Molecular Dynamics Simulation of Temperature and Ti Volume Fraction on Compressive Properties of Ti/Al Layered Composites
Abstract
1. Introduction
2. Computational and Simulation Methods
3. Results and Discussion
3.1. Modeling of Compressive Deformation Behavior of Ti/Al Layered Composite
3.2. Modeling of Temperature Effects on the Compressive Properties of Ti/Al Layered Composites
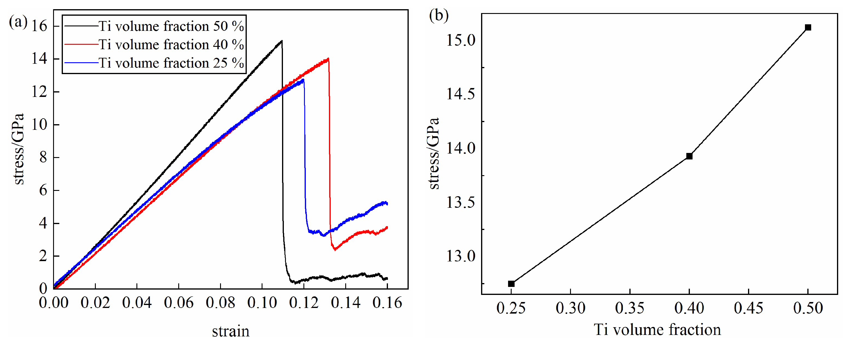
3.3. Modeling of the Effect of the Ti Volume Fraction on the Compressive Properties of Ti/Al Layered Composites
4. Conclusions
- (1)
- When the strain rate is 0.0002p−1 and the temperature is 300 K, the Ti/Al layered composite shows an obvious peak in the stress–strain curve under compressive loading perpendicular to the interface. The types of dislocations during compression are mainly dominated by 1/6<211> and 1/6<112> dislocations. Initially, the dislocations are concentrated on the Al side, and during compression, the dislocations 1/2<101> and 1/6<211> cross the interface from the Al side to the Ti side.
- (2)
- Temperature exerts a significant impact on the compressive properties of the Ti/Al layered composites. The increase in temperature promotes the nucleation of initial dislocations at lower strains, leading to a decrease in the ultimate compressive strength as well as an increase in the plasticity of the Ti/Al layered composites. When the temperature exceeds 400 K, the Ti and Al atoms generate ordered intermetallic compounds, which results in a decreasing compressive strength reduction rate.
- (3)
- The compressive properties of Ti/Al layered composites vary with the Ti volume fractions. When the Ti volume fraction is 40% and 25%, the plastic deformation during compression mainly concentrates on the Ti side. And the dislocation type is mainly dominated by 1/6<112>. For the sample with a 50% Ti volume fraction, the plastic deformation mainly concentrates on the Al side, resulting in an increase in compressive strength but a decrease in plasticity. Overall, the compressive properties of the Ti/Al layered composites can be effectively modulated by the Ti volume fraction, which provides guidance for the structural design of Ti/Al layered composites.
Author Contributions
Funding
Data Availability Statement
Conflicts of Interest
References
- Li, Z.; Mo, H.; Tian, J.; Li, J.; Hu, X.; Xia, S.; Lu, Y.; Jiang, Z. A novel Ti/Al interpenetrating phase composite with enhanced mechanical properties. Mater. Lett. 2024, 357, 135723. [Google Scholar] [CrossRef]
- Wang, E.; Lv, L.; Kang, F.; Li, S.; Li, J.; Tian, Y.; Jiang, W.; Song, X. Enhanced Properties of Ti/Al Laminated Composite Reinforced by High-Entropy Alloy Particles. Metals 2023, 13, 1227. [Google Scholar] [CrossRef]
- Huang, M.; Xu, C.; Fan, G.; Maawad, E.; Gan, W.; Geng, L.; Lin, F.; Tang, G.; Wu, H.; Du, Y.; et al. Role of layered structure in ductility improvement of layered Ti-Al metal composite. Acta Mater. 2018, 153, 3235–3249. [Google Scholar] [CrossRef]
- Lau, M.; Ehrensberger, O.; Weißgärber, T.; Heubner, F. Impact of hydride composite materials on thermochemical hydrogen compression. Int. J. Hydrogen Energy 2024, 71, 562–570. [Google Scholar] [CrossRef]
- Liu, M.; Zhang, X.; Wang, Z.; Guo, C.; Yang, Y.; Jiang, F. Compressive mechanical behavior of B2 FeAl-based metal-intermetallic laminate composites. J. Mater. Sci. 2024, 59, 10264–10286. [Google Scholar] [CrossRef]
- Luo, S.W.; Yue, W.U.; Biao, C.H.; Min, S.O.; Yi, J.H.; Guo, B.S.; Wang, Q.W.; Yong, Y.A.; Wei, L.I.; Yu, Z.T. Effects of Cu content on microstructures and compressive mechanical properties of CNTs/Al-Cu composites. Trans. Nonferrous Met. Soc. China 2022, 32, 3860–3872. [Google Scholar] [CrossRef]
- Zhao, N.; Zhang, Z.; Ren, C.; Cui, Z.; Ye, F. Finite element simulation of the effect of particle shape and thermal residual stress on the tensile properties of NbCp/Fe composites. Mater. Today Commun. 2024, 41, 110381. [Google Scholar] [CrossRef]
- Chen, W.; He, W.; Chen, Z.; Zhou, Z.; Liu, Q. Effect of wavy profile on the fabrication and mechanical properties of Al/Ti/Al composites prepared by rolling bonding: Experiments and finite element simulations. Adv. Eng. Mater. 2019, 21, 1900637. [Google Scholar] [CrossRef]
- Dong, R.-E.; Assari, A.H.; Yaghoobi, S.; Mahmoodi, M.; Ghaderi, S. Effect of Volume Fraction of Ti on Microstructure Evolution and Thermal Properties of Al/Ti Laminated Composites. Met. Mater. Int. 2023, 30, 1002–1014. [Google Scholar] [CrossRef]
- Jing, D.; Meng, L.; Zhou, B.; Xu, J.; Ya, B.; Zhao, J.; Zhang, X. Effect of the Ti volume fraction on microstructure and mechanical properties of brick-and-mortar structure Ti/Al3Ti metal-intermetallic laminate composites. J. Mater. Res. Technol. 2023, 26, 2643–2654. [Google Scholar] [CrossRef]
- Bian, X.; Wang, A.; Xie, J.; Liu, P.; Mao, Z.; Liu, Z. The tensile and compressive deformation mechanisms of the Cu/Al2Cu/Al-layered composites via molecular dynamics simulation. Appl. Phys. A 2023, 129, 719. [Google Scholar] [CrossRef]
- Polyakova, P.V.; Baimova, J.A. The Effect of Atomic Interdiffusion at the Al/Cu Interface in an Al/Cu Composite on Its Mechanical Properties: Molecular Dynamics. Phys. Met. Metallogr. 2023, 124, 394–401. [Google Scholar] [CrossRef]
- Li, H.; Lan, F.; Wang, Y.; Lin, X.; Zhao, Y.; Zhen, Q.; Chen, D. Molecular Dynamics Simulation and Experimental Study of Mechanical Properties of Graphene–Cement Composites. Materials 2024, 17, 410. [Google Scholar] [CrossRef]
- Weng, S.; Ning, H.; Fu, T.; Hu, N.; Zhao, Y.; Huang, C.; Peng, X. Molecular dynamics study of strengthening mechanism of nanolaminated graphene/Cu composites under compression. Sci. Rep. 2018, 8, 3089. [Google Scholar] [CrossRef]
- Fereidonnejad, R.; Moghaddam, A.O.; Moaddeli, M. Modified embedded-atom method interatomic potentials for Al-Ti, Al-Ta, Al-Zr, Al-Nb and Al-Hf binary intermetallic systems. Comput. Mater. Sci. 2022, 213, 111685. [Google Scholar] [CrossRef]
- Faken, D.; Jónsson, H. Systematic analysis of local atomic structure combined with 3D computer graphics. Comput. Mater. Sci. 1994, 2, 279–286. [Google Scholar] [CrossRef]
- Zhan, H.; Gu, Y.; Yan, C.; Feng, X.; Yarlagadda, P. Numerical exploration of plastic deformation mechanisms of copper nanowires with surface defects. Comput. Mater. Sci. 2011, 50, 3425–3430. [Google Scholar] [CrossRef]
- Zhan, H.F.; Gu, Y.T.; Yan, C.; Yarlagadda, P. Bending properties of Ag nanowires with pre-existing surface defects. Comput. Mater. Sci. 2014, 81, 45–51. [Google Scholar] [CrossRef]
- Wei, Q. Strain rate effects in the ultrafine grain and nanocrystalline regimes-influence on some constitutive responses. J. Mater. Sci. 2007, 42, 1709–1727. [Google Scholar] [CrossRef]
- Lin, E.; Niu, L.; Shi, H.; Duan, Z. Molecular dynamics study on the nano-void growth and coalescence at grain boundary. Sci. China Phys. Mech. Astron. 2012, 55, 86–93. [Google Scholar] [CrossRef]
- Satyajit, M. Molecular dynamics study of plasticity in Al-Cu alloy nanopillar due to compressive loading. Phys. B Condens. Matter 2018, 530, 86–89. [Google Scholar]
- Liu, L.; Deng, Q.; Su, M.; An, M.; Wang, R. Strain rate and temperature effects on tensile behavior of Ti/Al multilayered nanowire: A molecular dynamics study. Superlattices Microstruct. 2019, 135, 106272. [Google Scholar] [CrossRef]
- Chang, W.-J.; Fang, T.-H. Influence of temperature on tensile and fatigue behavior of nanoscale copper using molecular dynamics simulation. J. Phys. Chem. Solids 2003, 64, 1279–1283. [Google Scholar] [CrossRef]
- Koh, S.J.; Lee, H.P.; Lu, C.; Cheng, Q.H. Molecular dynamics simulation of a solid platinum nanowire under uniaxial tensile strain: Temperature and strain-rate effects. Phys. Rev. B 2005, 72, 085414. [Google Scholar] [CrossRef]
- Tang, J.; Yao, J.; Huang, K.; Hu, Q. Effect of deformation temperature on plastic deformation mechanism of magnesium twin interface with void. J. Plast. Eng. 2021, 28, 152–156. [Google Scholar]
- Zhan, H.F.; Gu, Y. Theoretical and numerical investigation of bending properties of Cu nanowires. Comput. Mater. Sci. 2012, 55, 73–80. [Google Scholar] [CrossRef][Green Version]
- Liu, M.; Zhang, C.; Meng, Z.; Zhao, G.; Chen, L. TiAl3 nucleation mechanism and atomic-scale interface features in the Al/Ti composite structures. Compos. Part B 2021, 226, 109331. [Google Scholar] [CrossRef]
- Thiyaneshwaran, N.; Sivaprasad, K.; Ravisankar, B. Nucleation and growth of TiAl3 intermetallic phase in diffusion bonded Ti/Al Metal Intermetallic Laminate. Sci. Rep. 2018, 8, 16797. [Google Scholar] [CrossRef]
- Zare, Y.; Munir, M.T.; Rhee, K.Y. Tensile modulus of polymer halloysite nanotubes nanocomposites assuming stress transferring through an imperfect interphase. Sci. Rep. 2024, 14, 23219. [Google Scholar] [CrossRef]
- Kou, G.; Zhang, W.; Chen, J.; Chen, J.; Yang, Z. An improved rule of mixture model based on deformation coordination in predicting engineering constants of unidirectional fiber reinforced composites. Mater. Today Commun. 2023, 34, 105072. [Google Scholar] [CrossRef]
- Huang, M.; Chen, S.J.; Wu, H.; Fan, G.H.; Geng, L. Strengthening and toughening of layered Ti-Al metal composites by controlling local strain contribution. IOP Conf. Ser. Mater. Sci. Eng. 2017, 219, 012028. [Google Scholar] [CrossRef]










| Model Number | 1 | 2 | 3 |
|---|---|---|---|
| Model size () | 79.65 × 40.88 × 75.84 | 79.65 × 40.88 × 94.56 | 79.65 × 40.88 × 113.25 |
| Ti model size | 79.65 × 40.88 × 16.38 | 79.65 × 40.88 × 37.47 | 79.65 × 40.88 × 57.13 |
| Al model size | 79.65 × 40.88 × 56.12 | 79.65 × 40.88 × 56.12 | 79.65 × 40.88 × 56.12 |
| Volume fraction of Ti | 25% | 40% | 50% |
| Total number of atoms | 13,824 | 17,280 | 20,736 |
Disclaimer/Publisher’s Note: The statements, opinions and data contained in all publications are solely those of the individual author(s) and contributor(s) and not of MDPI and/or the editor(s). MDPI and/or the editor(s) disclaim responsibility for any injury to people or property resulting from any ideas, methods, instructions or products referred to in the content. |
© 2024 by the authors. Licensee MDPI, Basel, Switzerland. This article is an open access article distributed under the terms and conditions of the Creative Commons Attribution (CC BY) license (https://creativecommons.org/licenses/by/4.0/).
Share and Cite
Chen, S.; Wang, H.; Yan, P.; Li, S.; Zhang, H.; Zhan, H. Molecular Dynamics Simulation of Temperature and Ti Volume Fraction on Compressive Properties of Ti/Al Layered Composites. Metals 2024, 14, 1182. https://doi.org/10.3390/met14101182
Chen S, Wang H, Yan P, Li S, Zhang H, Zhan H. Molecular Dynamics Simulation of Temperature and Ti Volume Fraction on Compressive Properties of Ti/Al Layered Composites. Metals. 2024; 14(10):1182. https://doi.org/10.3390/met14101182
Chicago/Turabian StyleChen, Shuqin, Haonan Wang, Pengxiang Yan, Shoufu Li, Huang Zhang, and Haifei Zhan. 2024. "Molecular Dynamics Simulation of Temperature and Ti Volume Fraction on Compressive Properties of Ti/Al Layered Composites" Metals 14, no. 10: 1182. https://doi.org/10.3390/met14101182
APA StyleChen, S., Wang, H., Yan, P., Li, S., Zhang, H., & Zhan, H. (2024). Molecular Dynamics Simulation of Temperature and Ti Volume Fraction on Compressive Properties of Ti/Al Layered Composites. Metals, 14(10), 1182. https://doi.org/10.3390/met14101182

