Aging Behaviour of a 12.2Cr-10Ni-1Mo-1Ti-0.6Al Precipitation-Hardening Stainless Steel Manufactured via Laser Powder Bed Fusion
Abstract
1. Introduction
2. Materials and Methods
3. Results
- i.
- Hardening at the lower aging temperatures (below 530 °C), at which point hardness monotonically increased with increasing aging duration;
- ii.
- Softening (above 530 °C), where hardness decreased with both increasing aging temperature and time.
4. Discussion
- One-step, low-temperature DA enables a great simplification of the heat treatment procedure and a resulting reduction in time, energy consumption, and cost due to the elimination of the high-temperature step of solution annealing and quenching.
- The aging and over-aging behaviour of the M789 steel is comparable between the AB and S conditions and thus is not substantially affected by the solution annealing. A similar maximum hardness (580–600 HV) can be achieved in peak-aging condition (490 °C, 6 h)
- Solution annealing results in a more homogeneous and isotropic martensite microstructure compared to the LPBF AB condition. Upon aging at low temperature (around peak-hardening), the homogeneous microstructure of S specimens leads to lower fraction of reverted austenite. At high temperature (over-aging), no difference seems to exist in terms of austenite reversion between the AB and S samples.
- Although no significant difference exists between the AB and S specimens in terms of aging response, peak hardness, and softening upon over-aging despite the significantly different microstructures, it is possible that a difference between the AB and S conditions exists in terms of mechanical behaviour involving (i) anisotropy, associated with the hierarchical and anisotropic structure of the AB condition absent in the S one, and (ii) dimensional stability under applied loads, related to the higher content of metastable retained austenite for AB specimens at peak aging [68]. Therefore, dedicated mechanical tests are required to investigate the suitability of the two conditions.
5. Conclusions
- In the as-built (AB) condition, the steel exhibited the typical hierarchical structure of LPBF-manufactured parts. The application of a solution-annealing treatment eliminated the LPBF AB structure, resulting in a homogeneous, isotropic, martensite microstructure.
- AB and solution-annealed (S) specimens exhibited the same aging and over-aging behaviour, despite the different microstructure.
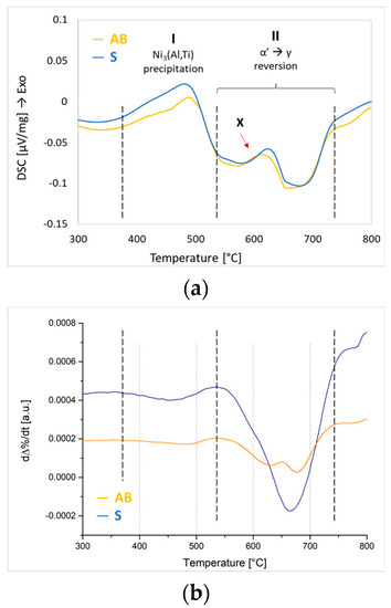
- Hardening during aging was associated with the precipitation of Ni-rich particles, whereas softening upon over-aging at higher temperature involved both precipitates coarsening and martensite-to-austenite reversion.
- The cellular solidification structure of LPBF AB samples promoted austenite reversion at low aging temperature (around peak hardening, 490 °C). On the other hand, no difference between AB and S samples was observed at high temperature, despite the retention of the cellular structure.
- Direct aging (DA) of the LPBF AB structure appears to be a promising procedure to reduce heat treatment cost and duration without impairing the maximum achievable hardness and over-aging behaviour. However, eventual differences in terms of mechanical properties, possibly related to the different microstructure and austenite content in peak-hardening conditions, must be evaluated in order to assess the suitability of one heat treatment procedure over another for the specific application.
Author Contributions
Funding
Data Availability Statement
Conflicts of Interest
References
- McGuire, M.F. Stainless Steels for Design Engineers; ASM International: Materials Park, OH, USA, 2008; ISBN 978-1-62708-286-0. [Google Scholar]
- Pollard, B. Selection of Wrought Precipitation-Hardening Stainless Steels. In Welding, Brazing, and Soldering; ASM International: Materials Park, OH, USA, 1993; pp. 482–494. [Google Scholar]
- Smallman, R.E.; Ngan, A.H.W. Precipitation Hardening. In Modern Physical Metallurgy; Elsevier: Amsterdam, The Netherlands, 2014; pp. 499–527. [Google Scholar]
- Li, L. Heat Treating of Precipitation-Hardenable Stainless Steels and Iron-Base Superalloys. In Heat Treating of Irons and Steels; ASM International: Materials Park, OH, USA, 2014; pp. 397–417. [Google Scholar]
- Prakash Kolli, R.; Seidman, D.N. Heat Treatment of Copper Precipitation-Strengthened Steels. In Heat Treating of Irons and Steels; ASM International: Materials Park, OH, USA, 2014; pp. 188–203. [Google Scholar]
- Carson, C. Heat Treating of Maraging Steels. In Heat Treating of Irons and Steels; ASM International: Materials Park, OH, USA, 2014; pp. 468–480. [Google Scholar]
- Kaufman, J.G. Introduction to Aluminium Alloys and Tempers; ASM International: Materials Park, OH, USA, 2000; ISBN 978-0-87170-689-8. [Google Scholar]
- DebRoy, T.; Wei, H.L.; Zuback, J.S.; Mukherjee, T.; Elmer, J.W.; Milewski, J.O.; Beese, A.M.; Wilson-Heid, A.; De, A.; Zhang, W. Additive Manufacturing of Metallic Components—Process, Structure and Properties. Prog. Mater. Sci. 2018, 92, 112–224. [Google Scholar] [CrossRef]
- Yap, C.Y.; Chua, C.K.; Dong, Z.L.; Liu, Z.H.; Zhang, D.Q.; Loh, L.E.; Sing, S.L. Review of Selective Laser Melting: Materials and Applications. Appl. Phys. Rev. 2015, 2, 041101. [Google Scholar] [CrossRef]
- Hebert, R.J. Viewpoint: Metallurgical Aspects of Powder Bed Metal Additive Manufacturing. J. Mater. Sci. 2016, 51, 1165–1175. [Google Scholar] [CrossRef]
- Herzog, D.; Seyda, V.; Wycisk, E.; Emmelmann, C. Additive Manufacturing of Metals. Acta Mater. 2016, 117, 371–392. [Google Scholar] [CrossRef]
- Nandwana, P. Additive Manufacturing of Tool Steels. In Additive Manufacturing Processes; ASM International: Materials Park, OH, USA, 2020; pp. 366–373. [Google Scholar]
- Vafadar, A.; Guzzomi, F.; Rassau, A.; Hayward, K. Advances in Metal Additive Manufacturing: A Review of Common Processes, Industrial Applications, and Current Challenges. Appl. Sci. 2021, 11, 1213. [Google Scholar] [CrossRef]
- Asgari, H.; Mohammadi, M. Microstructure and Mechanical Properties of Stainless Steel CX Manufactured by Direct Metal Laser Sintering. Mater. Sci. Eng. A 2018, 709, 82–89. [Google Scholar] [CrossRef]
- Turk, C.; Zunko, H.; Aumayr, C.; Leitner, H.; Kapp, M. Advances in Maraging Steels for Additive Manufacturing. BHM Berg- und Hüttenmännische Monatshefte 2019, 164, 112–116. [Google Scholar] [CrossRef]
- Zitelli, C.; Folgarait, P.; Di Schino, A. Laser Powder Bed Fusion of Stainless Steel Grades: A Review. Metals 2019, 9, 731. [Google Scholar] [CrossRef]
- Bajaj, P.; Hariharan, A.; Kini, A.; Kürnsteiner, P.; Raabe, D.; Jägle, E.A. Steels in Additive Manufacturing: A Review of Their Microstructure and Properties. Mater. Sci. Eng. A 2020, 772, 138633. [Google Scholar] [CrossRef]
- Zai, L.; Zhang, C.; Wang, Y.; Guo, W.; Wellmann, D.; Tong, X.; Tian, Y. Laser Powder Bed Fusion of Precipitation-Hardened Martensitic Stainless Steels: A Review. Metals 2020, 10, 255. [Google Scholar] [CrossRef]
- Hadadzadeh, A.; Shahriari, A.; Amirkhiz, B.S.; Li, J.; Mohammadi, M. Additive Manufacturing of an Fe–Cr–Ni–Al Maraging Stainless Steel: Microstructure Evolution, Heat Treatment, and Strengthening Mechanisms. Mater. Sci. Eng. A 2020, 787, 139470. [Google Scholar] [CrossRef]
- Shahriari, A.; Khaksar, L.; Nasiri, A.; Hadadzadeh, A.; Amirkhiz, B.S.; Mohammadi, M. Microstructure and Corrosion Behavior of a Novel Additively Manufactured Maraging Stainless Steel. Electrochim. Acta 2020, 339, 135925. [Google Scholar] [CrossRef]
- Li, K.; Zhan, J.; Yang, T.; To, A.C.; Tan, S.; Tang, Q.; Cao, H.; Murr, L.E. Homogenization Timing Effect on Microstructure and Precipitation Strengthening of 17–4PH Stainless Steel Fabricated by Laser Powder Bed Fusion. Addit. Manuf. 2022, 52, 102672. [Google Scholar] [CrossRef]
- Zhang, J.; Wang, M.; Niu, L.; Liu, J.; Wang, J.; Liu, Y.; Shi, Z. Effect of Process Parameters and Heat Treatment on the Properties of Stainless Steel CX Fabricated by Selective Laser Melting. J. Alloys Compd. 2021, 877, 160062. [Google Scholar] [CrossRef]
- Afkhami, S.; Javaheri, V.; Dabiri, E.; Piili, H.; Björk, T. Effects of Manufacturing Parameters, Heat Treatment, and Machining on the Physical and Mechanical Properties of 13Cr10Ni1·7Mo2Al0·4Mn0·4Si Steel Processed by Laser Powder Bed Fusion. Mater. Sci. Eng. A 2022, 832, 142402. [Google Scholar] [CrossRef]
- Chadha, K.; Tian, Y.; Jiang, L.; Dorin, T.; Spray, J.; Aranas, C. Strengthening Mechanisms in a New Precipitation Hardening Stainless Steel Fabricated by Laser Powder Bed Fusion. MRS Commun. 2022, 12, 365–369. [Google Scholar] [CrossRef]
- Palad, R.; Tian, Y.; Chadha, K.; Rodrigues, S.; Aranas, C. Microstructural Features of Novel Corrosion-Resistant Maraging Steel Manufactured by Laser Powder Bed Fusion. Mater. Lett. 2020, 275, 128026. [Google Scholar] [CrossRef]
- Tian, Y.; Palad, R.; Aranas, C. Microstructural Evolution and Mechanical Properties of a Newly Designed Steel Fabricated by Laser Powder Bed Fusion. Addit. Manuf. 2020, 36, 101495. [Google Scholar] [CrossRef]
- Tian, Y.; Palad, R.; Jiang, L.; Dorin, T.; Chadha, K.; Aranas, C. The Effect of Heat Treatments on Mechanical Properties of M789 Steel Fabricated by Laser Powder Bed Fusion. J. Alloys Compd. 2021, 885, 161033. [Google Scholar] [CrossRef]
- Brytan, Z.; Król, M.; Benedyk, M.; Pakieła, W.; Tański, T.; Dagnaw, M.J.; Snopiński, P.; Pagáč, M.; Czech, A. Microstructural and Mechanical Properties of Novel Co-Free Maraging Steel M789 Prepared by Additive Manufacturing. Materials 2022, 15, 1734. [Google Scholar] [CrossRef] [PubMed]
- Tian, Y.; Nyamuchiwa, K.; Chadha, K.; He, Y.; Aranas, C. Laser Powder Bed Fusion of M789 Maraging Steel on Cr–Mo N709 Steel: Microstructure, Texture, and Mechanical Properties. Mater. Sci. Eng. A 2022, 839, 142827. [Google Scholar] [CrossRef]
- Haghdadi, N.; Laleh, M.; Moyle, M.; Primig, S. Additive Manufacturing of Steels: A Review of Achievements and Challenges. J. Mater. Sci. 2021, 56, 64–107. [Google Scholar] [CrossRef]
- LeBrun, T.; Nakamoto, T.; Horikawa, K.; Kobayashi, H. Effect of Retained Austenite on Subsequent Thermal Processing and Resultant Mechanical Properties of Selective Laser Melted 17–4 PH Stainless Steel. Mater. Des. 2015, 81, 44–53. [Google Scholar] [CrossRef]
- Cheruvathur, S.; Lass, E.A.; Campbell, C.E. Additive Manufacturing of 17-4 PH Stainless Steel: Post-Processing Heat Treatment to Achieve Uniform Reproducible Microstructure. JOM 2016, 68, 930–942. [Google Scholar] [CrossRef]
- Mahmoudi, M.; Elwany, A.; Yadollahi, A.; Thompson, S.M.; Bian, L.; Shamsaei, N. Mechanical Properties and Microstructural Characterization of Selective Laser Melted 17-4 PH Stainless Steel. Rapid Prototyp. J. 2017, 23, 280–294. [Google Scholar] [CrossRef]
- Burns, D.E.; Kudzal, A.; McWilliams, B.; Manjarres, J.; Hedges, D.; Parker, P.A. Investigating Additively Manufactured 17-4 PH for Structural Applications. J. Mater. Eng. Perform. 2019, 28, 4943–4951. [Google Scholar] [CrossRef]
- Hsu, T.-H.; Chang, Y.-J.; Huang, C.-Y.; Yen, H.-W.; Chen, C.-P.; Jen, K.-K.; Yeh, A.-C. Microstructure and Property of a Selective Laser Melting Process Induced Oxide Dispersion Strengthened 17-4 PH Stainless Steel. J. Alloys Compd. 2019, 803, 30–41. [Google Scholar] [CrossRef]
- Oh, W.J.; Son, Y.; Cho, S.Y.; Yang, S.W.; Shin, G.Y.; Shim, D.S. Solution Annealing and Precipitation Hardening Effect on the Mechanical Properties of 630 Stainless Steel Fabricated via Laser Melting Deposition. Mater. Sci. Eng. A 2020, 794, 139999. [Google Scholar] [CrossRef]
- Lashgari, H.R.; Kong, C.; Adabifiroozjaei, E.; Li, S. Microstructure, Post Thermal Treatment Response, and Tribological Properties of 3D Printed 17-4 PH Stainless Steel. Wear 2020, 456–457, 203367. [Google Scholar] [CrossRef]
- Sarkar, S.; Mukherjee, S.; Kumar, C.S.; Kumar Nath, A. Effects of Heat Treatment on Microstructure, Mechanical and Corrosion Properties of 15-5 PH Stainless Steel Parts Built by Selective Laser Melting Process. J. Manuf. Process. 2020, 50, 279–294. [Google Scholar] [CrossRef]
- Kultz Unti, L.F.; Aota, L.S.; Jardini, A.L.; Tschiptschin, A.P.; Sandim, H.R.Z.; Jägle, E.A.; Zilnyk, K.D. Microstructural Characterization of 15-5PH Stainless Steel Processed by Laser Powder-Bed Fusion. Mater. Charact. 2021, 181, 111485. [Google Scholar] [CrossRef]
- Campbell, C.E.; Stoudt, M.R.; Zhang, F. Additive Manufacturing of Steels and Stainless Steels. In Additive Manufacturing Processes; ASM International: Materials Park, OH, USA, 2020; pp. 346–365. [Google Scholar]
- Dong, D.; Chang, C.; Wang, H.; Yan, X.; Ma, W.; Liu, M.; Deng, S.; Gardan, J.; Bolot, R.; Liao, H. Selective Laser Melting (SLM) of CX Stainless Steel: Theoretical Calculation, Process Optimization and Strengthening Mechanism. J. Mater. Sci. Technol. 2021, 73, 151–164. [Google Scholar] [CrossRef]
- Turnier Trottier, W.; Kreitcberg, A.; Brailovski, V. Structure and Mechanical Properties of Laser Powder Bed-Fused and Wrought PH13-8Mo-Type Precipitation Hardening Stainless Steels: Comparative Study. J. Manuf. Mater. Process. 2021, 5, 67. [Google Scholar] [CrossRef]
- Wei, S.; Kumar, P.; Lau, K.B.; Wuu, D.; Liew, L.-L.; Wei, F.; Teo, S.L.; Cheong, A.; Ng, C.K.; Zhang, B.; et al. Effect of Heat Treatment on the Microstructure and Mechanical Properties of 2.4 GPa Grade Maraging Steel Fabricated by Laser Powder Bed Fusion. Addit. Manuf. 2022, 59, 103190. [Google Scholar] [CrossRef]
- Böhler AMPO M789. Available online: https://www.bohler-edelstahl.com/en/products/m789-ampo/ (accessed on 5 April 2023).
- Dehgahi, S.; Ghoncheh, M.H.; Hadadzadeh, A.; Sanjari, M.; Amirkhiz, B.S.; Mohammadi, M. The Role of Titanium on the Microstructure and Mechanical Properties of Additively Manufactured C300 Maraging Steels. Mater. Des. 2020, 194, 108965. [Google Scholar] [CrossRef]
- Deirmina, F.; Davies, P.A.; Casati, R. Effects of Powder Atomization Route and Post-Processing Thermal Treatments on the Mechanical Properties and Fatigue Resistance of Additively Manufactured 18Ni300 Maraging Steel. Adv. Eng. Mater. 2022, 24, 2101011. [Google Scholar] [CrossRef]
- Gorsse, S.; Hutchinson, C.; Gouné, M.; Banerjee, R. Additive Manufacturing of Metals: A Brief Review of the Characteristic Microstructures and Properties of Steels, Ti-6Al-4V and High-Entropy Alloys. Sci. Technol. Adv. Mater. 2017, 18, 584–610. [Google Scholar] [CrossRef] [PubMed]
- Rowolt, C.; Milkereit, B.; Springer, A.; Kreyenschulte, C.; Kessler, O. Dissolution and Precipitation of Copper-Rich Phases during Heating and Cooling of Precipitation-Hardening Steel X5CrNiCuNb16-4 (17-4 PH). J. Mater. Sci. 2020, 55, 13244–13257. [Google Scholar] [CrossRef]
- Fang, R.; Deng, N.; Zhang, H.; Wang, G.; Su, Y.; Zhou, H.; Gao, K.; Gu, L. Effect of Selective Laser Melting Process Parameters on the Microstructure and Properties of a Precipitation Hardening Stainless Steel. Mater. Des. 2021, 212, 110265. [Google Scholar] [CrossRef]
- Kapoor, R.; Batra, I.S. On the A′ to γ Transformation in Maraging (Grade 350), PH 13-8 Mo and 17-4 PH Steels. Mater. Sci. Eng. A 2004, 371, 324–334. [Google Scholar] [CrossRef]
- Schnitzer, R.; Radis, R.; Nöhrer, M.; Schober, M.; Hochfellner, R.; Zinner, S.; Povoden-Karadeniz, E.; Kozeschnik, E.; Leitner, H. Reverted Austenite in PH 13-8 Mo Maraging Steels. Mater. Chem. Phys. 2010, 122, 138–145. [Google Scholar] [CrossRef]
- Höring, S.; Abou-Ras, D.; Wanderka, N.; Leitner, H.; Clemens, H.; Banhart, J. Characterization of Reverted Austenite during Prolonged Ageing of Maraging Steel CORRAX. Steel Res. Int. 2009, 80, 84–88. [Google Scholar] [CrossRef]
- Dossett, J.L.; Totten, G.E. (Eds.) Introduction to Steel Heat Treatment. In Steel Heat Treating Fundamentals and Processes; ASM International: Materials Park, OH, USA, 2013; pp. 3–25. [Google Scholar]
- Smallman, R.E.; Ngan, A.H.W. Steel Transformations. In Modern Physical Metallurgy; Elsevier: Amsterdam, The Netherlands, 2014; pp. 473–498. [Google Scholar]
- Peitsch, P.R.; Danón, C.A. Comparative Study of 9% Cr Martensitic-Ferritic Steels Using Differential Scanning Calorimetry. Procedia Mater. Sci. 2015, 9, 514–522. [Google Scholar] [CrossRef][Green Version]
- Park, J.; Jung, M.; Lee, Y.-K. Abnormal Expansion during the Ferro- to Para-Magnetic Transition in Pure Iron. J. Magn. Magn. Mater. 2015, 377, 193–196. [Google Scholar] [CrossRef]
- Riabov, D.; Frisk, K.; Thuvander, M.; Hryha, E.; Bengtsson, S. Design and Characterization of a Cobalt-Free Stainless Maraging Steel for Laser-Based Powder Bed Fusion. Mater. Des. 2022, 223, 111180. [Google Scholar] [CrossRef]
- Leitner, H.; Schnitzer, R.; Schober, M.; Zinner, S. Precipitate Modification in PH13-8 Mo Type Maraging Steel. Acta Mater. 2011, 59, 5012–5022. [Google Scholar] [CrossRef]
- Sha, W.; Cerezo, A.; Smith, G.D.W. Phase Chemistry and Precipitation Reactions in Maraging Steels: Part IV. Discussion and Conclusions. Metall. Trans. A 1993, 24, 1251–1256. [Google Scholar] [CrossRef]
- Guo, Z.; Sha, W.; Li, D. Quantification of Phase Transformation Kinetics of 18 Wt.% Ni C250 Maraging Steel. Mater. Sci. Eng. A 2004, 373, 10–20. [Google Scholar] [CrossRef]
- De Carvalho, L.G.; Plaut, R.L.; de Lima, N.B.; Padilha, A.F. Kinetics of Martensite Reversion to Austenite during Overaging in a Maraging 350 Steel. ISIJ Int. 2019, 59, 1119–1127. [Google Scholar] [CrossRef]
- Rohrbach, K.; Schmidt, M. Maraging Steels. In Properties and Selection: Irons, Steels, and High-Performance Alloys; ASM International: Materials Park, OH, USA, 1990; pp. 793–800. [Google Scholar]
- Kaufman, J.G. Parametric Analyses of High-Temperatures Data for Alluminium Alloys; ASM International: Materials Park, OH, USA, 2008; ISBN 9780871707154. [Google Scholar]
- Maruyama, K.; Abe, F.; Sato, H.; Shimojo, J.; Sekido, N.; Yoshimi, K. On the Physical Basis of a Larson-Miller Constant of 20. Int. J. Press. Vessel. Pip. 2018, 159, 93–100. [Google Scholar] [CrossRef]
- Mittemeijer, E.J. Analysis of the Kinetics of Phase Transformations. J. Mater. Sci. 1992, 27, 3977–3987. [Google Scholar] [CrossRef]
- Gale, W.F.; Totemeier, T.C. (Eds.) Diffusion in Metals. In Smithells Metals Reference Book; Elsevier: Amsterdam, The Netherlands, 2004; pp. 13-1–13-120. [Google Scholar]
- Moshka, O.; Pinkas, M.; Brosh, E.; Ezersky, V.; Meshi, L. Addressing the Issue of Precipitates in Maraging Steels—Unambiguous Answer. Mater. Sci. Eng. A 2015, 638, 232–239. [Google Scholar] [CrossRef]
- Schnitzer, R.; Zickler, G.A.; Lach, E.; Clemens, H.; Zinner, S.; Lippmann, T.; Leitner, H. Influence of Reverted Austenite on Static and Dynamic Mechanical Properties of a PH 13-8 Mo Maraging Steel. Mater. Sci. Eng. A 2010, 527, 2065–2070. [Google Scholar] [CrossRef]












| wt.% | C | Cr | Ni | Mo | Al | Ti | Fe |
|---|---|---|---|---|---|---|---|
| Feedstock powder (nominal) | <0.02 | 12.20 | 10.00 | 1.00 | 0.60 | 1.00 | Bal. |
| Feedstock powder (ICP-OES) | - | 12.5 ± 0.6 | 10.2 ± 0.8 | 1.1 ± 0.1 | 0.5 ± 0.1 | 1.2 ± 0.3 | Bal. |
| LPBF samples (GD-OES) | 0.01 ± 0.005 | 12.3 ± 0.2 | 9.8 ± 0.6 | 1.2 ± 0.1 | 0.8 ± 0.2 | 1.1 ± 0.1 | Bal. |
Disclaimer/Publisher’s Note: The statements, opinions and data contained in all publications are solely those of the individual author(s) and contributor(s) and not of MDPI and/or the editor(s). MDPI and/or the editor(s) disclaim responsibility for any injury to people or property resulting from any ideas, methods, instructions or products referred to in the content. |
© 2023 by the authors. Licensee MDPI, Basel, Switzerland. This article is an open access article distributed under the terms and conditions of the Creative Commons Attribution (CC BY) license (https://creativecommons.org/licenses/by/4.0/).
Share and Cite
Morri, A.; Zanni, M.; Ceschini, L.; Fortunato, A.; Pellizzari, M. Aging Behaviour of a 12.2Cr-10Ni-1Mo-1Ti-0.6Al Precipitation-Hardening Stainless Steel Manufactured via Laser Powder Bed Fusion. Metals 2023, 13, 1552. https://doi.org/10.3390/met13091552
Morri A, Zanni M, Ceschini L, Fortunato A, Pellizzari M. Aging Behaviour of a 12.2Cr-10Ni-1Mo-1Ti-0.6Al Precipitation-Hardening Stainless Steel Manufactured via Laser Powder Bed Fusion. Metals. 2023; 13(9):1552. https://doi.org/10.3390/met13091552
Chicago/Turabian StyleMorri, Alessandro, Mattia Zanni, Lorella Ceschini, Alessandro Fortunato, and Massimo Pellizzari. 2023. "Aging Behaviour of a 12.2Cr-10Ni-1Mo-1Ti-0.6Al Precipitation-Hardening Stainless Steel Manufactured via Laser Powder Bed Fusion" Metals 13, no. 9: 1552. https://doi.org/10.3390/met13091552
APA StyleMorri, A., Zanni, M., Ceschini, L., Fortunato, A., & Pellizzari, M. (2023). Aging Behaviour of a 12.2Cr-10Ni-1Mo-1Ti-0.6Al Precipitation-Hardening Stainless Steel Manufactured via Laser Powder Bed Fusion. Metals, 13(9), 1552. https://doi.org/10.3390/met13091552

