Influence of Artificial Aging Time on Microstructures and Mechanical Properties of Porthole Die Extruded 6063 Aluminum Alloy
Abstract
:1. Introduction
2. Materials and Methods
3. Results and Discussion
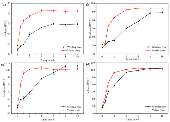
3.1. Microstructure and Hardness
3.2. Microstructure
3.3. Mechanical Properties
3.3.1. Expansion Test
3.3.2. Fractography
4. Conclusions
- (1)
- With the increase of artificial aging time, the hardness of the 6063 aluminum alloy profile gradually increased due to the precipitation and growth of the β″ phase.
- (2)
- Due to the difference in grain size, the size and distribution of the precipitates were more uneven, and the time for the precipitation was longer in the welding zones than those in the matrix zones. Therefore, the hardness of the welding zone was lower than that of the matrix zone of the 6063 aluminum alloy profile.
- (3)
- As the artificial aging time increased, the expansion ratio of the profile sharply decreased. The maximum reduction was 15.4%. The decreasing trend with increasing aging time indicated that aging heat treatment weakened the plastic deformation ability of the profile.
- (4)
- The results obtained in this study could provide significant theoretical support and basic data for further study in the field of porthole die extrusion.
Author Contributions
Funding
Data Availability Statement
Conflicts of Interest
References
- Yu, X.; Zhang, G.; Zhang, Z.; Wang, Y. Research on corrosion resistance of anodized and sealed 6061 aluminum alloy in 3.5% sodium chloride solution. Int. J. Electrochem. Sci. 2023, 18, 100092. [Google Scholar]
- Hwang, Y.M.; Hsu, I.P. Die Design and Finite Element Analysis of Welding Seams during Aluminum Alloy Tube Extrusion. Metals 2023, 13, 911. [Google Scholar]
- Xu, X.; Ma, X.; Zhao, G.; Wang, Y.; Chen, X. Effects of abnormal grain growth at longitudinal weld on the aging behavior and mechanical properties of 2196 AlCuLi alloy profile. Mater. Des. 2021, 210, 110043. [Google Scholar]
- Chen, G.; Chen, L.; Zhao, G.; Zhang, C. Microstructure evolution during solution treatment of extruded Al-Zn-Mg profile containing a longitudinal weld seam. J. Alloys Compd. 2017, 729, 210–221. [Google Scholar]
- Ding, C.; Hao, H.; Lu, Z.; Yu, C.; Wu, X.; Yu, P.; Ye, S. Fabrication of hypereutectic Al–Si alloy with improved mechanical and thermal properties by hot extrusion. Mater. Charact. 2023, 202, 113026. [Google Scholar]
- Zykova, A.; Martyushev, N.; Skeeba, V.; Zadkov, D.; Kuzkin, A. Influence of W Addition on Microstructure and Mechanical Properties of Al-12%Si Alloys. Materials 2019, 12, 981–990. [Google Scholar]
- Granum, H.; Myhr, O.R.; Børvik, T.; Hopperstad, O.S. Effect of pre-stretching on the mechanical behaviour of three artificially aged 6xxx series aluminium alloys. Mater. Today Commun. 2021, 27, 102408. [Google Scholar]
- Lei, G.; Wang, B.; Lu, J.; Wang, C.; Li, Y.; Luo, F. Microstructure, mechanical properties, and corrosion resistance of continuous heating aging 6013 aluminum alloy. J. Mater. Res. Technol. 2022, 18, 370–383. [Google Scholar]
- Rymer, L.M.; Winter, L.; Hockauf, K.; Lampke, T. Artificial aging time influencing the crack propagation behavior of the aluminum alloy 6060 processed by equal channel angular pressing. Mater. Sci. Eng. A 2021, 811, 141039. [Google Scholar]
- Yang, L.; Bai, D.; Wang, D.; Liu, C.; Yang, S.; Huang, G. Effect of aging temperature on microstructure and corrosion behavior of 6082 aluminum alloy. Mater. Today Commun. 2023, 36, 106583. [Google Scholar]
- Liu, Y.; Pan, Q.; Liu, B.; Yu, Q.; Li, G.; Pan, D. Effect of aging treatments on fatigue properties of 6005A aluminum alloy containing Sc. Int. J. Fatigue 2022, 163, 107103. [Google Scholar]
- Engler, O. Effect of precipitation state on plastic anisotropy in sheets of the age-hardenable aluminium alloys AA 6016 and AA 7021. Mater. Sci. Eng. A 2022, 830, 142324. [Google Scholar]
- Chae, W.; Jeong, M.; Lee, D.; Lee, J.; Chun, D.W.; Lee, S.Y.; Hong, S.K.; Kim, S.H.; Han, J.H. Effects of pre/post-aging treatment on the mechanical properties and texture of asymmetrically rolled 6061 aluminum alloy: Formability and planar anisotropy. J. Mater. Res. Technol. 2023, 24, 9476–9490. [Google Scholar]
- Yang, J.; Zhao, B.; Zhu, M.; Liu, L.; Zhang, X. Influence of aging time on the corrosion behavior of 6061-T6 aluminum alloy in NaCl solution. Int. J. Electrochem. Sci. 2021, 16, 211231. [Google Scholar]
- Winter, L.; Hockauf, K.; Scholze, M.; Hellmig, R.J.; Lampke, T. Influence of Pre-Aging on the Artificial Aging Behavior of a 6056 Aluminum Alloy after Conventional Extrusion. Metals 2021, 11, 385. [Google Scholar]
- Loukus, A.; Subhash, G.; Imaninejad, M. Mechanical properties and microstructural characterization of extrusion welds in AA6082-T4. J. Mater. Sci. 2004, 39, 6561–6569. [Google Scholar] [CrossRef]
- Xu, X.; Zhao, G.; Yu, S.; Wang, Y.; Chen, X.; Zhang, W. Effects of extrusion parameters and post-heat treatments on microstructures and mechanical properties of extrusion weld seams in 2195 Al-Li alloy profiles. J. Mater. Res. Technol. 2020, 9, 2662–2678. [Google Scholar]
- Xu, X.; Ma, X.; Zhao, G.; Chen, X.; Wang, Y. Abnormal grain growth of 2196 Al-Cu-Li alloy weld seams during extrusion and heat treatment. J. Alloys Compd. 2021, 867, 159043. [Google Scholar]
- Jo, H.H.; Jeong, C.S.; Lee, S.K.; Kim, B.M. Determination of welding pressure in the non-steady-state porthole die extrusion of improved Al7003 hollow section tubes. J. Mater. Process. Technol. 2003, 139, 428–433. [Google Scholar] [CrossRef]
- Kim, K.J.; Lee, C.H.; Yang, D.Y. Investigation into the improvement of welding strength in three-dimensional extrusion of tubes using porthole dies. J. Mater. Process. Technol. 2002, 130–131, 426–431. [Google Scholar] [CrossRef]
- Li, L.; Zhang, H.; Zhou, J.; Duszczyk, J.; Li, G.Y.; Zhong, Z.H. Numerical and experimental study on the extrusion through a porthole die to produce a hollow magnesium profile with longitudinal weld seams. Mater. Des. 2008, 29, 1190–1198. [Google Scholar]
- Li, S.; Li, L.; Liu, Z.; Wang, G. Microstructure and Its Influence on the Welding Quality of 6063 Aluminum Alloy Porthole Die Extrusion. Materials 2021, 14, 6584. [Google Scholar]
- Yang, Y.; Zhang, Z.; Li, X.; Wang, Q.; Zhang, Y. The effects of grain size on the hot deformation and processing map for 7075 aluminum alloy. Mater. Design. 2013, 51, 592–597. [Google Scholar]
- Cheng, T.C.; Lee, R.S. The influence of grain size and strain rate effects on formability of aluminium alloy sheet at high-speed forming. J. Mater. Process. Technol. 2018, 253, 134–159. [Google Scholar]
- Chrominski, W.; Kulczyk, M.; Lewandowska, M.; Kurzydlowski, K.J. Precipitation strengthening of ultrafine-grained Al–Mg–Si alloy processed by hydrostatic extrusion. Mater. Sci. Eng. A 2014, 609, 80–87. [Google Scholar]
- Chrominski, W.; Lewandowska, M. Precipitation phenomena in ultrafine grained Al–Mg–Si alloy with heterogeneous microstructure. Acta Mater. 2016, 103, 547–557. [Google Scholar]
- Quispe, A.; Medina, S.F.; Gómez, M.; Chaves, J.I. Influence of austenite grain size on recrystallisation–precipitation interaction in a V-microalloyed steel. Mater. Sci. Eng. A 2007, 447, 11–18. [Google Scholar]
- Marioara, C.D.; Andersen, S.J.; Jansen, J.; Zandbergen, H.W. The influence of temperature and storage time at RT on nucleation of the β″ phase in a 6082 Al–Mg–Si alloy. Acta Mater. 2003, 51, 789–796. [Google Scholar] [CrossRef]
- Pogatscher, S.; Antrekowitsch, H.; Leitner, H.; Ebner, T.; Uggowitzer, P.J. Mechanisms controlling the artificial aging of Al–Mg–Si Alloys. Acta Mater. 2011, 59, 3352–3363. [Google Scholar]
- Werinos, M.; Antrekowitsch, H.; Ebner, T.; Prillhofer, R.; Uggowitzer, P.J.; Pogatscher, S. Hardening of Al–Mg–Si alloys: Effect of trace elements and prolonged natural aging. Mater. Des. 2016, 107, 257–268. [Google Scholar]
- Li, S.K.; Li, L.X.; He, H.; Liu, Z.W.; Zhang, L. Influence of dynamic recrystallization on microstructure and mechanical properties of welding zone in Al–Mg–Si aluminum profile during porthole die extrusion. Trans. Nonferrous Met. Soc. China 2019, 29, 1803–1815. [Google Scholar]
- Starink, M.J.; Gao, N.; Kamp, N.; Wang, S.C.; Pitcher, P.D.; Sinclair, I. Relations between microstructure, precipitation, age-formability and damage tolerance of Al–Cu–Mg–Li (Mn, Zr, Sc) alloys for age forming. Mater. Sci. Eng. A 2006, 418, 241–249. [Google Scholar]
- Krol, T.; Baither, D.; Nembach, E. Softening of the superalloy NIMONIC PE16 by precipitate free zones along grain boundaries. Mater. Sci. Eng. A 2004, 387–389, 214–217. [Google Scholar]
- Munitz, A.; Meshi, L.; Kaufman, M.J. Heat treatments’ effects on the microstructure and mechanical properties of an equiatomic Al-Cr-Fe-Mn-Ni high entropy alloy. Mater. Sci. Eng. A 2017, 689, 384–394. [Google Scholar]
- Munitz, A.; Kaufman, M.J.; Nahmany, M.; Derimow, N.; Abbaschian, R. Microstructure and mechanical properties of heat treated Al1.25CoCrCuFeNi high entropy alloys. Mater. Sci. Eng. A 2018, 714, 146–159. [Google Scholar]
- Munitz, A.; Cotler, C.; Talianker, M. Aging impact on mechanical properties and microstructure of Al-6063. J. Mater. Sci. 2000, 35, 2529–2538. [Google Scholar] [CrossRef]
- Cuniberti, A.; Tolley, A.; Riglos, M.V.C.; Giovachini, R. Influence of natural aging on the precipitation hardening of an AlMgSi alloy. Mater. Sci. Eng. A 2010, 527, 5307–5311. [Google Scholar]
- Jiang, B.; Cao, F.; Wang, H.; Yi, D.; Jiang, Y.; Shen, F.; Wang, B.; Liu, H. Effect of aging time on the microstructure evolution and mechanical property in an Al-Cu-Li alloy sheet. Mater. Sci. Eng. A 2019, 740–741, 157–164. [Google Scholar]
- He, J.H.; Jin, L.; Wang, F.H.; Dong, S.; Dong, J. Mechanical properties of Mg-8Gd-3Y-0.5Zr alloy with bimodal grain size distributions. J. Alloys Compd. 2017, 5, 423–429. [Google Scholar] [CrossRef]
- Thomesen, S.; Hopperstad, O.S.; Myhr, O.R.; Børvik, T. Influence of stress state on plastic flow and ductile fracture of three 6000-series aluminium alloys. Mater. Sci. Eng. A 2020, 783, 139295. [Google Scholar]
- Liu, G.; Scudino, S.; Li, R.; Kühn, U.; Sun, J.; Eckert, J. Coupling effect of primary voids and secondary voids on the ductile fracture of heat-treatable aluminum alloys. Mech. Mater. 2011, 43, 556–566. [Google Scholar] [CrossRef]
- Frodal, B.H.; Dæhli, L.E.B.; Børvik, T.; Hopperstad, O.S. Modelling and simulation of ductile failure in textured aluminium alloys subjected to compression-tension loading. Int. J. Plasticity 2019, 118, 36–69. [Google Scholar] [CrossRef]
- Fallah, V.; Korinek, A.; Ofori-Opoku, N.; Raeisinia, B.; Gallerneault, M.; Provatas, N.; Esmaeili, S. Atomic-scale pathway of early-stage precipitation in Al–Mg–Si alloys. Acta Mater. 2015, 82, 457–467. [Google Scholar] [CrossRef]
- Zhu, S.; Shih, H.C.; Cui, X.; Yu, C.Y.; Ringer, S.P. Design of solute clustering during thermomechanical processing of AA6016 Al–Mg–Si alloy. Acta Mater. 2021, 203, 116455. [Google Scholar] [CrossRef]



















| Mg | Si | Fe | Cu | Mn | Cr | Zn | Ti | Al |
|---|---|---|---|---|---|---|---|---|
| 0.85 | 0.47 | 0.20 | 0.21 | 0.01 | 0.13 | 0.25 | 0.15 | Bal |
| Process Parameters | PE3 | PE7 | PE9 | PE11 |
|---|---|---|---|---|
| Extrusion ratio | 16.9 | 16.9 | 16.9 | 16.9 |
| Ram speed (mm/s) | 3 | 7 | 9 | 11 |
| Billet temperature (°C) | 480 | 480 | 480 | 480 |
| Die temperature (°C) | 450 | 450 | 450 | 450 |
| Container temperature (°C) | 480 | 480 | 480 | 480 |
| Zone | Ram Speed (mm/s) | |||
|---|---|---|---|---|
| 3 | 7 | 9 | 11 | |
| Welding zone | 86 | 49 | 52 | 54 |
| Matrix zone | 49 | 34 | 37 | 39 |
| Aging Time (h) | Width of PFZ (nm) | |||||||
|---|---|---|---|---|---|---|---|---|
| 3 mm/s | 7 mm/s | 9 mm/s | 11 mm/s | |||||
| W | M | W | M | W | M | W | M | |
| 1 | 261 | 187 | 201 | 127 | 159 | 143 | 132 | 78 |
| 2 | 421 | 210 | 289 | 145 | 267 | 123 | 143 | 110 |
| 4 | 422 | 234 | 301 | 189 | 257 | 172 | 178 | 165 |
| 8 | 316 | 295 | 302 | 268 | 230 | 190 | 175 | 156 |
Disclaimer/Publisher’s Note: The statements, opinions and data contained in all publications are solely those of the individual author(s) and contributor(s) and not of MDPI and/or the editor(s). MDPI and/or the editor(s) disclaim responsibility for any injury to people or property resulting from any ideas, methods, instructions or products referred to in the content. |
© 2023 by the authors. Licensee MDPI, Basel, Switzerland. This article is an open access article distributed under the terms and conditions of the Creative Commons Attribution (CC BY) license (https://creativecommons.org/licenses/by/4.0/).
Share and Cite
Li, S.; Shen, F.; Guo, Y.; Liu, H.; Yu, C. Influence of Artificial Aging Time on Microstructures and Mechanical Properties of Porthole Die Extruded 6063 Aluminum Alloy. Metals 2023, 13, 1621. https://doi.org/10.3390/met13091621
Li S, Shen F, Guo Y, Liu H, Yu C. Influence of Artificial Aging Time on Microstructures and Mechanical Properties of Porthole Die Extruded 6063 Aluminum Alloy. Metals. 2023; 13(9):1621. https://doi.org/10.3390/met13091621
Chicago/Turabian StyleLi, Shikang, Fangyu Shen, Yu Guo, Haijun Liu, and Changbai Yu. 2023. "Influence of Artificial Aging Time on Microstructures and Mechanical Properties of Porthole Die Extruded 6063 Aluminum Alloy" Metals 13, no. 9: 1621. https://doi.org/10.3390/met13091621
APA StyleLi, S., Shen, F., Guo, Y., Liu, H., & Yu, C. (2023). Influence of Artificial Aging Time on Microstructures and Mechanical Properties of Porthole Die Extruded 6063 Aluminum Alloy. Metals, 13(9), 1621. https://doi.org/10.3390/met13091621

