. Dillon, S.J.; Harmer, M.P. Demystifying the role of sintering additives with “complexion”. J. Eur. Ceram. Soc. 2008, 28, 1485–1493. [Google Scholar] [CrossRef]
  24. Jorgensen, P.; Anderson, R. Grain-boundary segregation and final-stage sintering of Y2O3. J. Am. Ceram. Soc. 1967, 50, 553–558. [Google Scholar] [CrossRef]
  25. Perrard, F.; Deschamps, A.; Maugis, P. Modelling the precipitation of NbC on dislocations in α-Fe. Acta Mater. 2007, 55, 1255–1266. [Google Scholar] [CrossRef]
  26. Roa, J.; Jiménez-Piqué, E.; Tarragó, J.; Sandoval, D.; Mateo, A.; Fair, J.; Llanes, L. Hall-Petch strengthening of the constrained metallic binder in WC–Co cemented carbides: Experimental assessment by means of massive nanoindentation and statistical analysis. Mater. Sci. Eng. A 2016, 676, 487–491. [Google Scholar] [CrossRef]
  27. Armstrong, R.W. The hardness and strength properties of WC-Co composites. Materials 2011, 4, 1287–1308. [Google Scholar] [CrossRef]
  28. Milman, Y.V.; Luyckx, S.; Northrop, I. Influence of temperature, grain size and cobalt content on the hardness of WC–Co alloys. Int. J. Refract. Met. Hard Mater. 1999, 17, 39–44. [Google Scholar] [CrossRef]
  29. Xiao, D.; He, Y.; Song, M.; Lin, N.; Zhang, R. Y2O3-and NbC-doped ultrafine WC–10Co alloys by low pressure sintering. Int. J. Refract. Met. Hard Mater. 2010, 28, 407–411. [Google Scholar] [CrossRef]
  30. Khanna, A.S. High temperature oxidation. In Handbook of Environmental Degradation of Materials; Elsevier: Amsterdam, The Netherlands, 2005; pp. 105–152. [Google Scholar]
  31. Zhang, J.S. High Temperature Deformation and Fracture of Materials; Elsevier: Amsterdam, The Netherlands, 2010. [Google Scholar]
  32. Matthews, S.; Berger, L.M. Inter-diffusion between thermally sprayed Cr3C2-NiCr coatings and an Alloy 625 substrate during long-term exposure at 500 °C, 700 °C and 900 °C. J. Alloys Compd. 2019, 770, 1078–1099. [Google Scholar] [CrossRef]
  33. Zhai, W.; Gao, Y.; Sun, L.; He, L.; Wang, Y. Improvement of high temperature oxidation behavior of Cr3C2-20 wt% Ni cermets by adding 1 wt% Mo. J. Alloys Compd. 2018, 731, 271–278. [Google Scholar] [CrossRef]
  34. Reddy, N.C.; Kumar, B.A.; Reddappa, H.; Ramesh, M.; Koppad, P.G.; Kord, S. HVOF sprayed Ni3Ti and Ni3Ti+ (Cr3C2+ 20NiCr) coatings: Microstructure, microhardness and oxidation behaviour. J. Alloys Compd. 2018, 736, 236–245. [Google Scholar] [CrossRef]
  35. Guo, C.; Yu, Z.; Liu, C.; Li, X.; Zhu, Q.; Ward, R.M. Effects of Y2O3 nanoparticles on the high-temperature oxidation behavior of IN738LC manufactured by laser powder bed fusion. Corros. Sci. 2020, 171, 108715. [Google Scholar] [CrossRef]
  36. Sun, D.; Liang, C.; Shang, J.; Yin, J.; Song, Y.; Li, W.; Liang, T.; Zhang, X. Effect of Y2O3 contents on oxidation resistance at 1150 C and mechanical properties at room temperature of ODS Ni-20Cr-5Al alloy. Appl. Surf. Sci. 2016, 385, 587–596. [Google Scholar] [CrossRef]
  37. Zhao, J.; Ouyang, K.; Xie, X.; Zhang, J. Influence of Y2O3/Nd2O3 particles additive on the corrosion resistance of MAO coating on AZ91D magnesium alloy. Int. J. Electrochem. Sci. 2017, 12, 2400–2411. [Google Scholar] [CrossRef]
  38. Zhang, Y.; Guo, J.; Xu, G.; Li, Z.; Wei, S. Effect of Nd2O3 on microstructure, corrosion and wear properties of laser cladding Zr-based amorphous composite coatings on AZ91D magnesium alloy. Appl. Surf. Sci. 2023, 611, 155587. [Google Scholar] [CrossRef]
  39. Ma, X.; He, Y.; Wang, D.; Zhang, J. Superior high-temperature oxidation resistance of a novel (Al2O3–Y2O3)/Pt laminated coating. Appl. Surf. Sci. 2012, 258, 4733–4740. [Google Scholar] [CrossRef]
  40. Csanádi, T.; Vojtko, M.; Dusza, J. Deformation and fracture of WC grains and grain boundaries in a WC-Co hardmetal during microcantilever bending tests. Int. J. Refract. Met. Hard Mater. 2020, 87, 105163. [Google Scholar] [CrossRef]
Figure 1. Sintered demo MEAM sample of WC-NiCo 29-18 feedstock.
Figure 1. Sintered demo MEAM sample of WC-NiCo 29-18 feedstock.
Metals 14 00167 g001
Figure 2. Diffractograms of the samples with W:C ratio = 0.93 (a) and 0.96 (b).
Figure 2. Diffractograms of the samples with W:C ratio = 0.93 (a) and 0.96 (b).
Metals 14 00167 g002
Figure 3. Dependence of WC CSR size in the samples with the different molar ratio of W to C.
Figure 3. Dependence of WC CSR size in the samples with the different molar ratio of W to C.
Metals 14 00167 g003
Figure 4. Dependence of microhardness (a) and density (b) of the sintered samples on the mass ratio of W to C in the initial powder.
Figure 4. Dependence of microhardness (a) and density (b) of the sintered samples on the mass ratio of W to C in the initial powder.
Metals 14 00167 g004
Figure 5. Structure of the WC-{NiCo 29-18} samples sintered with μ -WC (a,c,e,g) and n-WC (b,d,f,h,i) powder and different additives: Y2O3 (a,b), VC (c,d), Nd2O3 (e,f), Cr3C2 (g,h), and NbC (i).
Figure 5. Structure of the WC-{NiCo 29-18} samples sintered with μ -WC (a,c,e,g) and n-WC (b,d,f,h,i) powder and different additives: Y2O3 (a,b), VC (c,d), Nd2O3 (e,f), Cr3C2 (g,h), and NbC (i).
Metals 14 00167 g005
Figure 6. Density (a) and porosity (b) of the sintered WC-{NiCo 29-18} samples.
Figure 6. Density (a) and porosity (b) of the sintered WC-{NiCo 29-18} samples.
Metals 14 00167 g006
Figure 7. Vickers hardness HV[0.5/10] of the WC-{NiCo 29-18} samples with n-WC and μ -WC powder and different additives.
Figure 7. Vickers hardness HV[0.5/10] of the WC-{NiCo 29-18} samples with n-WC and μ -WC powder and different additives.
Metals 14 00167 g007
Figure 8. Microhardness of the samples with different Y2O3 content.
Figure 8. Microhardness of the samples with different Y2O3 content.
Metals 14 00167 g008
Figure 9. Weight gain per unit surface area ( Δ W/A) (a) and their squares (b) as a function of oxidation time for all samples after isothermal oxidation testing at 800 °C.
Figure 9. Weight gain per unit surface area ( Δ W/A) (a) and their squares (b) as a function of oxidation time for all samples after isothermal oxidation testing at 800 °C.
Metals 14 00167 g009
Figure 10. Bending strength of the MEAM samples.
Figure 10. Bending strength of the MEAM samples.
Metals 14 00167 g010
Disclaimer/Publisher’s Note: The statements, opinions and data contained in all publications are solely those of the individual author(s) and contributor(s) and not of MDPI and/or the editor(s). MDPI and/or the editor(s) disclaim responsibility for any injury to people or property resulting from any ideas, methods, instructions or products referred to in the content.

Share and Cite

MDPI and ACS Style

Krinitcyn, M.; Svarovskaya, N.V.; Rodkevich, N.; Ryumin, E.; Lerner, M. Structure and Properties of WC-Fe-Ni-Co Nanopowder Composites for Use in Additive Manufacturing Technologies. Metals 2024, 14, 167. https://doi.org/10.3390/met14020167

AMA Style

Krinitcyn M, Svarovskaya NV, Rodkevich N, Ryumin E, Lerner M. Structure and Properties of WC-Fe-Ni-Co Nanopowder Composites for Use in Additive Manufacturing Technologies. Metals. 2024; 14(2):167. https://doi.org/10.3390/met14020167

Chicago/Turabian Style

Krinitcyn, Maksim, Natalia V. Svarovskaya, Nikolay Rodkevich, Egor Ryumin, and Marat Lerner. 2024. "Structure and Properties of WC-Fe-Ni-Co Nanopowder Composites for Use in Additive Manufacturing Technologies" Metals 14, no. 2: 167. https://doi.org/10.3390/met14020167

APA Style

Krinitcyn, M., Svarovskaya, N. V., Rodkevich, N., Ryumin, E., & Lerner, M. (2024). Structure and Properties of WC-Fe-Ni-Co Nanopowder Composites for Use in Additive Manufacturing Technologies. Metals, 14(2), 167. https://doi.org/10.3390/met14020167

Note that from the first issue of 2016, this journal uses article numbers instead of page numbers. See further details here.

Article Metrics

Back to TopTop