Next Article in Journal
Microstructural and Mechanical Characterization of the Laser Beam Welded SAF 2507 Super-Duplex Stainless Steel
Previous Article in Journal
Molecular Dynamics Simulation of Temperature and Ti Volume Fraction on Compressive Properties of Ti/Al Layered Composites
 
 
Font Type:
Arial Georgia Verdana
Font Size:
Aa Aa Aa
Line Spacing:
Column Width:
Background:
Article

Wetting Behaviors of Al-Si-Cu-Mg-Zn Brazing Materials on 5083 Aluminum Alloy

1
School of Mechanical Engineering, Nantong University, Nantong 226019, China
2
School of Automotive and Traffic Engineering, Jiangsu University of Technology, Changzhou 213001, China
3
School of Art and Design, Hu Bei University of Automotive Technology, Shiyan 442002, China
4
Hubei Provincial Key Laboratory of Automotive Power Transmission and Electronic Control, Shiyan 442002, China
5
College of Automotive Engineering, Hu Bei University of Automotive Technology, Shiyan 442002, China
*
Authors to whom correspondence should be addressed.
Metals 2024, 14(10), 1183; https://doi.org/10.3390/met14101183
Submission received: 22 August 2024 / Revised: 12 September 2024 / Accepted: 13 September 2024 / Published: 17 October 2024

Abstract

The wetting behaviors of Al-Si-Cu-Mg-Zn brazing materials on 5083 aluminum alloy substrate were investigated through changing the proportion of Mg from 0 to 2 wt.%. The experimental results showed that the welding process goes through the three following stages: slow spreading, fast spreading, and stabilizing. The wettability of the brazing material was improved effectively, and the porosity of the interfacial layer was reduced, with the addition of Mg. With Mg content at 1 wt.%, the wetting diameter reached a maximum value of 20.46 mm. The reaction mechanism of the wetted interfacial layer between the brazing material and substrate alloy was illustrated with dynamic data, provided through experimentation and simulated thermodynamic calculation, and showed that the wetting behavior of the resultant Al-7.5Si-15Cu-1Mg-5Zn brazing material was dominated primarily by a diffusion reaction from elemental magnesium.

1. Introduction

5083 aluminum alloy is widely used in the automotive, marine, and aerospace fields for its high specific strength and excellent corrosion resistance [1,2]; however, cracking or fracture damage that occurs after long service or in complex environments requires repair via welding, during which, the oxide film structure on the surface of 5083 aluminum alloy can hinder the spreading of filler metal and reduce weld efficacy [3,4]. Numerous studies have shown [5,6,7] that arc brazing can effectively remove the oxide film on the surfaces of aluminum alloys with high Mg content, which ensures the effective spreading of the brazing material; however, it is difficult to ensure the stability and durability of welded joints when improving wettability through the brazing process alone. Therefore, in order to enhance the welding quality, a large number of studies have been devoted to improving wettability between a brazing alloy and a substrate.
Some other studies [8,9] have shown that sub-eutectic Al-Si brazing materials have good fluidity and wettability. Adding other elements to Al-Si brazing alloys according to the composition of the brazing substrate can further improve their wetting properties. Luo [10] and Chengyin [11] found that the addition of Cu can enhance the wettability of Al-Si brazing materials and reduce their melting points. Dai [12] prepared an Al-Si-Zn brazing material and found that the addition of Zn can effectively enhance the wetting performance of the alloy. The above studies have demonstrated that Cu and Zn can enhance the wettability of Al-Si brazing materials; however, the main composition of 5083 aluminum alloy is Al-Mg. Li [13] investigated the effect of Mg content variation on the microstructure and properties of Al-7Si alloy, and the results indicate that Mg has high activity. The addition of trace amounts of Mg (1 wt.%) can induce the refinement of α-Al grains in Al-7Si alloy; however, further research is needed to determine whether the microstructural changes caused by the addition of Mg into an Al-Si brazing alloy affect its wettability.
Wetting behavior is a complex chemical process [14], and the wettability of a brazing material is closely related to its interfacial reaction [15,16,17]. Liu [18] illustrated the interfacial layer reaction mechanism and the relationship between the generation of interfacial IMCs (intermetallic compounds) and wetting behavior in Al-Si braze-welded stainless steel using thermodynamic calculations. Yu [19] calculated the Gibbs free energy and chemical potential of the interface between laser-welded stainless steel and ZrO2 ceramics through thermodynamics, explained the diffusion mechanism of the involved elements during the welding process, and derived the influences of interfacial IMCs on wettability. Similar thermodynamic calculations can be used to elucidate the formation mechanism of the interfacial layer and understand the wetting behaviors of brazing materials on the surface of 5083 aluminum alloy.
In this work, Al-Si-Cu-Zn brazing materials with different Mg contents were prepared. The arc wetting behaviors of brazing materials on the 5083 aluminum alloy’s surface were studied through dynamic temperature data. The reaction mechanism of the interfacial layer between the Mg-containing brazing material and the 5083 substrate was investigated using wetting simulations and thermodynamic calculations.

2. Materials and Methods

2.1. Brazing Alloy Preparation

The test brazing materials were made from high-purity Al, Zn, and Mg metal particles, as well as Al-12Si and Al-20Cu master alloy, and melted in an SX2-4-10A box-type resistance furnace, produced in China; the resultant brazing alloys’ compositions are shown in Table 1. In order to reduce the effect of compositional bias on the experimental results, the brazing material was remelted three times, and mechanical stirring was carried out every 10 min to homogenize the composition of the melted brazing material, which was then left to cool naturally and subsequently cleaned using ultrasonic waves to remove the salt mixture. The brazing alloy was then hot rolled at 420 °C using a two-roll reversible hot rolling mill, made in China, to roll the brazing alloy to a thickness of 3 mm. Finally, the rolled brazing alloy was processed into 3 mm × 3 mm × 200 mm strips using an SG3000 EDM (Electrical Discharge Machining, Suzhou Sanguang Group in Suzhou, China), machine, made in China, and the strips were subjected to wetting experiments.

2.2. Wetting Test

Wetting experiments were conducted using 5083 aluminum alloy with dimensions of 40 mm × 40 mm × 3 mm as the substrate, the chemical composition of which is shown in Table 2. The surface of the substrate was sanded with sandpaper to remove sections of the oxide film and cleaned with anhydrous ethanol to ensure a clean surface. The arc wetting test was carried out with a Panasonic YC-350WX5HGE (China Tangshan Panasonic Industry Co., Ltd., Tangshan, China) welder under a current of 100A, under argon protection throughout the whole process, with the distance between the tungsten needle and the substrate surface at 10 mm. During the experimental process, the arc was first ignited for 2–3 s, and oxide film on the surface of the substrate was removed using a negative-cycle, high-frequency AC arc. Afterwards, the brazing materials were added and wetted for 6 s, after which, the arc was extinguished, ensuring that brazing materials were wetted sufficiently, using a high-speed video camera to record the dynamic wetting process for observation; meanwhile, an infrared IT-8H3 thermometer, manufactured in China, was used to record the instantaneous arc temperature. The schematic diagram of the arc wetting test is shown in Figure 1.
At the end of the wetting test, the wetted specimens were cut and machined using an EDM machine, then prepared with grinding and polishing procedures. The microstructures of the specimens were analyzed using a German-made scanning electron microscope (ZEISS Sigma500, Carl Zeiss AG, Oberkochen, Germany) equipped with energy dispersive X-ray spectroscopy (EDS), Carl Zeiss AG, Oberkochen, Germany.

3. Results

3.1. Wetting and Spreading Behaviors

In order to study the arc wetting process of Al-Si-Cu-Zn brazing materials with different Mg contents more visually, a high-speed camera was used to record the dynamic wetting processes of five brazing materials on a 5083 substrate (Figure 2), and the wetting trends of the five brazing materials were fundamentally similar. The wetting process was divided into three stages according to the various tendencies of the wetting angle and wetting diameter. In Stage I (0–1.5 s), brazing materials absorbed the heat source of the arc and began to melt; the wetting triple line slowly changed, showing a non-wetting state. In Stage II (1.5–4.5 s), due to the cumulative effect of arc brazing heat, the heat of the wetting center increased gradually with time; the brazing materials and substrate were heated, and the brazing materials spread rapidly; the wetting angle decreased, while the wetting diameter increased. In Stage III (4.5–6 s), brazing materials spread slowly, and the trends of change for the wetting angle and diameter decreased; the brazing alloy reached the limit of wetting ability during the rapid spreading stage and was no longer affected by thermal accumulation effects. Unlike with conventional isothermal wetting experiments in a furnace [20,21], the brazing material droplets appeared spherical on the substrate surface before the surface oxide film broke up, which occurred because the oxide layer on the substrate surface was broken down by the arc action and subsequently diffused with the brazing materials. The brazing materials started their diffusion process before the oxide film completely broke up, as can be seen from the black impurities that appeared around the brazing materials during the wetting process, shown in Figure 2.
The trends of wetting diameters for the five brazing materials, as captured with a high-speed camera, and the final wetting angle results are shown in Figure 3a,b, respectively. The trends of the wetting diameter for the five brazing materials were basically the same; across the Mg content increases, the wetting diameter of initially enlarged and then diminished. The brazing material achieved its maximum final wetting diameter, measured at 20.47 mm, when the Mg content was 1 wt.%; the minimum wetting angle achieved was 11.72°, also at 1 wt.% Mg, as can be seen in Figure 3b. According to the description of Young’s equation [22], when the wetting angle θ is less than 30°, it exhibits partial wetting, indicating a certain chemical affinity between the brazing material and the substrate. The wetting angle at 4.5 s of the rapid spreading phase in Figure 3b was compared with the final wetting angle, and the values of the two were found to be essentially similar, suggesting that the spread of brazing materials is not influenced by the thermal accumulation within the wetted interfacial layer during the stabilization phase; therefore, the focus of this study is on the rapid spreading process of Stage II.

3.2. Interfacial Microstructure Evolution

Microstructure images and surface scanning results of the Al-7.5Si-15Cu-1Mg-5Zn brazing material are shown in Figure 4; the EDS analysis results for the four points labeled A, B, C, and D therein are also presented in Table 3, according to which, the microstructure of the brazing material mainly consisted of a gray α-Al phase, a black massive primary Si phase, a white Al2Cu phase, and a bright white Al-Cu-Mg-Zn solid solution.
The microstructure images of five brazing materials are shown in Figure 5. In Figure 5a, it can be seen that, when no Mg was added, there was a large concentrated number of coarse massive Si particles embedded in the Al2Cu phase; when 0.5 wt.% Mg was added, the concentration of Si particles decreased; when the Mg content reached 1 wt.%, the concentration of Si particles was further reduced, while the number of Si particles was also obviously reduced, as the organization distribution was more uniform; when the Mg concentration exceeded 1 wt.%, the Si particles disappeared within the tissue, although the Al2Cu phase was spread within the tissue. Observing the EDS results of points P1 and P2 in Table 4, it can be seen that some Mg participation existed within the Al2Cu phase, due to the excessive activity of Mg, which tends to react with the Al2Cu phase.
Wetting interface micrographs of five brazing materials on a 5083 aluminum alloy substrate are shown in Figure 6. The entire wetted interface was segmented into three layers: the brazing material layer, the interfacial layer, and the substrate. Examining the EDS spectra presented in Table 5 reveals that the brazing material layers were primarily composed of a gray α-Al phase and a white Al₂Cu phase, indicating that the growth kinetics for the five brazing materials were largely comparable throughout the wetting diffusion process. The primary Si phase was not detected within the microstructure, which was attributed to the fact that, under the influence of arc brazing, the Si present in the interfacial layer reacted with Al and Mg in the substrate to form an α-Al + Mg2Si eutectic phase. Cu had strong diffusion ability and reacted with Al within the interfacial layer to form the Al2Cu phase; Zn had a good solid solution effect with Al, reacting with Al in the interfacial layer to dissolve within the α-Al phase.
Research has indicated that the thinner the wetting interfacial layer, the better the wetting and spreading properties of a brazing material on the substrate surface [23,24,25]. In Figure 6, it can be seen that the interfacial layer was mainly composed of Al2Cu and Mg2Si phases when no Mg was added. Under the same wetting environment, the thickness of the interfacial layer decreased and then increased with increasing Mg content. The thickness and porosity of the interfacial layer decreased with the addition of 0.5 wt.% Mg, compared to the brazing material without Mg, due to the fact that the atomic radius of Mg was larger than that of an Al atom. The diffusion of Mg into the interfacial layer expands the aluminum lattice and enhances the solid solubility of Si, as well as that of Zn, in α-Al, resulting in a more tightly organized interfacial layer and reducing porosity. In addition, the Mg2Si phase has a further eutectic reaction with α-Al to form an α-Al + Mg2Si phase. Li [13] showed that the ternary eutectic reaction of Mg with Al and Si can reduce the surface tension of the alloy melt; as a result, the wettability of the brazing material was improved. When the Mg content was raised to 1 wt.%, the interfacial layer was at its thinnest, again consisting of an Al2Cu phase and an α-Al + Mg2Si phase. Compared to the interfacial IMCs at 0.5 wt.% Mg, those at 1 wt.% Mg were more uniformly distributed, and the wettability of the brazing material was further improved. The thickness of the interfacial layer increased again when the Mg content exceeded 1 wt.%, as the Mg content was close to the maximum solid solubility of elemental Mg in elemental Al. Excessive Mg tended to react with Al and Cu; for example, at points P14 and P18, it can be seen that Mg aggregated near the Al2Cu phase, which increased the thickness of the interfacial layer, and the wettability of the brazing material decreased with the increase in the thickness of the interfacial layer.
In summary, the best brazing material wetting performance was achieved with an Mg content of 1 wt.%; however, the mechanism behind the formation of the wetting interfacial layer is not clear, the specifics of which will be discussed later.

4. Wetting Simulation

Reactive wetting describes the type of wetting that occurs between metals. Thermodynamic calculations can be used to analyze the tendencies of elements to move during diffusion at the interfacial layer, thus revealing the mass transfer behavior during wetting. The prerequisite for performing thermodynamic analysis is to obtain the growth conditions of interfacial IMCs, i.e., the wetting temperature field of the Al-7.5Si-15Cu-1Mg-5Zn brazing material.
Wetting simulations were conducted using Fluent 19.0 software to determine the growth temperatures of intermetallic compounds (IMCs); meanwhile, the predictions of free surface shape and heat transfer were conducted using volume-of-fluid (VOF) and solidification–melting models. The wetting cross-section was simplified to a two-dimensional axisymmetric model, and the wetting process was set in an argon environment. The model was 10 mm × 10 mm, divided into 0.1 mm × 0.1 mm meshes. The brazing material model was assumed to be a standard sphere. Based on the actual wetting experimental dosage of 0.15 g, the brazing radius was calculated to be 2 mm. In order to ensure accurate model meshing, the brazing model radius was reduced to 1 mm, at a scale of 1:2. The molten brazing material was set to incompressible Newtonian viscous laminar flow [26]; the 5083 aluminum alloy was set to not melt during the spreading process; a Gaussian heat source was used. According to the heat source formula, the center of the heat source was set 3 mm from the plate surface, with a radius of 3.5 mm. Boundary conditions included atmospheric boundaries (velocity inlet and pressure outlet), the axis of symmetry, and substrate walls. The pressure was set to one standard atmospheric pressure, and the initial temperature was set to 273.15 K. The whole model and meshing are shown in Figure 7.
The arc heat source used in this simulation was simplified to a heat source with a Gaussian distribution of energy, calculated as follows:
q = ( x ,   y ) = α U I η π r 2 × e x p 3 ( y 2 + x 2 ) r 2
where α is the heat source coefficient, which took the value of 300 for this simulation; U is the arc voltage; I is the arc current; η is the arc thermal efficiency; r is the equivalent radius of the heat source; and x and y are the heat source applied positions within the model.
Argon protective gas parameters were obtained from Fluent’s database; due to the limited data on the physical properties of brazing materials and the 5083 substrate at elevated temperatures, calculations were performed using JMatPro 7.0 software, from which, some of the physical property parameters are shown in Table 6. Considering the thermal accumulation effect during the arc wetting process, the density ρ, thermal conductivity K, viscosity v, and the surface tension F of the brazing material and the thermal conductivity K1 of the 5083 substrate change with increasing heat; during Fluent software simulation, they could not be directly inputted as fixed constants, so these parameters needed to be fitted into formulas and written as a UDF (user-defined function) file using Visual Studio software 2022, which was then imported at the time of parameter setting. The specific physical property parameter formulas are as follows:
ρ = [ 2.71 + 0.4 1 + ( T 1152.53 ) 1.81 ] × 10 3 298.15 K T 688.15 K ρ = [ 2.81 + 0.17 1 + ( T 792.59 ) 42 ] ×   10 3             688.15 < T < 817.13 K ρ = [ 2.32 + 0.66 1 + ( T 1337.03 ) 2.7 ] × 10 3         T 817.13 K
K = 122.53 - 36.03 1 + ( T 292.71 ) 3.29 298.15 K T 688.15 K K = 63.17 + 57.72 1 + ( T 797.98 ) 3.29             688.15 < T < 817.13 K K = 121.19 - 60.41 1 + ( T 1237.75 ) 2.7     T 817.13 K
    v = [ 6.79 1 + ( T 818.77 ) 10.69 - 0.98 ] × 10 - 3 688.15 K T 817.13 K v = [ 0.79 + 22.14 1 + ( T 458.33 ) 4.34 ] × 10 - 3     T > 817.13 K
  F = [ 764.26 + 17.64 1 + ( T 725.74 ) 38.54 ] × 10 - 3 688.15 K T 817.13 K F = [ 703.84 + 76.7 1 + ( T 923.45 ) 8.75 ] × 10 - 3     T > 817.13 K
  K 1 = 175.06 - 64.74 1 + ( T 295.84 ) 2.53     273.15 K T 719.06 K K 2 = 901.98 1 + ( T 988.5 ) 27.63 - 734.11   719.06 < T < 913.15 K K 3 = 104.3 - 28.52 1 + ( T 1026.55 ) 4.81   T 913.15 K
The simulation results of brazing material wetting are shown in Figure 8. At 0–1.5 s, the brazing material was spherical and began to melt. Between 1.5 and 4.5 s, the brazing material spread rapidly as the heat increased. Between 4.5 and 6 s, the brazing material spread slowly and eventually stabilized. The simulation results match well with the morphology shown in Figure 2c. Table 7 presents a comparison between the simulated instantaneous wetting radius of the brazing material and the instantaneous wetting radius captured with the high-speed camera. The error between the instantaneous wetting radius of the wetting simulation and the actual instantaneous wetting radius was within 5%, indicating that the simulation model is relatively reliable.
Owing to the fact that the heat source used in the simulation was a surface source, the highest temperature (1000 K) was always located on the upper surface of the droplet below the arc. In order to further verify the reliability of the wetting simulation, the Fluent software’s post-processing tool was used to extract the temperature values during the simulation and compare them with the temperature values recorded with the infrared thermal imager, the results of which are shown in Table 8. The error between the simulated and the actual instantaneous temperature was around 5%, indicating that the range of temperature fields obtained from the simulation is relatively accurate. Extracting the temperature field distribution between the interfacial layers of the brazing material and the substrate, the highest temperature in the cross-section, 854.37 K, was directly below the arc. The temperature in the vicinity of the wetting triple line was 748.17 K, from which it can be inferred that the temperature field at the interfacial layer ranged from 748.17 to 854.37 K, which was therefore used as the reference temperature for subsequent thermodynamic analysis.

5. Discussion

The thermodynamic calculation temperature was established at 800 K, in accordance with the interfacial temperature derived from the wetting simulation. The interfacial layer was regarded as a five-element system, Al-Si-Cu-Mg-Zn, based on its major elemental composition. In order to ensure the efficiency and accuracy of the calculations, the interval of the elemental content for each component was set to 0.01.
The Miedema model was used to calculate the standard enthalpy of generation ΔHi,j, which for the binary system can be expressed as follows [27]:
  H i , j = f i , j x i 1 + μ i x j φ i - φ j x j [ 1 + φ j - φ i ] x i V j 2 / 3 1 + μ i x j φ i - φ j + x j V i 2 / 3 [ 1 + φ j - φ i ]
f i , j = 2 p V i 2 / 3 V j 2 / 3 [ q p n ws 1 / 3   -   φ 2 -   α ( r / p ) ] ( n ws 1 / 3 ) i - 1 + ( n ws 1 / 3 ) j - 1
where i and j denote the different constituent elements; ΔH is the standard enthalpy of generation; x is the mole fraction of the constituent elements; φ is the electronegativity; V is the molar volume; nws is the electron density; and q, r, α, and p are experimental constants given in Miedema’s model, where the values of q/p are used depending on whether the metal is a transition or non-transition metal. As Si is not in the metallic state under normal conditions, an additional energy term (xsiΔHtran) needs to be introduced in order to account for the transition energy from the normal state to the assumed metallic state, the specific parameters of which are shown in Table 9 and Table 10 [27].
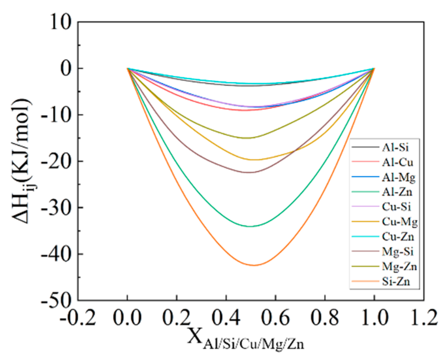
The enthalpy of generation between each binary system of the overall Al-Si-Cu-Mg-Zn system is shown in Figure 9, where it can be observed that the enthalpy of formation for each binary system is negative, suggesting that the elements in the brazing material have a tendency to spontaneously react with one another. Tian [28] showed that, in a binary system, the more negative the enthalpy of formation (meaning the more negative its Gibbs free energy), the easier and more stable the reaction between two elements. As can be observed in Figure 9, the binary formation enthalpy values of Zn with Al, Mg, or Si is more negative compared to those of other binary systems, confirming the results from the EDS energy spectra in Table 5, i.e., Zn was mainly solid solved in an α-Al phase, with a small amount also present between the α-Al + Mg2Si phases; therefore, since Zn mainly reacted with α-Al in a solid solution and did not produce intermetallic chemicals, the Zn-containing ternary system was ignored in the subsequent thermodynamic analysis. Instead, the thermodynamic analyses were mainly carried out with the three ternary systems of Al-Mg-Si, Al-Si-Cu, and Al-Cu-Mg.
Based on the Miedema model, a model for calculating the enthalpy of generation tool for a ternary system was derived with the following expression [29]:
H i j k = x j 1 x i H i j x i , 1 x i + x k 1 x i H i k x i , 1 x i + ( x j + x k ) 2 H j k x j x j + x k , x k x j + x k
The enthalpy values of generation for the ternary systems Al-Mg-Si, Al-Si-Cu, and Al-Cu-Mg were calculated according to the above equations, and the results are shown in Figure 10, where it can be seen that all ternary systems demonstrated negative values, which suggests that there was a tendency for the formation of IMCs between these elements. Figure 10a shows the calculated enthalpy of formation for the Al-Mg-Si ternary system, in which the lowest enthalpy of formation occurred between Mg and Si, indicating that the Mg-Si phase can be precipitated more easily; additionally, the S1 point (Al 0.12, Si 0.316, Mg 0.564) was the lowest point of enthalpy of formation of the ternary system, at about −11.2 KJ/mol. The Al-Si-Cu ternary system, illustrated in Figure 10b, had its lowest enthalpy of generation at the S2 point (Al 0.521, Si 0.216, Cu 0.263), while the lowest enthalpy of generation reaction occurred between Al and Cu, indicating that the Al-Cu phase precipitates more readily, with a minimum enthalpy of production of −9.1 KJ/mol. Figure 10c shows the Al-Cu-Mg ternary system, in which the lowest enthalpy of formation was located at the S3 point (Al 0.113, Cu 0.563, Mg 0.324), and the lowest enthalpy of formation reaction occurred between Mg and Cu, showing the Mg-Cu phase was easier to precipitate, and the lowest enthalpy of formation was −10.2 KJ/mol.
Considering a ternary system as a regular solution, its total Gibbs free energy, G, consists of ideal free energy, GID, and excess free energy, GE; the ideal free energy GID was calculated as follows [14]:
G i j I D = x i G i 0 + x j G j 0 + R T ( x i l n x i + x j l n x j )
where T is the temperature of the group element and R is the molar gas constant, with a value of 8.314 J/(mol-K).
The excess free energy GE is obtained as follows [30]:
G i j E = H i j [ 1 1 14 1 T m , i + T m , j ]
For which Tm,i and Tm,j are the melting temperatures of the different elements.
The chemical potential μi of element i in the system is obtained through the following equation [14]:
μ i = G x i
The chemical potentials of Mg and Si in the Al-Mg-Si ternary system, Cu in the Al-Si-Cu ternary system, and Mg in the Al-Cu-Mg ternary system were calculated at 800 K according to the above equations, and the results are shown in Figure 11. The driving force for elemental diffusion is the chemical potential gradient. When the chemical potential gradient is larger, the driving force for elemental diffusion increases, resulting in a higher diffusion rate [31,32]. According to the calculations shown in Figure 11a, Mg exhibits the highest chemical potential in the Mg-rich region and lower chemical potential in the Al-Si region; thus, Mg tends to diffuse from the 5083 substrate into the brazing material. The chemical potential of Si in the Al-Mg-Si system is shown in Figure 11b, where the chemical potential of Si on the Al-Si side is higher than that on the Al-Mg side; therefore, the amount of Si in the brazing material tends to diffuse into the substrate. During the interdiffusion behaviors of Si and Mg, they tend to react with Al at the interface to produce an α-Al + Mg2Si eutectic phase. The chemical potential of Cu in the Al-Si-Cu ternary system is shown in Figure 11c, where the chemical potential of Cu on the Al-Cu side is larger than that on the Al-Si side, meaning that Cu tends to diffuse into the substrate and generate an Al-Cu phase with Al. The chemical potential of Mg in the Al-Cu-Mg ternary system is shown in Figure 11d, where the chemical potential of Mg is larger on the Mg-Cu side, slightly lower than those on the Mg and Si sides, but higher than that on the Al-Cu side, indicating that the α-Al + Mg2Si phase is preferentially produced in IMCs during the brazing material spreading process and plays a dominant role in the spreading process. In addition, if the Mg content in the brazing material is further increased, the chemical potential of Mg in the matrix will be similar to that in the brazing material, which will hinder the interdiffusion of Mg and Si and tend to cause reactions with Al and Cu, corresponding to the abundant Al2Cu phase appearing at the wetting interface shown in Figure 6d, thereby leading to an increase in the thickness of the IMC layer and difficulty in spreading the soldering material.
The above thermodynamic calculations of the wetted interfacial layer showed that the wetting behavior of the brazing material was dominated by a diffusion reaction from Mg. The interfacial reaction mechanism of the Al-7.5Si-15Cu-1Mg-5Zn brazing material with 5083 aluminum alloy occurred as follows:
Firstly, the oxide film was removed under the action of electric arc, after which, the Mg in the 5083 aluminum alloy substrate diffused into the brazing material and reacted with Al and Si during the diffusion process, generating an α-Al + Mg2Si eutectic phase at the interface. Finally, the Cu in the brazing material diffused into the substrate and reacted with Al at the interfacial face to form an Al2Cu phase.

6. Conclusions

In this work, the wetting behavior of Al-Si-Cu-Zn brazing materials with different proportions of Mg on 5083 aluminum alloy substrate was investigated. The reaction mechanism of the wetted interfacial layer of Al-7.5Si-15Cu-1Mg-5Zn with the 5083 substrate was analyzed using a wetting simulation and thermodynamic calculations, through which, the following conclusions were drawn:
(1)
The arc brazing process was divided into three stages. Stage I: The brazing materials absorb the heat source of the arc and begin to melt, and the wetting triple line slowly changes, showing a non-wetting state; Stage II: A rapid spread of brazing materials, a reduction in the wetting angle, and an increase in the wetting diameter; Stage III: A slow spread of brazing materials and small changes in wetting angle and diameter.
(2)
The interfacial layers of the Mg-containing brazing materials in the wetted 5083 substrate mainly consist of an Al2Cu phase and an α-Al + Mg2Si eutectic phase. Zn was heavily solid solved in the α-Al phase, and a small amount was solidly dissolved in the α-Al + Mg2Si eutectic phase; the addition of Mg increased the lattice size of Al; the solid solubility potentials of Si and Zn in α-Al increased; the interfacial organization became more compact and porosity decreased; the thickness of the interfacial layer of the brazing material decreased and then increased with increasing Mg content. At 1 wt.% Mg content, the thickness of interfacial layer was at its minimum and the wetting diameter reached its maximum value of 20.46 mm.
(3)
The wetting behavior of the Al-7.5Si-15Cu-1Mg-5Zn brazing material was dominated by the diffusion reaction of elemental magnesium, Mg, in the 5083 aluminum alloy substrate diffused into brazing material, and reacted with Al and Si during the diffusion process, generating the α-Al + Mg2Si eutectic phase at the interfacial layer; subsequently, Cu in the brazing material diffused into the substrate and reacted with Al at the interfacial layer to form an Al2Cu phase.
In practical industrial welding applications, for aluminum alloy substrates containing Mg, adding an appropriate amount of Mg to an Al-Si brazing alloy can effectively improve the wetting performance of the brazing material. The effective content of solder alloy composition can be derived through simulation and thermodynamic calculations, thereby reducing the cost of manual design.

Author Contributions

Conceptualization, Y.Z. (Yonglin Zhao) and B.H.; methodology, W.G. and H.L.; software, Y.Z. (Yonglin Zhao) and Y.Z. (Yuechao Zhuo); validation, H.L.; resources, Y.Z. (Yonglin Zhao) and B.H.; writing—original draft preparation, Y.Z. (Yuechao Zhuo); writing—review and editing, W.G. and B.H.; project administration, W.G. and B.H. All authors have read and agreed to the published version of the manuscript.

Funding

This work was supported by the Foundation of National Key Laboratory for Remanufacturing (61420052022WD001).

Data Availability Statement

The original contributions presented in the study are included in the article, further inquiries can be directed to the corresponding author.

Conflicts of Interest

The authors declare no conflict of interest.

References

  1. Wu, L.-J.; Han, X.-H.; Ma, G.-L.; Yang, B.; Bian, H.; Song, X.-G.; Tan, C.-W. Effects of welding layer arrangement on microstructure and mechanical properties of gas metal arc welded 5083/6005A aluminium alloy butt joints. Trans. Nonferrous Met. Soc. China 2023, 33, 1665–1676. [Google Scholar] [CrossRef]
  2. Huang, Y.; Yuan, Y.; Feng, Y.; Liu, J.; Yang, L.; Cui, L. Effect of activating flux CrO on microstructure and properties of laser welded 5083 aluminum alloys. Opt. Laser Technol. 2022, 150, 107930. [Google Scholar] [CrossRef]
  3. Cheng, F.; Zhao, H.; Wang, Y.; Xiao, B.; Yao, J. Evolution of Surface Oxide Film of Typical Aluminum Alloy During Medium-Temperature Brazing Process. Trans. Tianjin Univ. 2014, 20, 54–59. [Google Scholar] [CrossRef]
  4. Xiao, B.; Wang, D.; Cheng, F.; Wang, Y. Development of ZrF4-containing CsF-AlF3 flux for brazing 5052 aluminium alloy with Zn-Al filler metal. Mater. Des. 2016, 90, 610–617. [Google Scholar] [CrossRef]
  5. Vaishnavan, S.S.; Jayakumar, K.; Kumar, P.N.; Suresh, T. Effect of ER5183 filler rod on the metallurgical and mechanical properties of TIG-welded AA5083 and AA5754 joints. Mater. Today Proc. 2023, 72, 2251–2254. [Google Scholar] [CrossRef]
  6. Sun, H.-H.; Ren, Y.-B.; Feng, Y.; Ba, H.-Q.; Chen, D.; Xia, C.-J.; Wang, H.-W. Fabrication and analysis of TIG welding-brazing butt joints of in-situ TiB/7050 composite and TA2. Def. Technol. 2021, 17, 1062–1070. [Google Scholar] [CrossRef]
  7. Wang, H.; Yuan, X.; Li, T.; Wu, K.; Sun, Y.; Xu, C. TIG welding-brazing of Ti6Al4V and Al5052 in overlap configuration with assistance of zinc foil. J. Mater. Process. Technol. 2018, 251, 26–36. [Google Scholar] [CrossRef]
  8. Zhang, G.; Bao, Y.; Jiang, Y.; Zhu, H. Microstructure and Mechanical Properties of 6063 Aluminum Alloy Brazed Joints with Al-Si-Cu-Ni-RE Filler Metal. Mater. Eng. Perform. 2011, 20, 1451–1456. [Google Scholar] [CrossRef]
  9. Li, H.X.; Feng, Y.D.; Shen, W.J.; LÜ, C.Y.; Zheng, W.J.; Gang, M.A.; JIN, Z.P.; He, Y.M.; Yang, J.G. Microstructure and mechanical properties of Cu/Al joints brazed using (Cu, Ni, Zr, Er)-modified Al–Si filler alloys. Trans. Nonferrous Met. Soc. China 2022, 32, 1451–1456. [Google Scholar] [CrossRef]
  10. Luo, W.; Wang, L.; Wang, Q.; Gong, H.; Yan, M. A new filler metal with low contents of Cu for high strength aluminum alloy brazed joints. Mater. Des. 2014, 63, 263–269. [Google Scholar] [CrossRef]
  11. Peng, C.; Zhu, D.; Li, K.; Du, X.; Zhao, F.; Wan, M.; Tan, Y. Research on a Low Melting Point Al-Si-Cu (Ni) Filler Metal for 6063 Aluminum Alloy Brazing. Appl. Sci. 2021, 11, 4296. [Google Scholar] [CrossRef]
  12. Dai, W.; Xue, S.; Lou, J.; Wang, S. Microstructure and Properties of 6061 Aluminum Alloy Brazing Jointwith Al Si Zn Filler Metal. Mater. Trans. 2012, 53, 1638–1643. [Google Scholar] [CrossRef]
  13. Li, Q.; Li, B.; Li, J.; Xia, T.; Lan, Y.; Guo, T. Effects of the addition of Mg on the microstructure and mechanical properties of hypoeutectic Al–7%Si alloy. Int. J. Met. 2017, 11, 823–830. [Google Scholar] [CrossRef]
  14. Niu, Z.; Huang, J.; Xu, F.; Liu, K.; Chen, S.; Zhao, X. Research status and prospects of hard brazing materials for aluminum and aluminum alloy brazing. Chin. J. Nonferrous Met. 2016, 26, 77–87. [Google Scholar] [CrossRef]
  15. Li, H.; Li, L.; Zhang, Z.; Meng, X.; Xia, H.; Chen, B.; Tan, C.; Song, X. Dynamic spreading and interfacial reactions during the laser-induced wetting process of aluminum on stainless steel. Appl. Surf. Sci. 2022, 587, 152869. [Google Scholar] [CrossRef]
  16. Wang, R.; Zhang, C.; Dan, L.; Xie, Z.; Zhang, Y.; Lu, X. Wettability and interfacial reaction mechanism between Ag–Cu alloy and Si3N4 ceramics in air atmosphere. Ceramics International. 2021, 47, 33078–33088. [Google Scholar] [CrossRef]
  17. Li, H.; Li, L.; Zhao, X.; Niu, S.; Tan, C.; Xia, H.; Chen, B.; Song, X. Laser-induced dynamic wetting behavior and interfacial evolution of AlSi5 alloy on Ti6Al4V alloy. Appl. Surf. Sci. 2022, 578, 152027. [Google Scholar] [CrossRef]
  18. Liu, Z.; Yang, J.; Li, Y.; Li, W.; Chen, J.; Shen, L.; Zhang, P.; Yu, Z. Wetting and spreading behaviors of Al-Si alloy on surface textured stainless steel by ultrafast laser. Appl. Surf. Sci. 2020, 520, 146316. [Google Scholar] [CrossRef]
  19. Yu, D.; Zhang, Y.; Zhou, J.; Sun, D.; Li, H. Effect of process parameters on interface microstructure and performance in laser welding of steel-ZrO2 ceramic. Ceram. Int. 2023, 49, 39532–39558. [Google Scholar] [CrossRef]
  20. Chen, H.; Kong, X.; Zhao, S.; Nai, X.; Wang, Q.; Li, W. Regulation and improvement of filler wetting behavior and brazed joint performance based on microfluidics. Mater. Today Commun. 2023, 34, 105423. [Google Scholar] [CrossRef]
  21. Chen, Z.; Bian, H.; Hu, S.; Song, X.; Niu, C.; Duan, X.; Cao, J.; Feng, J. Surface modification on wetting and vacuum brazing behavior of graphite using AgCu filler metal. Surf. Coat. Technol. 2018, 348, 104–110. [Google Scholar] [CrossRef]
  22. Zhu, D.; Liao, X.; Dai, P. Theoretical analysis of reactive solid-liquid interfacial energies. Chin. Sci. Bull. 2012, 57, 4517–4524. [Google Scholar] [CrossRef]
  23. Sun, H.; Yu, G.; Chen, S.; Huang, J.; Yang, J. Effect of Zn-Al filler metals on the characteristics of the joint made by the high-frequency induction brazing of 304 stainless steel and 6A02 aluminum. J. Manuf. Process. 2021, 68, 961–972. [Google Scholar] [CrossRef]
  24. Lee, K.; Rinker, T.J.; Pour, M.M.; Cai, W.; Huang, W.; Tan, W.; Bracey, J.; Li, J. A study on cracks and IMCs in laser welding of Al and Cu. Manuf. Lett. 2023, 35, 221–231. [Google Scholar] [CrossRef]
  25. Guo, L.; Jiang, T.; Liu, Y.; Liu, F.; Wang, Q.; Lu, G.; Niu, Z.; Tan, C. Dynamic wetting and spreading mechanisms of SAC305 with added Au elements in the laser jet weld ball bonding process. Microelectron. Reliab. 2024, 155, 115362. [Google Scholar] [CrossRef]
  26. Wang, L.; Ma, Y.; Xu, J. Numerical simulation of arc-droplet-weld pool behaviors during the external magnetic field-assisted MIG welding-brazing of aluminum to steel. Int. J. Therm. Sci. 2023, 194, 108530. [Google Scholar] [CrossRef]
  27. Miedema, A.; de Châtel, P.; de Boer, F. Cohesion in alloys-fundamentals of a semi-empirical model. Phys. B+C 1980, 100, 1–28. [Google Scholar] [CrossRef]
  28. Tian, R.; Chen, S.; Yang, B.; Wu, J.; Li, P.; Chen, N.; Li, H.; Wang, Q.; Xia, H.; Ma, N. Elemental diffusion, atomic substitution mechanisms and interfacial fracture behavior in laser welded-brazed Al/Ti. Mater. Charact. 2023, 202, 112998. [Google Scholar] [CrossRef]
  29. Hillert, M. Predictions of ternary activities from binary. Calphad 1988, 12, 257–259. [Google Scholar] [CrossRef]
  30. Tanaka, T.; Gokcen, N.A.; Morita, Z.-I.; Iida, T. Thermodynamic Relationship between Enthalpy of Mixing and Excess Entropy in Liquid Binary Alloys. Mater. Sci. 1993, 84, 192–199. [Google Scholar] [CrossRef]
  31. Yang, J.; Zhao, W.; Lin, P.; Zhang, Q.; Zhang, X.; Liu, W.; Lin, T.; Peng, H.; Zhuang, Y. A low-temperature joining technology suitable for high-temperature applications developed by establishing chemical potential and supercooling gradients. Mater. Des. 2022, 224, 111377. [Google Scholar] [CrossRef]
  32. Tian, N.; Zhang, C.; Lyu, P.; Guan, J.; Peng, C.; Cai, J.; Guan, Q. Impact of high-current pulsed electron beam modification on element diffusion and performance of Ti6Al4V/AISI 316 L stainless steel diffusion bonded joints. Mater. Charact. 2023, 204, 113163. [Google Scholar] [CrossRef]
Figure 1. Schematic diagram of arc wetting process.
Figure 1. Schematic diagram of arc wetting process.
Metals 14 01183 g001
Figure 2. Arc wetting process of Al-Si-Cu-Zn brazing materials with different Mg contents: (a) Mg-free; (b) 0.5 wt.% Mg; (c) 1 wt.% Mg; (d) 1.5 wt.% Mg; and (e) 2 wt.% Mg.
Figure 2. Arc wetting process of Al-Si-Cu-Zn brazing materials with different Mg contents: (a) Mg-free; (b) 0.5 wt.% Mg; (c) 1 wt.% Mg; (d) 1.5 wt.% Mg; and (e) 2 wt.% Mg.
Metals 14 01183 g002
Figure 3. (a) Instantaneous wetting radius; (b) 4.5 s instantaneous and final wetting angles.
Figure 3. (a) Instantaneous wetting radius; (b) 4.5 s instantaneous and final wetting angles.
Metals 14 01183 g003
Figure 4. Microstructure of Al-7.5Si-15Cu-1Mg-5Zn brazing material.
Figure 4. Microstructure of Al-7.5Si-15Cu-1Mg-5Zn brazing material.
Metals 14 01183 g004
Figure 5. Brazing material microstructure image: (a) Mg-free; (b) 0.5 wt.% Mg; (c) 1 wt.% Mg; (d) 1.5 wt.% Mg; and (e) 2 wt.% Mg.
Figure 5. Brazing material microstructure image: (a) Mg-free; (b) 0.5 wt.% Mg; (c) 1 wt.% Mg; (d) 1.5 wt.% Mg; and (e) 2 wt.% Mg.
Metals 14 01183 g005
Figure 6. Wetting interface diagram: (a) Mg-free; (b) 0.5 wt.% Mg; (c) 1 wt.% Mg; (d) 1.5 wt.% Mg; and (e) 2 wt.% Mg.
Figure 6. Wetting interface diagram: (a) Mg-free; (b) 0.5 wt.% Mg; (c) 1 wt.% Mg; (d) 1.5 wt.% Mg; and (e) 2 wt.% Mg.
Metals 14 01183 g006
Figure 7. Model for thermodynamic calculations.
Figure 7. Model for thermodynamic calculations.
Metals 14 01183 g007
Figure 8. Simulation results of brazing material wetting: (a) 0 s; (b) 1.5 s; (c) 3 s; (d) 4.5 s; and (e) 6 s.
Figure 8. Simulation results of brazing material wetting: (a) 0 s; (b) 1.5 s; (c) 3 s; (d) 4.5 s; and (e) 6 s.
Metals 14 01183 g008
Figure 9. Enthalpy values of generation for different binary systems.
Figure 9. Enthalpy values of generation for different binary systems.
Metals 14 01183 g009
Figure 10. Enthalpy of generation for ternary systems (a) Al-Mg-Si; (b) Al-Si-Cu; and (c) Al-Cu-Mg.
Figure 10. Enthalpy of generation for ternary systems (a) Al-Mg-Si; (b) Al-Si-Cu; and (c) Al-Cu-Mg.
Metals 14 01183 g010
Figure 11. Results of chemical potential calculations: (a) chemical potential of Mg in Al-Mg-Si; (b) chemical potential of Si in Al-Mg-Si; (c) chemical potential of Cu in Al-Si-Cu; and (d) chemical potential of Mg in Al-Cu-Mg.
Figure 11. Results of chemical potential calculations: (a) chemical potential of Mg in Al-Mg-Si; (b) chemical potential of Si in Al-Mg-Si; (c) chemical potential of Cu in Al-Si-Cu; and (d) chemical potential of Mg in Al-Cu-Mg.
Metals 14 01183 g011
Table 1. Chemical compositions of brazing materials (wt.%).
Table 1. Chemical compositions of brazing materials (wt.%).
Sample NumberAlSiCuZnMg
1Bal.7.51550
2Bal.7.51550.5
3Bal.7.51551
4Bal.7.51551.5
5Bal.7.51552
Table 2. 5083 aluminum alloy substrate chemical composition (wt%).
Table 2. 5083 aluminum alloy substrate chemical composition (wt%).
5083AlSiCuZnMgFeMnCrTi
Bal.0.40.10.254.0–4.90.40.4–1.00.020.15
Table 3. EDS results of Al-7.5Si-15Cu-1Mg-5Zn brazing material.
Table 3. EDS results of Al-7.5Si-15Cu-1Mg-5Zn brazing material.
AlSiCuMgZnPhase
A95.720.760.822.7α-Al
B1.8698.14Si particles
C61.3738.63Al2Cu
D44.9942.091.1011.82Al-Cu-Mg-Zn solid solution
Table 4. EDS results for points P1 and P2.
Table 4. EDS results for points P1 and P2.
AlSiCuMgZnPhase
P163.4533.473.08Al2Cu
P262.6133.342.861.19Al2Cu
Table 5. Results of EDS analysis in Figure 6.
Table 5. Results of EDS analysis in Figure 6.
Point PositionAlSiCuMgZnFeMnPossible Phase
P165.231.0633.71Al2Cu
P244.1317.2638.61Al + Mg2Si
P368.9429.451.61Al2Cu
P480.763.242.387.695.93Al6(Fe,Mn)
P564.9435.06Al2Cu
P670.7814.2913.171.75Al + Mg2Si
P763.1736.83Al2Cu
P881.043.988.176.81Al6(Fe,Mn)
P971.4128.59Al2Cu
P1070.7814.2913.171.75Al + Mg2Si
P1173.1426.86Al2Cu
P1283.261.788.196.77Al6(Fe,Mn)
P1380.872.5712.593.97Al + Mg2Si
P1467.9228.473.61Al2Cu
P1565.2834.72Al2Cu
P1681.751.327.549.39Al6(Fe,Mn)
P1767.4632.54Al2Cu
P1865.8729.714.42Al2Cu
P1974.329.1214.611.95Al + Mg2Si
P2084.481.666.936.94Al6(Fe,Mn)
Table 6. Physical properties of brazing material and 5083 aluminum alloy.
Table 6. Physical properties of brazing material and 5083 aluminum alloy.
Density (kg/m2)Cp (J/kg·K)Melting Heat (J/kg)Soild Temp (K)Liquid Temp (K)
Brazing material810320,000688.15798.15
50832700880395,000858920
Table 7. Comparison of actual and simulated wetting results.
Table 7. Comparison of actual and simulated wetting results.
Time (s)Wetting Radius (mm)
ActualSimulatedError/%
1.56.245.954.65
38.718.324.48
4.510.029.594.30
610.239.754.61
Table 8. Comparison between actual and simulated transient temperatures.
Table 8. Comparison between actual and simulated transient temperatures.
Times (s)Actual Temp (K)Simulated Temp (K)Error (%)
1.5811.28752.877.20
3.0835.61802.783.93
4.5861.82833.913.24
6.0893.47856.194.17
7.5914.82879.843.82
Table 9. Al, Si, Cu, and Mg parameters in thermodynamic calculations [27].
Table 9. Al, Si, Cu, and Mg parameters in thermodynamic calculations [27].
ElementTm/KφV2/3/cm3nwsur/p
Al933.154.24.641.390.071.9
Si1683.154.74.21.50.042.1
Cu1357.754.553.71.470.070.3
Zn692.654.14.41.320.11.4
Mg923.153.455.811.170.10.4
Table 10. Miedema model empirical constants [27].
Table 10. Miedema model empirical constants [27].
pq/pα
Al-Si10.69.40
Al-Cu12.359.40.73
Al-Mg10.69.40
Al-Zn12.359.40.73
Cu-Si12.359.40.73
Cu-Zn14.29.40
Cu-Mg12.359.40.73
Mg-Si10.69.40
Mg-Zn12.359.40.73
Si-Zn12.359.40.73
Disclaimer/Publisher’s Note: The statements, opinions and data contained in all publications are solely those of the individual author(s) and contributor(s) and not of MDPI and/or the editor(s). MDPI and/or the editor(s) disclaim responsibility for any injury to people or property resulting from any ideas, methods, instructions or products referred to in the content.

Share and Cite

MDPI and ACS Style

Guo, W.; Zhuo, Y.; Zhao, Y.; Li, H.; Han, B. Wetting Behaviors of Al-Si-Cu-Mg-Zn Brazing Materials on 5083 Aluminum Alloy. Metals 2024, 14, 1183. https://doi.org/10.3390/met14101183

AMA Style

Guo W, Zhuo Y, Zhao Y, Li H, Han B. Wetting Behaviors of Al-Si-Cu-Mg-Zn Brazing Materials on 5083 Aluminum Alloy. Metals. 2024; 14(10):1183. https://doi.org/10.3390/met14101183

Chicago/Turabian Style

Guo, Wei, Yuechao Zhuo, Yonglin Zhao, Han Li, and Bingyuan Han. 2024. "Wetting Behaviors of Al-Si-Cu-Mg-Zn Brazing Materials on 5083 Aluminum Alloy" Metals 14, no. 10: 1183. https://doi.org/10.3390/met14101183

APA Style

Guo, W., Zhuo, Y., Zhao, Y., Li, H., & Han, B. (2024). Wetting Behaviors of Al-Si-Cu-Mg-Zn Brazing Materials on 5083 Aluminum Alloy. Metals, 14(10), 1183. https://doi.org/10.3390/met14101183

Note that from the first issue of 2016, this journal uses article numbers instead of page numbers. See further details here.

Article Metrics

Back to TopTop