Abstract
In this paper, the interfacial behavior and the atom diffusion behavior of an Al4Si alloy were systematically investigated by means of first-principles calculations. The K-points and cutoff energy of the computational system were determined by convergence tests, and the surface energies for five different surfaces of Al4Si alloys were investigated. Among the five surfaces investigated for Al4Si, it was found that the (111) surface was the surface with the lowest surface energy. Subsequently, we investigated the interfacial stability of the (111) surface and found that there were two types of interfaces, the Al/Al interface and the Al/Si interface. The fracture energies and theoretical strengths of the two interfaces were calculated; the results show that the Al/Al interface had the highest interfacial strength, and the calculation of their electronic results explained the above phenomenon. Subsequently, we investigated the diffusion and migration behavior of Si atoms in the alloy system, mainly in the form of vacancies. We considered the diffusion of Si atoms in vacancies of Al and Si atoms, respectively; the results showed that Si atoms are more susceptible to diffusive migration to Al atomic vacancies than to Si atomic vacancies. The results of the calculations on the micromechanics of aluminum alloys, as well as the diffusion migration behavior, provide a theoretical basis for the further development of new aluminum alloys.
1. Introduction
Aluminum alloys [1,2,3] are materials created by combining aluminum with other metal elements like copper, magnesium, manganese, and zinc, giving them various advantages. One of the key advantages of aluminum alloys is their relatively low density, making them approximately one-third lighter than steel. This lightweight characteristic makes products manufactured from aluminum alloys easy to transport and handle, leading to their popularity in industries such as aerospace, automotive, and sports equipment. Despite their low density, aluminum alloys exhibit remarkable strength. By combining aluminum with different metal elements and employing appropriate heat treatment, aluminum alloys can be tailored to possess different strength grades [4]. This versatility allows for a wide range of applications in building and structural engineering, enabling the construction of high-rise buildings, bridges, and automobile bodies, among other uses [5].
Additionally, aluminum alloys possess exceptional corrosion resistance against various oxidizing and corrosive agents, particularly when exposed to air and water. Consequently, these alloys maintain their appearance and performance even in outdoor environments. Furthermore, aluminum alloys have excellent thermal conductivity, allowing them to quickly dissipate heat. In recent years, studies on the interfacial properties and micro-mechanical behavior of aluminum alloys using first principles have been widely reported. Zhang et al. [6] systematically investigated the L12-Al3Sc/Al interfacial properties and fracture behavior through density functional theory, and their results showed that the most stable interfaces have more electrons in low-energy states than in high-energy states and the most uniform distribution of electrons, which are the key factors for the stabilization and strengthening of the interfaces. Huang et al. [7] investigated the theoretical solid solution and strengthening effect of more than twenty alloying elements on an aluminum matrix by a high-throughput calculation method, and screened a group of elements that can be solid soluble in an aluminum matrix and can strengthen the matrix. Zhang et al. [8] used first principles to simulate the structural stability and strength of the L12-Al3Nb/Al aluminum alloy, and the results showed that different atomic buildups lead to significant variability in the properties of the interface. Getmanskii et al. [9] computationally designed a new metastable crystal structure of the Al4X (X = B, C, Al, Si) supertetrahedral solid using density-functional theory calculations under imposed periodic boundary conditions. Their research findings indicate that the dynamic stability of the Al4X crystal structure primarily depends on the properties of the bridging constituents.
Although aluminum alloys are currently receiving widespread attention, little is known about the stability of the interface and its electronic structure. The interface stability of aluminum alloys is one of the main factors influencing the mechanical properties of metal materials. Recent reports on interface stability and electronic structure have added new directions to the field of metal research. Therefore, this study aims to systematically investigate the stability of the Al/Si interface and explore the micro-mechanical properties of the most exposed surface of an Al4Si alloy. In this paper, we first introduce the models and methods used in the study, including the theoretical and computational methods adopted, as well as the simulated conditions. With the use of these methods, we are able to accurately detect the stability of different surfaces of the Al4Si alloy and further investigate the micro-mechanical properties of the most exposed surface of the Al4Si alloy. In the results and analysis section, we present in detail the stability of different surfaces of the Al4Si alloy and analyze the differences in energy variation, lattice structure, and interface stability among these surfaces. Additionally, we compare and study two migration barriers of Si atoms at the Al/Si interface to reveal their influence on interface stability. Through these results and analyses, we can gain a deeper understanding of the characteristics and behavior of the Al/Si interface, providing a theoretical basis for improving the mechanical properties of aluminum alloys and designing new aluminum alloys. Finally, in the conclusion section, we summarize the main findings of this study and propose directions for further research. The theoretical research presented in this paper provides important theoretical foundations for in-depth study of the stability and electronic structure of the Al/Si interface, improvement of the mechanical properties of aluminum alloys, and the design of new aluminum alloys, which has significant practical value. By applying first principles to investigate the interface strength and stability of aluminum alloys, it becomes feasible to significantly decrease the time and cost associated with trial-and-error experiments. Consequently, this enables the efficient screening and design of high-performance aluminum alloys.
2. Materials and Methods
As shown in Figure 1, we selected different surface models of Al4Si for studying the stability of different surfaces, and the selected crystal cell contained four aluminum atoms and one Si atom. When calculating the tensile fracture strength, we selected the model shown in Figure S1 as the subject of the study. For calculating the diffusion migration behavior of Si atoms, we chose the vacancy type of atomic diffusion migration, as shown in Figure S4. Specifically, Figure S4a–c are schematic diagrams of Si atoms migrating in the matrix with an Al atom vacancy, and Figure S4d–f are schematic diagrams of Si atom migrating in the matrix with a Si atom vacancy. Figure S4a,d represent the initial states, while Figure S4c,f represent the final states, and Figure S4b,e represent intermediate states. Purple spheres represent Al atoms, and yellow spheres represent Si atoms. The transition state exploration method explores the transition state between two stable states; these transition states constitute the minimum energy path that describes this change process, and ten configurations were linearly added as state interpolation points between the initial stable state and the final stable state.
Figure 1.
The crystal structures of Al4Si: (a) Original crystal structure, (b) surface of Al4Si (001), (c) surface of Al4Si (010), (d) surface of Al4Si (100), (e) surface of Al4Si (110), (f) surface of Al4Si (111). The purple atoms are Al atoms and the yellow atoms are Si atoms.
In recent years, there has been a significant improvement in computer performance, enabling the extensive utilization of first-principles calculation methods in the investigation of various properties of metals [10,11,12,13]. This paper employed the generalized gradient approximation (GGA) and Perdew–Burke–Ernzerhof (PBE) [14,15] for first-principles electronic structure calculations. Density functional theory (DFT) [16,17] is considered as one of the best theoretical approaches for analyzing the many-body problem and calculating ground state properties. Materials Studio is a software suite for materials simulation and design developed by Accelrys. It is a powerful computational tool used for researching and designing new materials, predicting material properties, and simulating material behavior. Materials Studio offers a variety of simulation and computation tools, including atomic-level, molecular-level, and continuum-level modeling methods. It can be used in various material research fields, such as molecular dynamics simulation, quantum mechanical calculation, crystal structure prediction, material property prediction, and more. Using these tools, researchers can simulate the structure, thermodynamic properties, electronic structure, and optical properties of materials, as well as perform material design and optimization. Additionally, Materials Studio provides a range of databases and computation tools for storing and browsing material data, importing experimental data, and performing data analysis and visualization. These tools and databases facilitate easier material data management and analysis for researchers. Materials Studio’s Cambridge Sequential Total Energy Package (CASTEP) [18] module is a tool used for quantum mechanical calculations. It can be employed to simulate the electronic structure, band structure, and crystal structure of materials. The CASTEP was used in this paper with projected augmented wave pseudo-potentials parametrized by GGA–PBE. Additionally, the TS (Transition State) Search method was employed to explore the migration of point defects. Ultrasoft pseudo-potentials were adopted to describe the electron–ion interaction. Transition states were obtained by identifying differences in atomic positions between initial and final states during the calculation process. When using the energy as a function of the lattice strain to determine the elastic constants of a single crystal, a high degree of precision is required for the calculations due to the energy differences involved, which are on the order of several meV. In order to achieve this precision, a fine k-point mesh and a large energy cutoff are necessary. Therefore, the convergence of the total energy has been tested with respect to both the energy cutoff and the k-point sampling, as shown in Figures S2 and S3, respectively. It was found that by increasing the energy cutoff or using more k-points, the changes in the total energy of the system were less than 0.001 eV in either case. Consequently, a plane-wave basis set with a cutoff energy of 350 eV was used to expand the electronic wave functions. The Brillouin-zone sampling was performed using an 8 × 8 × 8 Monkhorst–Pack k-point grid mesh. To ensure accuracy and reliability of the crystal structure, a high iterative convergence accuracy of 5.0 × 10−7 eV/atom was applied. Furthermore, it was confirmed that calculations with this level of accuracy guarantee the desired precision. The maximum force acting on each atom was constrained to be 0.01 eV/Å, the maximum displacement allowed was 5.0 × 10−4 Å, and the internal stress remained within 0.02 GPa.
3. Results and Discussion
In this study, different stable surface models were chosen, and five common surfaces were first selected for investigation in the surface stability model, as shown in Figure 1. The surface energy results are shown in Figure 2, based on the energy level of each surface, the most stable surface was selected. After selecting the surface, different atomic interfaces were studied, as shown in Figure 3. Two typical interfaces were chosen as the research objects to investigate the micro-mechanical changes caused by interface separation. By comparing the stability of the different interfaces, the micro-mechanical properties of different atomic bonding interfaces were determined. In the study of atomic migration behavior, atoms were selected for diffusion migration in the form of vacancies. The vacancies were classified into two types; one is the vacancy of Al atoms, and the other is the vacancy of Si atoms, as shown in Figure S4.
Figure 2.
Surface energy of Al4Si for five different surfaces.
Figure 3.
Two interfacial forms of Al/Al and Al/Si on the Al4Si (111) surface.
3.1. Surface Stability
Firstly, we conducted a systematic study of the common (001), (010), (100), (110), and (111) surfaces of Al4Si using first-principles calculations, as shown in Figure 1. The surface energies of the five surfaces were calculated using the following surface energy formula, and the chosen crystal structure models are shown in Figure 1. The surface energy formula used is as follows [19]:
where Eslabrelax and Ebulk represent the energies of the relaxed surface and bulk, respectively, n denotes the number of bulk units in the slab model, and Esurf is the total upper and lower surface area of the surface structure, respectively.
The calculation results revealed that the surface energies of the (001), (010), (100), (110), and (111) surfaces were −21.65 J/m2, −29.23 J/m2, −26.17 J/m2, −37.22 J/m2, and −38.67 J/m2, respectively, as depicted in Figure 2. Based on the computed results, it can be observed that in terms of surface energy, the order is as follows: (001) > (100) > (010) > (110) > (111). In other words, the (111) surface exhibits the lowest surface energy among the crystal surfaces in the Al4Si structure. The variation of surface energy under different exposed surface conditions can be observed from Figure 1, and this is attributed to the arrangement of atoms and the different types of outermost layer atoms. In Figure 1b, the Al4Si (001) surface is depicted, where Si atoms are the outermost exposed atoms. On the other hand, in Figure 1f, the Al4Si (111) surface structure reveals that the outermost exposed layer comprises Al atoms. By conducting a combined analysis of Figure 1 and Figure 2, it can be concluded that surfaces with outermost exposed Al atoms exhibit lower surface energy compared to those with outermost exposed Si atoms.
3.2. Micro-Mechanical Property
Considering that Al4Si (111) has the lowest surface energy, we selected Al4Si (111) as the subject of our study in the following calculations. As shown in Figure 3, there are two types of atomic bonding on the Al4Si (111) surface, namely Al/Al and Al/Si. We conducted a systematic investigation on these two different bonding configurations. Moreover, we performed related calculations on the tensile strength of these two atomic bonding configurations, and the corresponding computational models are illustrated in Figure S1.
Within the framework of density functional theory, a theoretical fracture model is employed for the calculation of fracture energy. This model assumes the rigid separation of a system into two semi-infinite parts between two planes. By systematically changing the distance, x, and observing the variation in total energy, E(x), the DFT calculation can yield the total energy. Initially, the geometric structure of the system is constructed and optimized to ensure that the system reaches its energy minimum. Subsequently, by incrementally increasing the distance, x, between the two planes and calculating the total energy, E(x), at each interval, the relationship between total energy and distance can be determined. The interface strength plays a significant role in determining the mechanical strength and plasticity of alloys, and it is an important parameter in engineering applications. The distances are set at 0.05, 0.10, 0.15, and 0.90 nm. In a fully relaxed system, each relaxation layer is uniformly stretched with a step size of 0.005 nm. When the interface is about to fracture, each relaxation layer is uniformly stretched with a step size of 0.001 nm. The fracture energy and maximum tensile stress [20] can be obtained using the following equation [6]:
where Esg represents the total energy of the system at the point of tensile fracture, while Etotal represents the total energy of the system without any tensile deformation.
The maximum stress of the system is determined by the function f(x), which is a fitting of fracture energy with separation distance. In the first-principles calculations that we employed, we denoted the input as x in the formulas for fracture energy and theoretical stress. This input corresponds to the distance between separations observed during simulated stretching. By considering this distance, the formulas can accurately quantify the fracture energy and theoretical stress in our calculations.
In this equation, λ represents the separation distance. This function, proposed by Rose et al. [21], is known as the universal binding curve and is used to describe the bonding characteristics between atoms. It establishes the best fit relationship between metal bonding energy and atomic distance. By taking the derivative of f(x), the tensile stress can be expressed as follows:
When x is equal to λ, we can obtain the theoretical maximum tensile stress (σmax):
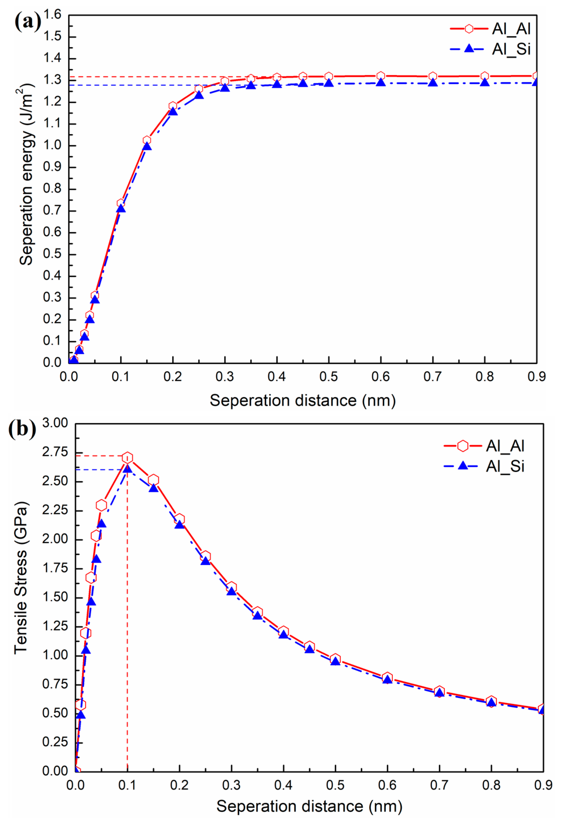
We have presented the data of the two tensile strengths in Figure 4. From Figure 4a, it is evident that the separation energy of the rigid model sharply increases with an increase in separation length when the separation length is less than or equal to 0.15 nm. However, when the separation length exceeds 0.15 nm, the separation energy gradually increases with the separation distance until it reaches the actual separation energy. This value does not change further when the separation distance exceeds 0.35 nm. Figure 4a shows that the fracture energies for the Al/Al and Al/Si interfaces are 1.32 J/m2 and 1.27 J/m2, respectively, indicating that the Al/Al interface possesses a relatively high interfacial strength. Figure 4b shows the maximum tensile stress at the Al/Al and Al/Si interfaces, which fits well with the Rose fitting model. In this section, the peak stress value (σmax) during tension is of particular interest. From Figure 4b, it can be observed that the maximum at the Al/Al and Al/Si interfaces are 2.75 GPa and 2.55 GPa, respectively. The tensile stress at the Al/Al interface is 0.2 GPa higher than that at the Al/Si interface. The charge distribution diagrams of Al/Al and Al/Si during the stretching process are depicted in Figure 5 and Figure 6, respectively. In these figures, the red regions depict charge accumulation, indicating relatively higher charge density in those areas. This can be attributed to the deformation of the material during stretching, which results in the aggregation of electrons in those regions. Conversely, the blue regions represent areas with relatively lower charge density, potentially stemming from the dispersion of electrons confined by the structure of the stretched material. The distribution of charges in materials during the stretching process can be comprehended through these diagrams, offering crucial insights for studying material performance and behavior. Furthermore, they can guide the design and optimization of materials, as modifying the structure and composition enables alterations to the charge distribution, thus enhancing material performance. From the comparison of Figure 5 and Figure 6 we can see that the electron cloud distribution at the Al/Al interface is denser during the simulated tensile fracture. These results are speculated to be attributed to the atomic arrangement at the interfaces.
Figure 4.
(a) Separation energy and (b) tensile stress of Al/Al and Al/Si on the Al4Si (111) surface.
Figure 5.
Electric charge density of Al/Al interfacial on the Al4Si (111) surface for tensile process, red regions represent electron enrichment and blue regions represent electron sparsity.
Figure 6.
Electric charge density of Al/Si interfacial on the Al4Si (111) surface for tensile process, red regions represent electron enrichment and blue regions represent electron sparsity.
3.3. Diffusion Behavior
Several studies have consistently demonstrated a strong correlation between vacancy defects and atomic diffusion, and their influence on material formation and creep properties [22,23,24]. Understanding the impact of vacancies on atomic movement is crucial for comprehending material behavior under different conditions. Vacancy defects, which are essentially missing atoms in a material’s crystal lattice structure, serve as diffusion pathways, facilitating atomic movement within the material. The presence of vacancies enables atoms to jump from one lattice site to another through adjacent vacancies, resulting in atomic diffusion. This diffusion induced by vacancy defects plays a critical role in material formation and development. During fabrication, vacancies allow atoms to rearrange, aiding the formation of specific microstructures and crystallographic orientations, which impact the mechanical, thermal, and electrical properties of the resulting material. Additionally, vacancies and the associated atomic diffusion significantly influence a material’s creep properties. Creep refers to the gradual deformation that occurs over time under constant stress. Vacancy diffusion allows atoms to rearrange and redistribute, accelerating the rate of creep. The diffusion of atoms near dislocations, grain boundaries, or other defects promotes strain localization and enhances creep deformation. Understanding the relationship between atomic diffusion induced by vacancy defects and material formation and creep properties is crucial in materials science, engineering, and manufacturing. By comprehending how vacancies affect atomic movement and diffusion, researchers can develop strategies to manipulate material properties, enhance creep resistance, and optimize manufacturing processes. The vacancy mechanism of atomic diffusion in an alloy requires the utilization of vacant positions in the nearest vicinity [25]. Firstly, we calculated the vacancy formation energy of Al and Si atoms vacancy defects in aluminum alloys. In this study, we considered a perfect crystal structure with the removal of one Al or Si atom as the vacancy atom. The vacancy formation energy was calculated using the following formula [26]:
In this formula, EV represents the supercell model containing one Al or Si atom, EPure represents the perfect aluminum alloy structure without vacancies, and N represents the number of atoms in the perfect aluminum crystal. It is generally believed that structures with point defects will form surface effects around the defects. Calculating the parameters of bulk materials and performing inverse calculations may have certain errors. Research has shown that LDA and GGA pseudopotentials can reduce surface errors, and the surface correction error of choosing LDA pseudopotential is smaller than that of GGA pseudopotential. Therefore, in the calculation of vacancy formation energy, the local density approximation method (LDA) is adopted in this section. The calculations based on the above parameters show that the formation energies of aluminum vacancies and silicon vacancies are 4.18 eV and 5.39 eV, respectively, indicating that Al vacancies are more likely to form compared to Si vacancies.
The diffusive behavior of a range of alloying elements in a metal matrix can be investigated by means of density functional theory [27,28,29,30]. The diffusion and migration of alloy elements in an aluminum matrix in the form of vacancies were investigated using the TS (transition state) search method. As shown in Figure S4, we defined the initial and final states, and inserted 10 intermediate states for the study. The crystal structure models for the initial states are shown in Figure S4a,d, for the final states in Figure S4c,f, and for the intermediate states in Figure S4b,e. The calculated results are presented in Figure 7 and Table 1. From Table 1, it can be observed that the vacancy formation energy of Al atoms is 4.18 eV, and the vacancy formation energy of Si atoms is 5.39 eV. Comparatively, Al atoms have a lower vacancy formation energy. At the same time, it can also be seen that the diffusion migration energy of Si atoms towards Al vacancies is 4.90 eV, while the diffusion migration energy of Si atoms towards Si vacancies is 6.06 eV. Relatively, Si atoms have lower diffusion migration energy when they diffuse towards Al vacancies. From Table 1 and Figure 8, it can be observed that, compared to vacancies formed by Si atoms, vacancies formed by Al atoms are more likely to occur, and Si atoms tend to migrate toward Al atoms.
Figure 7.
Migration energy in the form of Al atomic vacancies (red line) and Si atomic vacancies (green line).
Table 1.
Vacancy formation energy (EForm) and migration energy (EQ) in different systems self-diffusion activation energy (EJ).
Figure 8.
Vacancy formation energy for Al atom (green) and Si atom (blue); diffusion activation energy for Al vacancy (yellow) and Si vacancy (navy blue).
4. Conclusions
The aim of this study was to investigate the surface stability, micro-mechanical behavior, and diffusion migration properties of the Al4Si aluminum alloy systematically, using the first-principles calculations of density functional theory. By calculating the surface energy of five different surfaces of Al4Si, we found that the (001) surface, (010) surface, (100) surface, (110) surface, and (111) surface have surface energies of −21.65 J/m2, −29.23 J/m2, −26.17 J/m2, −37.22 J/m2, and −38.67 J/m2, respectively. The results show that the Al4Si (001) surface has the lowest surface energy compared to the other four surfaces, and we identified the (111) surface of Al4Si as the surface with the most exposed surface. Furthermore, we calculated the strength of two interfaces in Al4Si(111), the Al/Al interface and the Al/Si interface. We considered different atomic configurations and accounted for fracture energies and theoretical stresses. The results show that the fracture energies of the Al/Al and Al/Si interfaces are 1.32 J/m2 and 1.27 J/m2, respectively, with maximum values of 2.75 GPa and 2.55 GPa, respectively. The tensile stress of Al/Al is 0.2 GPa higher than that of Al/Si, indicating a relatively high interface strength for the Al/Al interface, attributed to the arrangement of atoms at the interface. Additionally, we studied the diffusion migration behavior of Si atoms in the alloy system, focusing on vacancy diffusion. We considered two diffusion modes: Si atom vacancy diffusion and Al atom vacancy diffusion. The results show that Al atom vacancies are more likely to form compared to Si atom vacancies, and Si atoms tend to migrate to Al atoms. The theoretical calculations based on first-principles for aluminum alloys provide a theoretical foundation for the development of new aluminum alloys and the exploration of aluminum alloy mechanisms.
Supplementary Materials
The following supporting information can be downloaded at: https://www.mdpi.com/article/10.3390/met13091622/s1. Supplementary material, Figure S1: Schematic diagram of the Al4Si tensile fracture process.; Figure S2: Cutoff energy convergence test result curve; Figure S3: K-points energy convergence test result curve; Figure S4: Schematic diagram of diffusive transport pathways.
Author Contributions
Conceptualization, J.H. (Jingtao Huang) and J.X.; methodology, J.H. (Jingtao Huang) and J.X.; software, M.L.; validation, Y.C. and Z.L.; formal analysis, J.H. (Jin Hu) and J.X.; investigation, F.Z.; resources, N.Q.; data curation, J.H. (Jingtao Huang); writing—original draft preparation, J.H. (Jingtao Huang); writing—review and editing, Y.L.; visualization, J.Z.; supervision, N.Q.; project administration, N.Q.; funding acquisition, Y.L. All authors have read and agreed to the published version of the manuscript.
Funding
This research is supported by the Science Foundation of National Key Laboratory of Science and Technology on Advanced Composites in Special Environments.
Data Availability Statement
Not applicable.
Conflicts of Interest
The authors declare no conflict of interest.
References
- Marquis, E.A.; Seidman, D.N.; Asta, M.; Woodward, C. Composition Evolution of Nanoscale Al3Sc Precipitates in an Al-Mg-Mn-Sc Alloy: Experiments and Computations. Acta Mater. 2006, 54, 119–130. [Google Scholar] [CrossRef]
- Mortsell, E.A.; Marioara, C.D.; Andersen, S.J.; Ringdalen, I.G.; Friis, J.; Wenner, S.; Royset, J.; Reiso, O.; Holmestad, R. The effects and behaviour of Li and Cu alloying agents in lean Al-Mg-Si alloys. J. Alloys Compd. 2017, 699, 235–242. [Google Scholar] [CrossRef]
- Biswas, A.; Siegel, D.J.; Wolverton, C.; Seidman, D.N. Precipitates in Al-Cu alloys revisited: Atom-probe tomographic experiments and first-principles calculations of compositional evolution and interfacial segregation. Acta Mater. 2011, 59, 6187–6204. [Google Scholar] [CrossRef]
- Topcu, I.; Gulsoy, H.O.; Kadioglu, N.; Gulluoglu, A.N. Processing and mechanical properties of B4C reinforced Al matrix composites. J. Alloys Compd. 2009, 482, 516–521. [Google Scholar] [CrossRef]
- Williams, J.C.; Starke, E.A., Jr. Progress in structural materials for aerospace systems. Acta Mater. 2003, 51, 5775–5799. [Google Scholar] [CrossRef]
- Zhang, X.; Ren, X.; Li, H.; Zhao, Y.; Huang, Y.; Liu, Y.; Xiao, Z. Interfacial properties and fracture behavior of the L12-Al3Sc||Al interface: Insights from a first-principles study. Appl. Surf. Sci. 2020, 515, 146017. [Google Scholar] [CrossRef]
- Huang, J.; Li, M.; Liu, Y.; Chen, J.; Lai, Z.; Hu, J.; Zhou, F.; Zhu, J. A first-principles study on the doping stability and micromechanical properties of alloying atoms in aluminum matrix. Vacuum 2023, 207, 111596. [Google Scholar] [CrossRef]
- Zhang, X.; Huang, Y.; Liu, Y.; Xiao, Z. A comprehensive study of the L12-Al3Nb/Al interface properties using first-principles calculations. J. Mater. Res. Technol. 2020, 9, 12428–12442. [Google Scholar] [CrossRef]
- Getmanskii, I.V.; Koval, V.V.; Boldyrev, A.I.; Minyaev, R.M.; Minkin, V.I. Computationally Designed Crystal Structures ofhe Supertetrahedral Al4X (X = B, C, Al, Si) Solids. J. Phys. Chem. A 2019, 123, 267–271. [Google Scholar] [CrossRef]
- Pei, X.; Yuan, M.N.; Han, F.Z.; Wei, Z.Y.; Ma, J.; Wang, H.L.; Shen, X.Q.; Zhou, X.S. Investigation on tensile properties and failure mechanism of Al(111)/Al3Ti(112) interface using the first-principles method. Vacuum 2022, 196, 110784. [Google Scholar] [CrossRef]
- Peng, M.J.; Wang, R.F.; Wu, Y.J.; Yang, A.C.; Duan, Y.H. Elastic anisotropies, thermal conductivities and tensile properties of MAX phases Zr2AlC and Zr2AlN: A first-principles calculation. Vacuum 2022, 196, 110715. [Google Scholar] [CrossRef]
- Li, Y.; Zhang, X.Z.; Zhang, S.Y.; Song, X.Q.; Wang, Y.X.; Chen, Z. First principles study of stability, electronic structure and fracture toughness of Ti3SiC2/TiC interface. Vacuum 2022, 196, 110745. [Google Scholar] [CrossRef]
- Wang, D.; Xiao, Z. Revealing the Al/L12-Al3Zr inter-facial properties: Insights from first-principles calculations. Vacuum 2022, 195, 110620. [Google Scholar] [CrossRef]
- Segall, M.D.; Lindan, P.J.D.; Probert, M.J.; Pickard, C.J.; Hasnip, P.J.; Clark, S.J.; Payne, M.C. First-principles simulation: Ideas, illustrations and the CASTEP code. J. Phys. Condens. Matter 2002, 14, 2717–2744. [Google Scholar] [CrossRef]
- Xu, L.L.; Zheng, H.F.; Xu, B.; Liu, G.Y.; Zhang, S.L.; Zheng, H.B. Suppressing Nonradiative Recombination by Electron-Donating Substituents in 2D Conjugated Triphenylamine Polymers toward Efficient Perovskite Optoelectronics. Nano Lett. 2023, 23, 1954–1960. [Google Scholar] [CrossRef]
- Perdew, J.P.; Burke, K.; Ernzerhof, M. Generalized gradient approximation made simple. Phys. Rev. Lett. 1998, 77, 3865–3868. [Google Scholar] [CrossRef]
- Jones, R.O.; Gunnarsson, O. The density functional formalism, its applications and prospects. Rev. Mod. Phys. 1989, 61, 689–746. [Google Scholar] [CrossRef]
- Marsman, M.; Paier, J.; Stroppa, A.; Kresse, G. Hybrid functionals applied to extended systems. J. Phys. Condens. Matter 2008, 20, 064201. [Google Scholar] [CrossRef]
- Deane, K.; Kampe, S.L.; Swenson, D.; Sanders, P.G. Precipitate Evolution and Strengthening in Supersaturated Rapidly Solidified Al-Sc-Zr Alloys. Met. Mater. Trans. A 2017, 48, 2030–2039. [Google Scholar] [CrossRef]
- Mantina, M.; Wang, Y.; Arroyave, R.; Liu, L.Q.C.Z.K.; Wolverton, C. First-Principles Calculation of Self-Diffusion Coefficients. Phys. Rev. Lett. 2008, 100, 215901. [Google Scholar] [CrossRef]
- Rose, J.H.; Ferrante, J.; Smith, J.R. Universal bnding energy curves for metals and bimetallic interfaces. Phys. Rev. Lett. 1981, 47, 675–678. [Google Scholar] [CrossRef]
- Yuryev, P.O.; Baranov, V.N.; Orelkina, T.A.; Bezrukikh, A.I.; Voroshilov, D.S.; Murashkin, M.Y.; Partyko, E.G.; Konstantinov, I.L.; Yanov, V.V.; Stepanenko, N.A. Investigation the structure in cast and deformed states of aluminum alloy, economically alloyed with scandium and zirconium. Int. J. Adv. Manuf. Technol. 2021, 115, 263–274. [Google Scholar] [CrossRef]
- Yang, C.; Zhang, P.; Shao, D.; Wang, R.; Cao, L.; Zhang, J.; Liu, G.; Chen, B.; Sun, J. The influence of Sc solute partitioning on the microalloying effect and mechanical properties of Al-Cu alloys with minor Sc addition. Acta Mater. 2016, 119, 68–79. [Google Scholar] [CrossRef]
- Liang, S.S.; Wen, S.P.; Wu, X.L.; Huang, H.; Gao, K.Y.; Nie, Z.R. The synergetic effect of Si and Sc on the thermal stability of the precipitates in AlCuMg alloy. Mater. Sci. Eng. A 2020, 78, 139319. [Google Scholar] [CrossRef]
- Perdew, J.P.; Wang, Y. Accurate and simple analytic representation of the electron-gas correlation energy. Phys. Rev. B 1992, 45, 13244–13249. [Google Scholar] [CrossRef]
- Huang, J.T.; Li, M.W.; Chen, J.Y.; Cheng, Y.; Lai, Z.H.; Hu, J.; Zhou, F.; Qu, N.; Liu, Y.; Zhu, J.C. Electronic structure and atomic migration of the fourth, fifth, and sixth period atoms in aluminium alloys: First principles calculation. Vacuum 2023, 210, 111823. [Google Scholar] [CrossRef]
- Mantina, M.; Shang, S.L.; Wang, Y.; Chen, L.Q.; Liu, Z.K. 3D transition metal impurities in aluminum: A first-principles study. Phys. Rev. B 2009, 80, 184111. [Google Scholar] [CrossRef]
- Zhang, X.; Deng, H.; Xiao, S.; Tang, J.; Deng, L.; Hu, W. First-principles calculation of self-diffusion coefficients in Ni3Al. J. Alloys Compd. 2014, 612, 361–364. [Google Scholar] [CrossRef]
- Zhou, B.-C.; Shang, S.-L.; Wang, Y.; Liu, Z.-K. Diffusion coefficients of alloying elements in dilute Mg alloys: A comprehensive first-principles study. Acta Mater. 2016, 103, 573–586. [Google Scholar] [CrossRef]
- Huber, L.; Elfimov, I.; Rottler, J.; Militzer, M. Ab initio calculations of rare-earth diffusion in magnesium. Phys. Rev. B 2012, 85, 4214–4218. [Google Scholar] [CrossRef]
Disclaimer/Publisher’s Note: The statements, opinions and data contained in all publications are solely those of the individual author(s) and contributor(s) and not of MDPI and/or the editor(s). MDPI and/or the editor(s) disclaim responsibility for any injury to people or property resulting from any ideas, methods, instructions or products referred to in the content. |
© 2023 by the authors. Licensee MDPI, Basel, Switzerland. This article is an open access article distributed under the terms and conditions of the Creative Commons Attribution (CC BY) license (https://creativecommons.org/licenses/by/4.0/).







