Abstract
High-temperature plastic deformation is one of the main methods for the fabrication of titanium-based alloys. Accurate determination of the mechanical constitutive relation is pivotal for the design, optimization, as well as the prediction of the mechanical behavior of materials. In this study, finite element simulations were carried out to simulate the Gleeble thermal compression experiment of titanium alloy samples, focusing on different thermocouple design parameters, including thermocouple material and wire diameter, etc. The results show that the heat dissipation of the thermocouple distorted the local temperature field of the contact point between the sample and the thermocouple, resulting in a deviation of the measured temperature. Through finite element method (FEM) simulation and analysis of the changes caused by various factors and comparison with the metallographic morphology of titanium alloy samples from relevant heat treatment experiments, it was shown that the material and wire diameter of the thermocouple, the thermal conductivity coefficient of sample, and the testing temperature of the sample all affected the measurement results. The thermal conductivity of sample had the largest influence on the measurement accuracy. Based on the finite element simulation and experimental comparison, the corresponding correction method and correction formula are proposed.
1. Introduction
Titanium alloy is a backbone material in the aerospace industry, and its usage has become one of the indicators of the development level of aerospace equipment. Many performance-critical titanium alloy components are manufactured using hot working methods. Starting from the ingot, titanium alloy undergoes a dozen or even dozens of processes such as slab forging, swaging, rolling, isothermal forging, etc., many of which are carried out in the duplex phase zone and its upper and lower boundaries. The forming process involves the coupling of deformation and phase transformation, so the forming process not only determines the final shape of the component but also has an important influence on its microstructure, properties, and distribution. Therefore, it needs to be accurately controlled [1,2]. High-quality aviation manufacturing, such as the design and processing of aircraft and engine components, is increasingly based on a large number of finite element simulations, all of which require accurate material rheological data [3,4,5,6,7,8]. With the development and application of computers, finite element-based simulation and modeling plays an increasingly significant role in studying deformation behavior, dynamic simulation, and behavior analysis, as well as in reducing material development costs, optimizing hot working processes, etc. Especially for high-precision simulation and modeling, in addition to the requirement of correct models, another prerequisite is the need for accurate material constitutive relations or rheological data.
For many industrial manufacturing processes, such as material processing and related testing processes, thermocouple temperature measurement is one of the most commonly used and reliable temperature measurement methods [9]. When the thermocouple can be placed inside the object being measured, and the object being measured can maintain a constant temperature or its own heat capacity can be considered infinite compared to the thermocouple, the measurement error of the thermocouple can often be ignored. However, when the situation of the object being measured cannot meet the above requirements, such as in the temperature measurement of samples during Gleeble thermal simulation experiments, the introduction of thermocouples will change the original thermal equilibrium state of the object being measured, thereby changing the temperature of the contact point between the object being measured and the thermocouple, resulting in deviation between the measured temperature and the actual temperature of that point, resulting in measurement errors.
The Gleeble simulator is one of the most advanced thermal simulation experimental machines in the world and is widely used in high-temperature plasticity behavior measurements of materials [10,11,12,13]. The constitutive relations of aerospace materials are often obtained by their thermomechanical simulation experiments [14,15,16,17,18]. The temperature measurement of the simulator is achieved by a thermocouple welded onto the sample, and the sample temperature is regulated based on the result by changing the heating current passing through the sample. The introduction of the thermocouple will cause changes in the local temperature of the sample, and the magnitude of the change depends on various factors such as the temperature and material of the sample, as well as the material and size of the thermocouple, which results in differences between the temperature measured by the thermocouple and the target temperature that should be reached on the surface of the sample without a thermocouple. Previous studies have shown that temperature deviations introduced by the compression platen, surface heat dissipation of the sample, and welding of thermocouples have a significant impact on the constitutive relationship results obtained from thermal compression simulation, especially for materials that are sensitive to temperature in terms of their mechanical properties, such as various titanium alloys and intermetallic compounds of titanium and aluminum widely used in aerospace industries. The influence of temperature deviations on simulation results will be significant [19,20]. The temperature error caused by the introduction of thermocouples has both systematic and random components. In this paper, based on finite element simulations, the effects of various factors, such as the material and diameter of the thermocouple wire, on the temperature measurement errors caused by the introduction of thermocouples for samples with different thermal conductivities at different target temperatures are systematically analyzed. The paper also proposes targeted correction methods, which can provide references for similar temperature measurement corrections.
2. Method
In Gleeble thermal compression experiments, the sample temperature is collected with a thermocouple welded onto it. The temperature measured is actually the average temperature of the local area near the contact surface between the thermocouple wire and the sample. In fact, the sample temperature in Gleeble simulation experiments is usually higher than the ambient temperature, and the sample surface will dissipate heat to the outside through the thermal conduction of the anvil and the thermal radiation of the side. As the presence of thermocouples alters the heat dissipation near the welded joint, it inevitably changes the temperature of the joint, making the measured temperature unable to accurately reflect the actual temperature of the sample. To explore the influence of thermocouples on the temperature field, the actual sample temperature is determined by adopting the average temperature of the surface at the middle section, and the target point is selected approximately at the symmetrical circumferential surface position of the welded joint instead of the average circumferential temperature of the middle section.
Figure 1 is a schematic diagram of the compression device of the Gleeble simulation machine (Gleeble3800, Dynamic Systems Inc, Poestenkill, NY, US). The cylindrical sample in the middle has a size of Φ8 mm × 12 mm; alloy anvils with sizes of Φ19 mm × 6 mm and Φ19 mm × 19 mm, respectively, are on both sides. The material of the commonly used thermocouple is PtRh10-Pt, NiCr-NiSi fine wire, with a diameter of 0.1–0.5 mm, and a welded near point A in Figure 1 at two points (only one shown in Figure 1) on the surface of the middle section of the sample with 1–2 mm between them.
Figure 1.
A vertical section schematic of the Gleeble 3800 thermal compression simulation experimental device. (1 and 2 are inner anvils, 3 and 4 are outer anvils, A is the thermocouple welded to the outer surface of the sample, and B is the reference point for comparison). Reprinted with permission from ref. [20]. 2020 China Science Publishing & Media Ltd.
The finite element simulation of the Gleeble thermal compression process was performed using the Simufact.forming package (V14.0) with the elasto-plastic constitutive model employing transient and nonlinear analysis. The water-cooled indenter in contact with the compression unit was simplified to a constant temperature heat transfer rigid body without meshing; other geometries use quadrilateral axisymmetric mesh elements for axisymmetric simulations and hexahedral mesh elements for non-axisymmetric simulations (see Figure 2a for details). The thickness of graphite paper between the sample and the anvil, between the anvil, and between the anvil and the indenter was ignored in the meshing, and its effect was characterized by a suitable heat exchange coefficient. The selection of mesh size takes into account both computational efficiency and accuracy, with a thermocouple mesh size of 0.0125 mm, sample mesh size of 0.025 mm, and anvil mesh size of 0.5 mm. Heat exchange with the environment was modeled by thermal radiation and contact heat transfer. Table 1 shows the main general parameters of the simulation [21,22,23,24]. As the thermocouple was welded to the sample, their contact was modeled by coherent meshes. It is worth noting that in the simulation, only one segment was considered for computation efficiency, as it has been tested that the simulation considering that both segments resulted in only a further temperature drop of less than 2%.
Figure 2.
(a) Temperature distribution in the cross-section of a sample of Ti-6Al-4V when soldering a single thermocouple wire at A, with a sample target temperature of 1000 °C, PtRh10-Pt thermocouple, and a wire diameter 0.2 mm. (b) Sample temperature from the FEM simulation (curve) and the infrared thermal imager (dot). Data points a to e in (b) correspond with a to e in (a).
Table 1.
Parameters used in the FEM simulation. Reprinted with permission from ref. [20]. 2020 China Science Publishing & Media Ltd.
Microstructure characterization was performed with an optical microscope (OM, Axiover 200MAT, Zeiss, Oberkochen, Germany) and scanning electron microscope (SEM, LEO Supra 35, Zeiss, Oberkochen, Germany). Post-heat-treated (see Section 3.3 for detailed procedures) OM and SEM samples were initially polished on 2000-grit SiC papers and subsequently mechanically polished and etched with Kroll’s reagent for 30 s.
Temperature measurement was performed with a dual colorimetric infrared thermometer (SA-2S180A, Wuxi Shiao, China) with a resolution of 1 °C and accuracy of 0.5% for the temperature range of 700 °C–1800 °C. It is worth noting that to measure temperature without contacting, presently, the only way is through an infrared thermal imager. However, this can only provide the temperature at the sample surface. Although the results from the infrared thermal imager can, to a certain extent, verify the correctness of the simulation, the real temperature at the non-surface locations is still unavailable. Thus, in the following context, we referred to the different microstructure between point A and B with the largest temperature difference in the sample, which can better reflect the real temperature difference, as exemplified in [25].
3. Results and Discussion
3.1. Effect of Thermocouples on the Temperature Field of a Sample
The temperature distribution contour map of half of the sample cross-section after reaching thermal equilibrium with only one thermocouple wire (the highlighted section at point A is a segment of thermocouple wire) is shown in Figure 2a. The material of the sample was Ti-6Al-4V titanium alloy, and the sample temperature was 1000 °C. A comparison of the predicted and measured temperature is shown in Figure 2b, which indicates the reliability of the present modeling.
According to Figure 2, the existence of thermocouples caused a noticeable temperature drop in the small area around the thermocouple joint. This is because the thermocouple itself does not generate heat when electrified, but it conducts and radiates heat, all of which come from the contact surface of the joint. For the sample, the provision of heat flow will inevitably result in the existence of a temperature gradient, which will inevitably lead to temperatures near the contact surface being lower than the overall temperature of the sample. The heat flow had the least influence on the temperature of point B in Figure 1. Therefore, the temperature of point B was selected as the target temperature of the actual sample. All temperature differences and drops mentioned in the text refer to the differences between points A and B (with the exception of special cases).
Figure 3 shows the temperature drop curves at various points on the cross-section of samples made of different materials, obtained from finite element simulation, with only one PtRh10-Pt thermocouple wire present in the sample. As shown in the figure, the temperature drop was related to the specimen material, with a smaller temperature drop corresponding to higher thermal conductivity. The reason for this is that the heat loss caused by the PtRh10-Pt thermocouple wire can be well compensated for when the thermal conductivity of the sample is high. The closer a point on the sample was to point A, the greater the temperature drop was, and the larger the change gradient was. This is because the cross-sectional area for heat supplementation was smaller, necessitating a larger temperature gradient. When two PtRh10-Pt thermocouple wires are present, the temperature drop caused by each wire should be the same but shifted by a certain distance. Assuming negligible coupling effects for two PtRh10-Pt thermocouple wires, the temperature drops at each junction can be calculated by adding up the results from Figure 3 (using sample TC4 as an example: the temperature drop at the two junctions 2 mm apart can be obtained by adding the temperature drop results at distance 0 and distance 2 mm from the wire. From the results in Figure 3, this is 17.2 °C + 0.7 °C).
Figure 3.
The decrease of temperature along the edge of the mid-section for samples at 1000 °C with a wire radius of Φ0.2 mm.
Figure 4 shows the temperature drop curves of thermocouple wires with different diameters and different materials on the solder joints of pure copper, pure iron, and TC4 samples obtained from finite element simulation. As can be seen from the figure, the temperature drop was related to the material and wire diameter of the thermocouple, as well as the thermal conductivity coefficient of the sample material. For the same sample material, the influence of thermocouple wire diameter was almost linear within the calculated range of wire diameter. For the same sample material, the temperature drop caused by NiCr-NiSi thermocouples was slightly lower than that of PtRh10-Pt thermocouples. The analysis shows that this was due to the fact that the thermal conductivity and thermal radiation coefficient of NiCr-NiSi were both smaller than those of PtRh10-Pt.
Figure 4.
Temperature drops in the welded joints caused by different wire diameters of PtRh10-Pt (solid lines) and NiCr-NiSi (dashed lines) thermocouples in the TC4, iron, and copper samples.
Figure 5 shows the temperature drop curves of thermocouple wires with a diameter of Φ0.2 mm and different thermal conductivities on the solder joints of pure copper, pure iron, and TC4 samples with a target temperature of 1000 °C, obtained from finite element simulation. The formation of the curve was the result of the combined effect of radiation and conduction of the thermocouple, as well as the thermal conduction and radiation of the sample: when the thermal conductivity of the thermocouple was low, thermal conduction was the limiting factor for heat loss; when the thermal conductivity of the thermocouple was high, the thermocouple radiation was the limiting factor. When the thermal conductivity of the thermocouple was zero, the weld acted as an insulated layer of protection, resulting in a temperature rise (the temperature drop shown in the figure is negative). For titanium alloys, if thermocouple materials with a thermal conductivity of about 10 W/m·K exist, the heat loss caused by this type of thermocouple is small, approximately equal to the heat lost by radiation and conduction from the surface of the sample, and the resulting temperature drop can be ignored. Due to the limited availability of high-temperature thermocouples, this article only provides the impact results of the two most common types of thermocouples.
Figure 5.
The decrease of temperature with different thermal conductivities of the thermocouple at 1000 °C, with a wire radius of Φ0.2 mm in the TC4, iron, and copper samples.
3.2. Combined Effect of Sample Material Properties, Thermocouple Material, and Target Temperature on the Sample Temperature Field near the Thermocouple and Correction
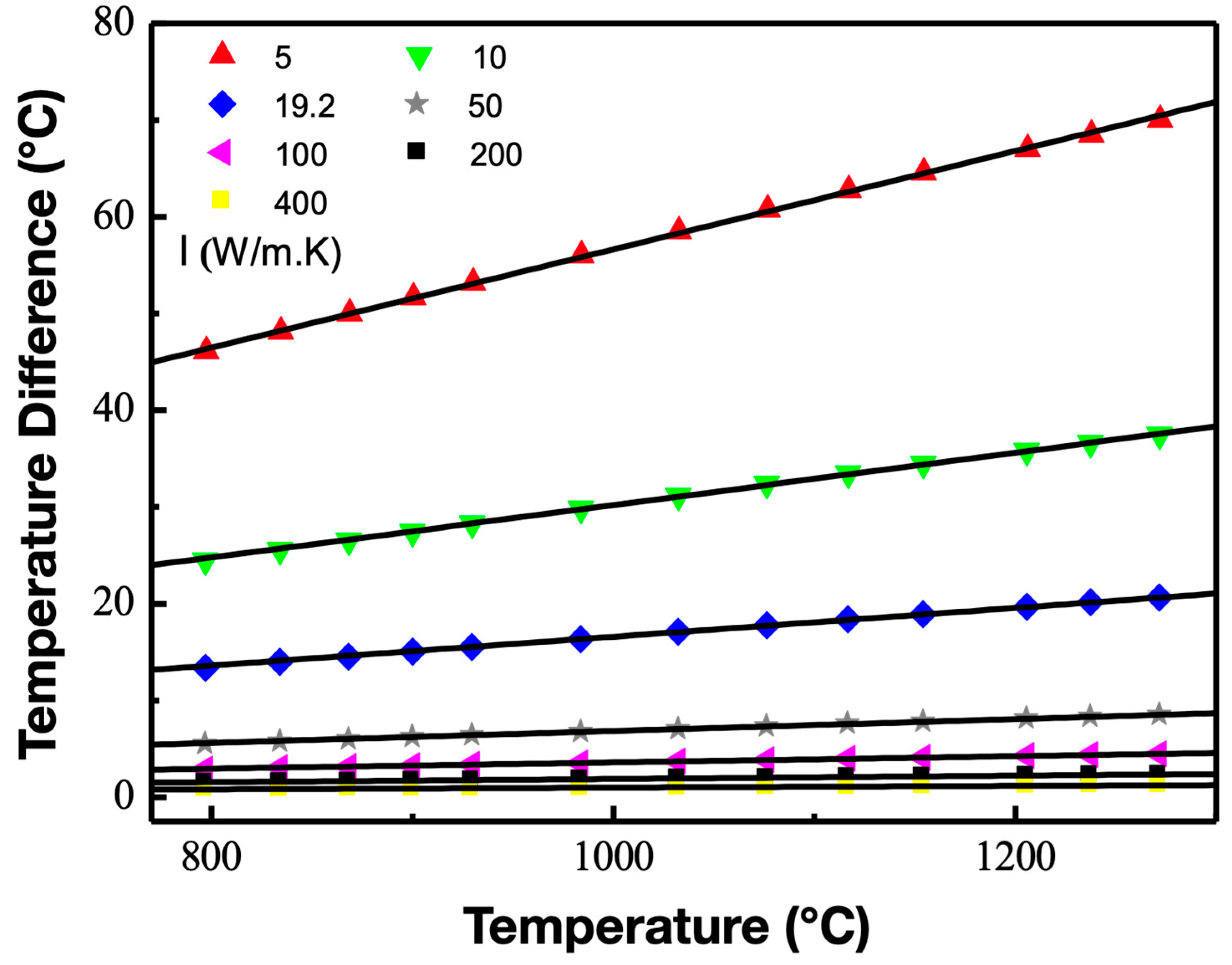
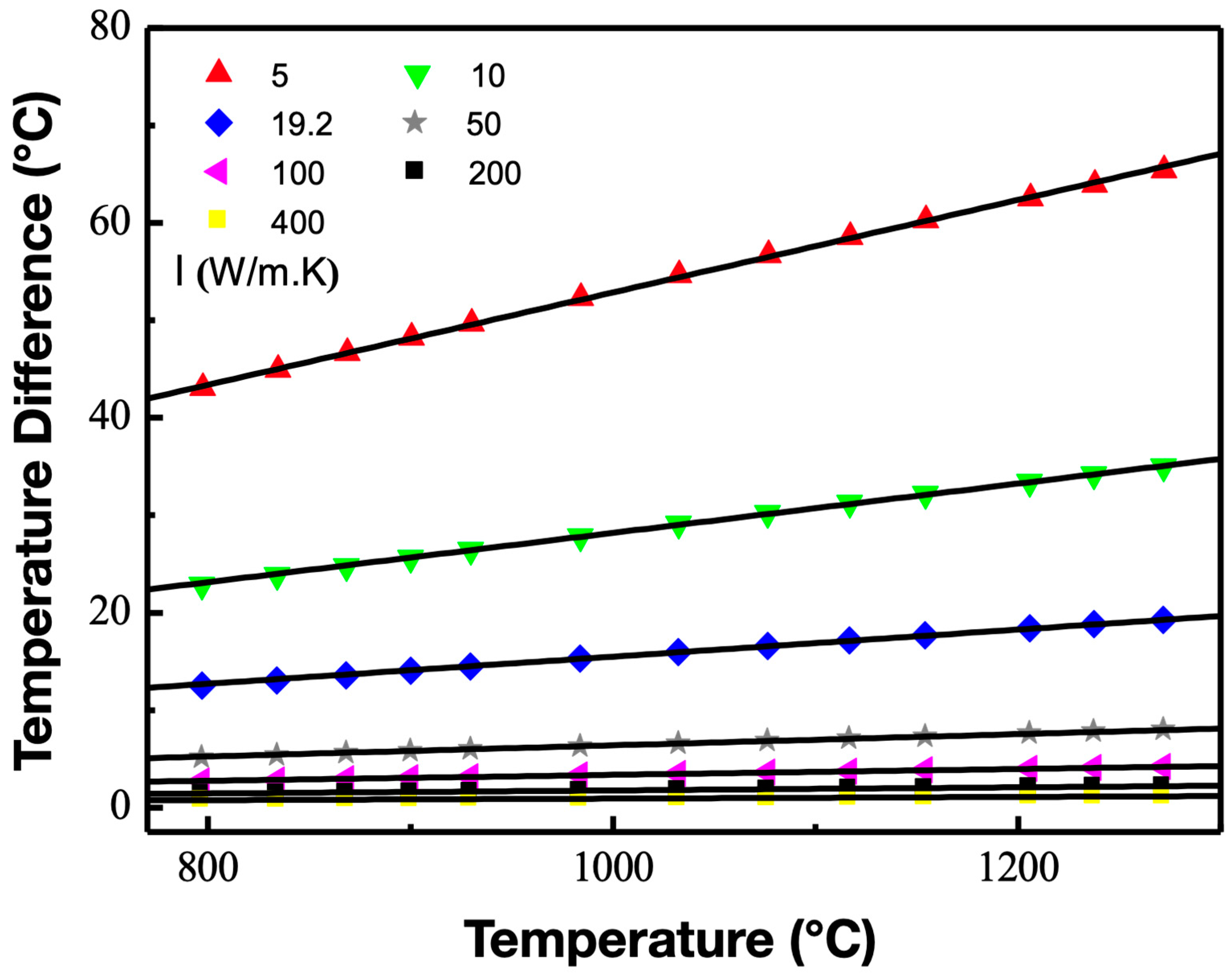
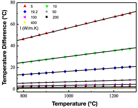
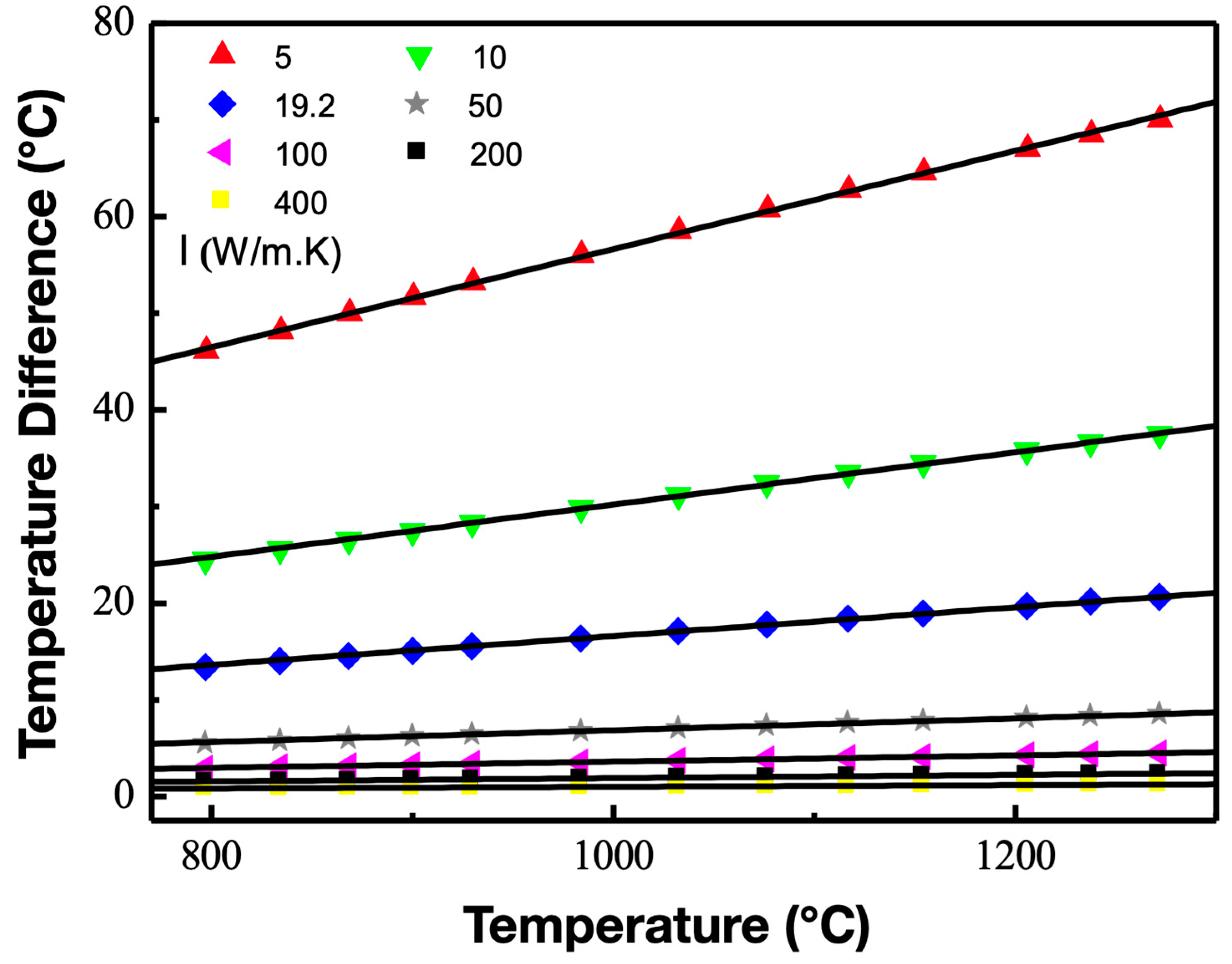
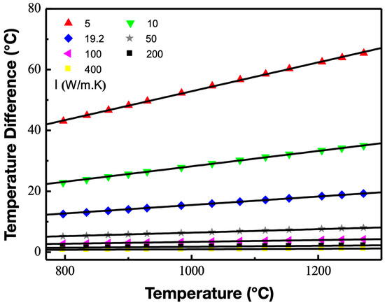
Figure 6 and Figure 7 show the temperature drop simulation results of two thermocouples with a wire diameter of 0.2 mm. Figure 6 is in excellent agreement with [15]. As can be seen from Figure 6 and Figure 7, the temperature drop was almost linearly related to the target temperature of the sample. This is easy to understand because as the target temperature rose, the solder joint temperature of the thermocouple increased, resulting in greater heat loss from the thermocouple and a larger local temperature drop of the sample; the temperature drop was essentially exponentially related to the thermal conductivity of the sample, where lower thermal conductivity led to a larger temperature drop. This is because at the same target temperature, the heat loss from the thermocouple was almost the same. However, materials with low thermal conductivity have poor thermal conductivity, which requires a larger temperature gradient in the sample near the contact point to ensure the same heat flow, naturally leading to a greater temperature drop at the solder joint. The temperature drop of materials with low thermal conductivity is more sensitive to the target temperature, and samples with low thermal conductivity need to consider the impact of the presence of the thermocouple on temperature measurement results. Comparing Figure 6 and Figure 7, it is not difficult to find that the temperature drop pattern caused by thermocouple wires of different materials was similar. Under the same experimental conditions, thermocouples with high thermal conductivity and radiation coefficients caused a larger temperature drop. This is mainly because thermocouples with high thermal conductivity and radiation coefficients lose more heat due to heat transfer, heat dissipation, and radiation.
Figure 6.
Simulation results of temperature drop of samples with different thermal conductivities at the solder joints of Φ0.2 mm PtRh10-Pt thermocouple wire (data points are the results of the finite element simulation; the solid line is the curve obtained from the fit).
Figure 7.
Simulation results of temperature drop of samples with different thermal conductivity at the solder joint of Φ0.2 mm NiCr-NiSi thermocouple wire (data points are the results of the finite element simulation; the straight line is the curve obtained by fitting).
The temperature measurement error caused by the presence of the thermocouple is a systematic error, which can be corrected. From the analysis of the temperature drop reason, it can be concluded that the heat flow into the thermocouple is related to the temperature and size of the solder joint. As shown in Figure 4, the temperature drop was basically proportional to the wire diameter. As seen in Figure 6 and Figure 7, the temperature drop was proportional to the target temperature. The temperature gradient and thermal conductivity required to provide the same heat flux in the sample were inversely proportional, and the temperature drop was the integral of the gradient, also following a similar rule. This rule can be easily observed from the relationship between the temperature drop curves of different thermal conductivities shown in Figure 6 and Figure 7. Therefore, a correction formula can be established as follows:
where a, b, c, d, and e are fitting parameters; Δt is the temperature drop; T is the target temperature; K is the thermal conductivity of the sample material at that temperature; and D is the wire diameter of the thermocouple wire.
Using the data provided in Figure 4, Figure 6 and Figure 7, as well as other data not all presented, fitting can be performed. For the PtRh10-Pt thermocouple, the fitting results were a = 134.67, b = 0.0087, c = 6.23, d = 0.93, and e = 1.25. For the NiCr-NiSi thermocouple, the fitting results were a = 125.69, b = 0.0087, c = 6.23, d = 0.93, and e = 1.25. The solid lines in Figure 6 and Figure 7 were calculated using the modified formula. As shown in Figure 6 and Figure 7, the correction results agree with the simulation results with a high degree of accuracy, up to 99.9%, indicating that the modified formula accurately characterizes the law of temperature error. The range of application for this correction formula is as follows: the target temperature was between 800 and 1300 °C, the thermal conductivity of the sample material was between 5 and 400 W/(m·K), and the wire diameter of the thermocouple was between 0.1 and 0.5 mm. It is worth mentioning that in obtaining the curves in Figure 7 and Figure 8, both D and K were constant; this resulted in only one varying parameter, which was a. Nevertheless, Equation (1) was employed for future case when there were varying D and K values.
3.3. Verification of the Sample Temperature Field in the Vicinity of the Thermocouple
The microstructure of the sample can reflect the annealing temperature of the sample, and the differences in the microstructure of different regions can provide evidence for temperature differences. To verify the reliability of the corrected Formula (1), a detailed observation and study of the microstructure of the welded joint position and target point area were conducted. We selected the two points A and B with the largest temperature difference, i.e., around 20 °C in the case of titanium alloys for better microstructure comparison. Otherwise, the temperature drop is too small to be reflected by microstructure difference. Figure 8, Figure 9 and Figure 10 show the microstructure of TC4, TC6, and TC16 samples after Gleeble heat treatment with corresponding processes.
The microstructure in Figure 8 was obtained by raising the TC4 sample from room temperature to 900 °C at a heating rate of 1 °C/min, holding for 1.5 h after reaching the target temperature, and then water-cooling. As shown in the figure, compared with point A, the β phase in the structure below point B was significantly thickened, and the volume fraction increased, while the axial equalization of the α phase was significant. In the structure below point A, the grain boundaries between adjacent α phases were thinner. Different solid solution temperatures can adjust the ratio of the proportion of α and β phase contents. Conversely, the ratio of the proportion of α and β phase contents can also reflect the solid solution temperature. For the TC4 titanium alloy, it was easy to determine that the temperature difference between the two was about 15~20 °C by experience, which once again demonstrates the reliability of the correction formula.
The metallographic structure of different parts of the sample can characterize the annealing temperature of the sample. The rule is that the higher the temperature is, the higher the volume fraction of the β phase is. Sometimes, the degree of recrystallization of the α grains also reflects the temperature. As can be seen from Figure 8 and Figure 9, the content of primary α phase in the metallographic structure of the target point B of the sample was lower than that of the welded joint A. Moreover, an obvious grain coarsening phenomenon of α grains can be observed in Figure 8b. This indicates that the temperature of point B should be higher than that of point A. For TC series titanium alloys, it can be known from experience and phase diagram calculations that the temperature difference between the two was about 15~20 °C. This indicates that the temperature distribution reflected by the metallographic structure agrees well with the simulation results. This also further demonstrates that the parameter selection for finite element simulation is appropriate, the simulation results are reliable, and the established correction formula is reliable.
Taking titanium alloy with a thermal conductivity of about 20 W/(m·K) as an example, it can be seen from Figure 6 that the temperature drop caused by the thermocouple at the target temperature of 900 °C was about 17 °C. At this time, the rheological curve given by the Gleeble thermal compression simulation experiment was actually the result of this alloy at 917 °C. For titanium alloys, a temperature difference of 17 °C may cross two phase regions. Even in the same phase region, the influence of such temperature difference on the microstructure and mechanical properties cannot be ignored. This effect is even more pronounced for materials with lower thermal conductivity. As this error is a systematic error, the error result can be calculated using the correction Formula (1) in the experiment, and adjustments can be made accordingly to avoid it. For pure copper with a thermal conductivity of about 400 W/(m·K), at the same target temperature of 900 °C, the temperature drop caused by the thermocouple was about 1 °C. At this time, the result given by the Gleeble 3800 simulation experiment was actually the result of 901 °C, which is negligible.
3.4. Discussion
The above results indicate that due to the heat loss from the thermocouple, despite the temperature compensation mechanism in Gleeble tests, a non-negligible temperature difference in the sample still existed, in particular for materials with low thermal conductivity. This led to a deviation of the materials’ properties, as the Gleeble test presumed a homogeneous temperature in the sample. For titanium alloys with low thermal conductivity and remarkable temperature sensitivity, both the microstructure and mechanical properties were not homogeneous, which introduced errors into the stress–strain curves. What is worse, the real temperature in the sample was generally higher than the supposed value, which was used to categorize the stress–strain curves.
To overcome the above issue, a redesign of the temperature monitoring system is suggested. Otherwise, with the present design, the sample temperature Tsample should be tagged as Tsample = Tcouple + Terror/2, where Tcouple is the temperature of the thermocouple. In the case of the TC4 alloy with two thermocouple segments welded on it, Tsample = Tcouple + (17.2 °C + 0.7 °C)/2 = Tcouple + 8.95 °C. This guarantees an error in the sample temperature of no more than 8.95 °C/2, i.e., ~5 °C, which is acceptable for most metals and alloys.
4. Conclusions
A systematic study was conducted on the temperature field changes caused by the welding thermocouple in the Gleeble thermal compression experiment using the finite element method. The focus was on the influence of the introduction of different thermocouples on the temperature measurement results, and an error correction method based on simulation was proposed. The following conclusions were drawn:
- The introduction of the thermocouple caused distortion in the temperature field near the weld point of the sample, which changed the temperature of the measuring point and led to significant systematic temperature measurement errors under certain conditions.
- The magnitude of the error was related to the target temperature, thermal conductivity of the measured sample, and the material and wire diameter of the thermocouple. The greater the thermal conductivity and thermal radiation coefficient of the thermocouple material are, and the larger the wire diameter of the thermocouple wire is, the greater the error it caused. The higher the target temperature and the lower the thermal conductivity of the sample are, the greater the error was. The temperature measurement error of low thermal conductivity samples such as titanium alloys cannot be ignored.
- The temperature measurement error caused by the introduction of the thermocouple can be corrected by a suitable correction formula. Based on the simulation, two commonly used high-temperature thermocouples were proposed, as well as the corresponding error correction methods and formulas for different wire diameters, target temperatures, and materials with different thermal conductivities.
Microstructure studies have shown that the introduction of thermocouples does indeed reduce the temperature at the welding position, and the magnitude of the reduction is consistent with the simulated correction results, indicating that the introduced correction formula is reliable and applicable.
Author Contributions
Investigation, all authors; Conceptualization, H.W. and D.Y.; methodology, X.Z., Y.M., S.G., X.L. and D.Y.; formal analysis, all authors; writing-original draft preparation, X.Z., Y.M. and S.G.; writing-review and editing, all authors; project administration, H.W. and D.Y. All authors have read and agreed to the published version of the manuscript.
Funding
The authors acknowledge the financial support of the National Natural Science Foundation of China (U2241245 and 91960202), the Guiding Plan of Natural Science Foundation of Liaoning Province (2019-zd-0357), and the Shanghai Engineering Research Center of High-Performance Medical Device Materials (20DZ2255500).
Data Availability Statement
The data presented in this study are available on request from the corresponding author.
Conflicts of Interest
The authors declare no conflict of interest.
References
- Banerjee, D.; Williams, J.C. Perspectives on Titanium Science and Technology. Acta Mater. 2013, 61, 844–879. [Google Scholar] [CrossRef]
- Xu, D.S.; Wang, H.; Zhang, J.H.; Bai, C.G.; Yang, R. Titanium Alloys: From Properties Prediction to Performance Optimization. In Handbook of Materials Modeling: Applications: Current and Emerging Materials; Andreoni, W., Yip, S., Eds.; Springer International Publishing: Cham, Switzerland, 2020; pp. 113–151. [Google Scholar]
- Yuan, J.W.; Li, Z.; Tang, H.B. Effect of heat treatment on corrosion resistance and room temperature compression creep of LAM ed TC4 alloy. Acta Aeronaut. Astronaut. Sin. 2021, 42, 478–485. [Google Scholar]
- Chen, L.G.; Wang, W.S.; Zhu, Z.S.; Zhao, Y.; Huang, J.Y.; Zhang, H.; Peng, F. Development and application of large-scale damage tolerance titanium alloy TC4-DT. Acta Aeronaut. Astronaut. Sin. 2020, 41, 523454. [Google Scholar]
- Zhu, S.; Yang, H.; Guo, L.G.; Di, W.J.; Fan, Y. Simulation of Microstructure Evolution During the Whole Process of dial-axial Rolling of TA15 Titanium Alloy Ring. Acta Aeronaut. Astronaut. Sin. 2014, 35, 3145–3155. [Google Scholar]
- Guo, L.G.; Chen, J.H.; He, Y.; Gu, R.J. Response Rules of Strain and Temperature Fields to Roll Sizes During Hot Rolling Process of TC4 Titanium Alloy Conical Ring. Acta Aeronaut. Astronaut. Sin. 2013, 34, 381–389. [Google Scholar]
- Ng, K.L.; Lu, S.Q.; Dong, X.J.; Li, X.; Ouyang, D.L. Behavior of adiabatic Shear and Flow Localization of Alloy Ti-6.5Al-5Mo-1.5Zr-0.3Si. Acta Aeronaut. Astronaut. Sin. 2009, 30, 1967–1972. [Google Scholar]
- Wang, G.C.; Cao, C.X.; Dong, H.B.; Li, Z.C.; Yang, G.; Zhao, X.B. Super Plastic Deformation Mechanism of Titanium Alloy TC11 at Maximum m Value. Acta Aeronaut. Astronaut. Sin. 2009, 10, 357–361. [Google Scholar]
- Zhu, J.-N.; Zhou, Y.-M.; Wang, Y.-P.; Zhang, X.-P. A compensative method of high gas temperature measurement with double eating twin thermal-couple. Acta Aeronaut. Astronaut. Sin. 1993, 14, 303–305. [Google Scholar]
- Pan, Z.; Xu, F.; Mathaudhu, S.; Kecskes, L.; Yin, W.; Zhang, X.; Hartwig, K.; Wei, Q. Microstructural evolution and mechanical properties of niobium processed by equal channel angular extrusion up to 24 passes. Acta Mater. 2012, 60, 2310–2323. [Google Scholar] [CrossRef]
- Warwick, J.; Jones, N.; Rahman, K.; Dye, D. Lattice strain evolution during tensile and compressive loading of CP Ti. Acta Mater. 2012, 60, 6720–6731. [Google Scholar] [CrossRef]
- Yapici, G.; Tomé, C.; Beyerlein, I.; Karaman, I.; Vogel, S.; Liu, C. Plastic flow anisotropy of pure zirconium after severe plastic deformation at room temperature. Acta Mater. 2009, 57, 4855–4865. [Google Scholar] [CrossRef]
- Ding, W.F.; Xi, X.X.; Zhan, J.H.; Xu, J.H.; Fu, Y.C.; Su, H.H. Research status and future development of grinding technology of titanium materials for aero-engines. Acta Aeronaut. Astronaut. Sin. 2019, 40, 22763. [Google Scholar]
- Zhao, B.; Li, P.T.; Zhang, C.Y.; Wang, X.B. Effect of ultrasonic vibration direction on milling characteristics of TC4 titanium alloy. Acta Aeronaut. Astronaut. Sin. 2020, 41, 623301. [Google Scholar]
- Chapuis, A.; Driver, J.H. Temperature dependency of slip and twinning in plane strain compressed magnesium single crystals. Acta Mater. 2011, 59, 1986–1994. [Google Scholar] [CrossRef]
- He, Q.S.; Fu, Y.C.; Xu, H.J.; Ma, K.; Chen, C. Development of Annular Heat Pipe Grinding Wheel for High Efficiency Machining of TC4 Titanium Alloy. Acta Aeronaut. Astronaut. Sin. 2013, 34, 1740–1747. [Google Scholar]
- Maass, R.; Van Petegem, S.; Ma, D.; Zimmermann, J.; Grolimund, D.; Roters, F.; Van Swygenhoven, H.; Raabe, D. Smaller is stronger: The effect of strain hardening. Acta Mater. 2009, 57, 5996–6005. [Google Scholar] [CrossRef]
- Zhang, Y.; Sun, G.B.; Zhang, A.Z. Effect of Abrasive Particle Ultrasonic Vibration on Surface Quality of Titanium Alloy TC4 in EDM. Acta Aeronaut. Astronaut. Sin. 2010, 31, 204–209. [Google Scholar]
- Yu, D.J.; Xu, D.S.; Wang, H.; Zhao, Z.B.; Wei, G.Z.; Yang, R. Refining constitutive relation by integration of finite element simulations and Gleeble experiments. J. Mater. Sci. Technol. 2019, 35, 1039–1043. [Google Scholar] [CrossRef]
- Yang, R.; Yu, D.; Xu, D. Influence of thermocouple welding on GLEEBLE temperature measurement error and a scheme for its correction. Sci. Sin. Technol. 2020, 50, 185–194. [Google Scholar] [CrossRef]
- Li, H.; He, L.; Zhang, C.; Cui, H. Research on the effect of boundary pressure on the boundary heat transfer coefficients between hot stamping die and boron steel. Intern. J. Heat Mass Transfer. 2015, 91, 401–415. [Google Scholar] [CrossRef]
- Xu, M.; Ling, R.; Zhang, Z.; Xie, J. Study on interfacial heat transfer behavior of TA15 titanium alloy and die materials. Intern. J. Heat Mass Transf. 2017, 108, 1573–1578. [Google Scholar] [CrossRef]
- Bai, Q.; Lin, J.; Zhan, L.; Dean, T.; Balint, D.; Zhang, Z. An efficient closed-form method for determining interfacial heat transfer coefficient in metal forming. Int. J. Mach. Tools Manuf. 2012, 56, 102–110. [Google Scholar] [CrossRef]
- Lu, B.S.; Wang, L.G.; Huang, Y. Effect of deformation rate on interfacial heat transfer coefficient in the superalloy GH4169 hot forging process. Appl. Therm. Eng. 2016, 108, 516–524. [Google Scholar] [CrossRef]
- Du, S.G.; Lu, C.; Ren, J.X.; Yang, Z.C. Study on Surface Morphology and Microstructure of Titanium Alloy TC4 Under High-speed Milling. Acta Aeronaut. Astronaut. Sin. 2008, 30, 1710–1715. [Google Scholar]
Disclaimer/Publisher’s Note: The statements, opinions and data contained in all publications are solely those of the individual author(s) and contributor(s) and not of MDPI and/or the editor(s). MDPI and/or the editor(s) disclaim responsibility for any injury to people or property resulting from any ideas, methods, instructions or products referred to in the content. |
© 2023 by the authors. Licensee MDPI, Basel, Switzerland. This article is an open access article distributed under the terms and conditions of the Creative Commons Attribution (CC BY) license (https://creativecommons.org/licenses/by/4.0/).









