Optimization of Dry Turning of Inconel 601 Alloy Based on Surface Roughness, Tool Wear, and Material Removal Rate
Abstract
:1. Introduction
2. Materials and Methods
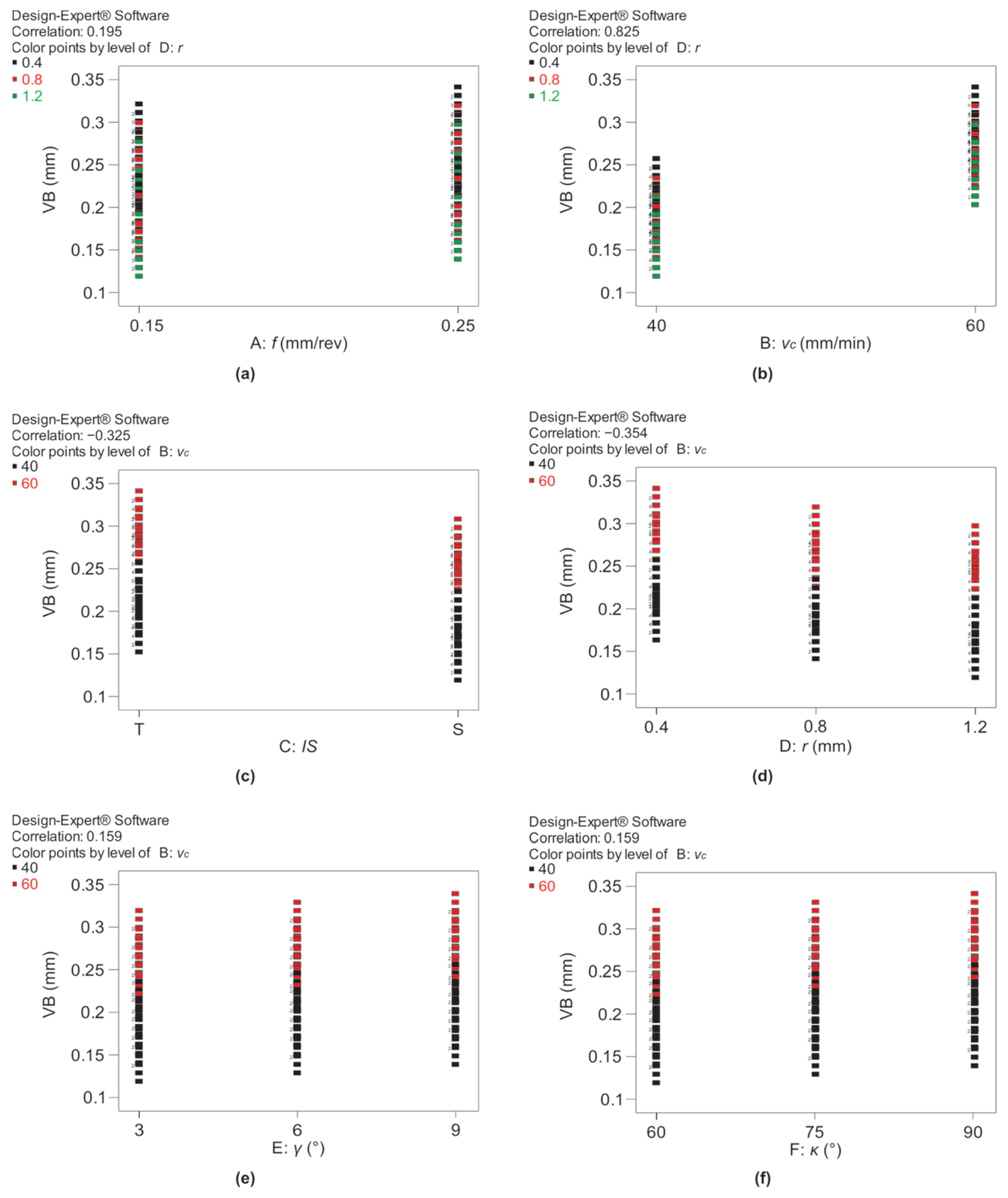
- Two levels for the cutting speed vc = 40/60 (mm/min);
- Two levels for the feed f = 0.15/0.25 (mm/rev);
- Two levels for the insert shape IS = triangular (T)/square (S);
- Three levels for the corner radius r = 0.4/0.8/1.2 (mm);
- Three levels for the rake angle γ = 3/6/9 (°);
- Three levels for the approach angle κ = 60/75/90 (°).
3. Results
3.1. Modeling
3.2. Optimization
- Feed, fopt (mm/rev); fmin ≤ fiopt ≤ fmax; 0.15 ≤ fiopt ≤ 0.25 ∀i∈[1,…,n]; continuous input parameter;
- Cutting speed, vcopt (mm/min); vcmin ≤ vciopt ≤ vcmax; 40 ≤ vciopt ≤ 60 ∀i∈[1,…,n]; continuous input parameter;
- Insert shape, ISopt; ISimin ≤ ISiopt ≤ ISimax; ISiopt = T ∨ S; categorical input parameter;
- Corner radius, riopt (mm); rimin ≤ riopt ≤ rimax; riopt = 0.4 ∨ 0.8 ∨ 1.2; categorical input parameter;
- Rake angle, γiopt (°); γimin ≤ γiopt ≤ γimax; γiopt = 3 ∨ 6 ∨ 9; categorical input parameter;
- Approach angle, κiopt (°); κimin ≤ κiopt ≤ κimax; κiopt = 60 ∨ 75 ∨ 90; categorical input parameter;
- Roughness Raopt (μm); Ramin ≤ Raiopt ≤ Ramax; 0.586 ≤ Raiopt ≤ 4.883 ∀i∈[1,…,n]; continuous output parameter;
- Wear VBopt (mm); VBmin ≤ VBiopt ≤ VBmax; 0.119 ≤ VBiopt ≤ 0.341 ∀i∈[1,…,n]; continuous output parameter;
- Material removal rate, MRRopt (mm3/min rev); MRRmin ≤ MRRiopt ≤ MRRmax; 9 ≤ MRRiopt ≤ 22.5 ∀i∈[1,…,n]; continuous output parameter.
- Four cases were considered in the multi-criteria optimization:
- The output parameters are given equal importance (wRa = 0.33, wVB = 0.33, wMRR = 0.33)—the Ra, VB, and MRR are equally important;
- The output parameters for Ra and VB are given equal importance, and MRR is neglected (wRa = 0.5, wVB = 0.5, wMRR = 0)—the case when the Ra and VB are significant, and MRR is not significant (small production series);
- The output parameters for Ra and MRR are given equal importance, and VB is neglected (wRa = 0.5, wVB = 0, wMRR = 0.5)—the case when the Ra and MRR are significant, and VB is not significant (larger production series and short terms);
- The output parameters of VB and MRR are given equal significance, and Ra is neglected (wRa = 0, wVB = 0.5, wMRR = 0.5)—the case when the VB and MRR are significant, and Ra is not significant (larger production series and short terms).
4. Discussion
5. Conclusions
Author Contributions
Funding
Data Availability Statement
Conflicts of Interest
References
- Dudzinski, D.; Devillez, A.; Moufki, A.; Larrouquere, D.; Zerrouki, V.; Vigneau, J. A review of developments towards dry and high speed machining of Inconel 718 alloy. Int. J. Mach. Tools Manuf. 2004, 44, 439–456. [Google Scholar] [CrossRef]
- Ezugwu, E.O.; Wang, Z.M.; Machado, A.R. The machinability of nickel-based alloys: A review. J. Mater. Process. Technol. 1999, 86, 1–16. [Google Scholar] [CrossRef]
- Danish, M.; Gupta, M.K.; Rubaiee, S.; Ahmed, A.; Sarıkaya, M.; Krolczyk, G.M. Environmental, technological and economical aspects of cryogenic assisted hard machining operation of inconel 718: A step towards green manufacturing. J. Clean. Prod. 2022, 337, 130483. [Google Scholar] [CrossRef]
- Li, L.; He, N.; Wang, M.; Wang, Z.G. High speed cutting of Inconel 718 with coated carbide and ceramic inserts. J. Mater. Process. Technol. 2002, 129, 127–130. [Google Scholar] [CrossRef]
- Devillez, A.; Schneider, F.; Dominiak, S.; Dudzinski, D.; Larrouquere, D. Cutting forces and wear in dry machining of Inconel 718 with coated carbide tools. Wear 2007, 262, 931–942. [Google Scholar] [CrossRef]
- Nalbant, M.; Altin, A.; Gokkay, A.H. The effect of cutting speed and cutting tool geometry on machinability properties of nickel-base Inconel 718 super alloys. Mater. Des. 2007, 28, 1334–1338. [Google Scholar] [CrossRef]
- Outeiro, J.C.; Pina, J.C.; M’Saoubi, R.; Pusavec, F.; Jawahir, I.S. Analysis of residual stresses induced by dry turning of difficult-to-machine materials. CIRP Ann. 2008, 57, 77–80. [Google Scholar] [CrossRef] [Green Version]
- Attia, H.; Tavakoli, S.; Vargas, R.; Thomson, V. Laser-assisted high-speed finish turning of superalloy Inconel 718 under dry conditions. CIRP Ann.-Manuf. Technol. 2010, 59, 83–88. [Google Scholar] [CrossRef]
- Akhyar Ibrahim, G.; Che Haron, C.H.; Abdul Ghani, J.; Said, A.Y.M.; Abu Yazid, M.Z. Performance of PVD-coated carbide tools when turning Inconel 718 in dry machining. Adv. Mech. Eng. 2011, 790975. [Google Scholar] [CrossRef]
- Umbrello, D. Investigation of surface integrity in dry machining of Inconel 718. Int. J. Adv. Manuf. Tech. 2013, 69, 2183–2190. [Google Scholar] [CrossRef]
- Ramanujam, R.; Venkatesan, K.; Saxena, V.; Joseph, P. Modeling and Optimization of Cutting Parameters in Dry Turning of Inconel 718 using Coated Carbide Inserts. Procedia Mater. Sci. 2014, 5, 2550–2559. [Google Scholar] [CrossRef] [Green Version]
- Ramanujam, R.; Venkatesan, K.; Saxena, V.; Pandey, R.; Harsha, T.; Kumar, G. Optimization of machining parameters using fuzzy based principal component analysis during dry turning operation of inconel 625—A hybrid approach. Procedia Eng. 2014, 97, 668–676. [Google Scholar] [CrossRef] [Green Version]
- Satyanarayana, B.; Yadav, G.S.G.; Nitin, P.R.; Reddy, M.D. Simultaneous Optimization of Multi Performance Characteristics in Dry Turning of Inconel 718 Using NSGA-II. Mater. Today 2015, 2, 2423–2432. [Google Scholar] [CrossRef]
- Thakur, A.; Gangopadhyay, S.; Mohanty, A. Investigation on some machinability aspects of inconel 825 during dry turning. Mater. Manuf. Process. 2015, 30, 1026–1034. [Google Scholar] [CrossRef]
- Thakur, A.; Gangopadhyay, S. Dry machining of nickel-based super alloy as a sustainable alternative using TiN/TiAlN coated tool. J. Clean. Prod. 2016, 129, 256–268. [Google Scholar] [CrossRef]
- Vetri Velmurgan, K.; Venkatesan, K. An investigation of the parametric effects of cutting parameters on quality characteristics during the dry turning of inconel 718 alloy. Indian J. Sci. Technol. 2016, 9, 103314. [Google Scholar] [CrossRef]
- Liu, J.; Ma, C.; Tu, G.; Long, Y. Cutting performance and wear mechanism of Sialon ceramic cutting inserts with TiCN coating. Surf. Coat. Technol. 2016, 307, 146–150. [Google Scholar] [CrossRef]
- Zeilmann, R.P.; Fontanive, F.; Soares, R.M. Wear mechanisms during dry and wet turning of Inconel 718 with ceramic tools. Int. J. Adv. Manuf. Technol. 2017, 92, 2705–2714. [Google Scholar] [CrossRef]
- Thakur, A.; Gangopadhyay, S. Evaluation of micro-features of chips of Inconel 825 during dry turning with uncoated and chemical vapour deposition multilayer coated tools. Proc. Inst. Mech. Eng. Part B J. Eng. Manufact. 2018, 232, 979–994. [Google Scholar] [CrossRef]
- Cantero, J.L.; Díaz-Álvarez, J.; Infante-García, D.; Rodríguez, M.; Criado, V. High Speed Finish Turning of Inconel 718 Using PCBN Tools under Dry Conditions. Metals 2018, 8, 192. [Google Scholar] [CrossRef] [Green Version]
- Hua, Y.; Liu, Z. Effects of cutting parameters and tool nose radius on surface roughness and work hardening during dry turning Inconel 718. Int. J. Adv. Manuf. Technol. 2018, 96, 2421–2430. [Google Scholar] [CrossRef]
- Qiu, X.; Cheng, X.; Dong, P.; Peng, H.; Xing, Y.; Zhou, X. Sensitivity Analysis of Johnson-Cook Material Constants and Friction Coefficient Influence on Finite Element Simulation of Turning Inconel 718. Materials 2019, 12, 3121. [Google Scholar] [CrossRef] [PubMed] [Green Version]
- Hemakumar, S.; Kuppan, P. Experimental investigations and optimisation of process parameters in dry finish turning of Inconel 625 super alloy. Int. J. Mater. Prod. Technol. 2019, 59, 303–320. [Google Scholar] [CrossRef]
- Shalaby, M.A.; Veldhuis, S.C. Tool wear and chip formation during dry high speed turning of direct aged Inconel 718 aerospace superalloy using different ceramic tools. Proc. Inst. Mech. Eng. Part J J. Eng. Tribol. 2019, 233, 1127–1136. [Google Scholar] [CrossRef]
- Qadria, S.I.A.; Harmain, G.A.; Wani, M.F. Influence of Tool Tip Temperature on Crater Wear of Ceramic Inserts During Turning Process of Inconel-718 at Varying Hardness. Tribol. Ind. 2020, 42, 310–326. [Google Scholar] [CrossRef]
- Zhao, J.; Liu, Z. Influences of coating thickness on cutting temperature for dry hard turning Inconel 718 with PVD TiAlN coated carbide tools in initial tool wear stage. J. Manuf. Process 2020, 56, 1155–1165. [Google Scholar] [CrossRef]
- Peng, H.; Dong, P.; Cheng, X.; Zhang, C.; Tang, W.; Xing, Y.; Zhou, X. Semi-Empirical Prediction of Residual Stress Distributions Introduced by Turning Inconel 718 Alloy Based on Lorentz Function. Materials 2020, 13, 4341. [Google Scholar] [CrossRef]
- Vukelic, D.; Simunovic, K.; Simunovic, G.; Saric, T.; Kanovic, Z.; Budak, I.; Agarski, B. Evaluation of an environment-friendly turning process of Inconel 601 in dry conditions. J. Clean. Prod. 2020, 266, 121919. [Google Scholar] [CrossRef]
- Ren, X.; Liu, Z.; Liang, X.; Cui, P. Effects of Machined Surface Integrity on High-Temperature Low-Cycle Fatigue Life and Process Parameters Optimization of Turning Superalloy Inconel 718. Materials 2021, 14, 2428. [Google Scholar] [CrossRef]
- Veerappan, G.; Pritima, D.; Parthsarathy, N.R.; Ramesh, B.; Jayasathyakawin, S. Experimental investigation on machining behavior in dry turning of nickel based super alloy-Inconel 600 and analysis of surface integrity and tool wear in dry machining. Mater. Today 2022, 59, 1566–1570. [Google Scholar] [CrossRef]
- Yashwant Bhise, V.; Jogi, B.F. Effect of cutting speed and feed on surface roughness in dry turning of Inconel X-750. Mater. Today 2022, 61, 587–592. [Google Scholar] [CrossRef]
- Zhao, J.; Liu, Z.; Wang, B.; Qinhuq, S.; Xiaoping, R.; Wan, Y. Effects of Al content in TiAlN coatings on tool wear and cutting temperature during dry machining IN718. Tribol. Int. 2022, 171, 107540. [Google Scholar] [CrossRef]
- Xue, C.; Wang, D.; Zhang, J. Wear Mechanisms and Notch Formation of Whisker-Reinforced Alumina and Sialon Ceramic Tools during High-Speed Turning of Inconel 718. Materials 2022, 15, 3860. [Google Scholar] [CrossRef]
- Szablewski, P.; Legutko, S.; Mróz, A.; Garbiec, D.; Czajka, R.; Smak, K.; Krawczyk, B. Surface Topography Description after Turning Inconel 718 with a Conventional, Wiper and Special Insert Made by the SPS Technique. Materials 2023, 16, 949. [Google Scholar] [CrossRef] [PubMed]
- Grigoriev, S.; Vereschaka, A.; Uglov, V.; Milovich, F.; Cherenda, N.; Andreev, N.; Migranov, M.; Seleznev, A. Influence of tribological properties of Zr-ZrN-(Zr,Cr,Al)N and Zr-ZrN-(Zr,Mo,Al)N multilayer nanostructured coatings on the cutting properties of coated tools during dry turning of Inconel 718 alloy. Wear 2023, 512–513, 204521. [Google Scholar] [CrossRef]
- Dhananchezian, M. Surface roughness and insert wear in turning Ti-6Al-4 V and Inconel 600 alloys with tungsten carbide inserts under dry conditions. Mater. Today 2023, 72, 2118–2124. [Google Scholar] [CrossRef]
- Panchal, F.S.; Panchal, M. Review of selecting Number of Hidden Nodes in Artificial Neural Networks. Int. J. Comput. Sci. Mob. Computing 2014, 3, 455–464. [Google Scholar]
- Masters, T. Practical Neural Network Recipies in C++; Academica Press: San Diego, CA, USA, 1993. [Google Scholar]
- Marquardt, W.D. An Algorithm for Least-Squares Estimation of Nonlinear Parameters. SIAM J. Appl. Math. 1963, 11, 431–441. [Google Scholar] [CrossRef]
- Zhao, J.; Liu, Z.; Wang, B.; Hu, J.; Wan, Y. Tool coating effects on cutting temperature during metal cutting processes: Comprehensive review and future research directions. Mech. Syst. Signal Process. 2021, 150, 107302. [Google Scholar] [CrossRef]










| Characteristic | Cutting Insert | |
|---|---|---|
| Insert shape | Square | Triangular |
| Cutting edge count | 4 | 3 |
| Inscribed circle diameter (mm) | 12.7 | 9.525 |
| Fixing hole diameter (mm) | 5.5 | 4.4 |
| Corner radius (mm) | 0.4; 0.8; 1.2 | 0.4; 0.8; 1.2 |
| Clearance angle major (°) | 7 | 7 |
| Cutting edge effective length (mm) | 11.9 | 16.098 |
| Insert thickness (mm) | 4.762 | 3.969 |
| Coating deposition technique | PVD | PVD |
| Coating type | TiAlN+TiAlN (55% Ti, 40%Al, 5% N) | TiAlN+TiAlN (55% Ti, 40% Al, 5% N) |
| Coating thickness (μm) | 3 | 3 |
| Substrate | HC | HC |
| Run | f (mm/rev) | vc (mm/min) | IS | r (mm) | γ (°) | κ (°) | MRR (mm3/min) | Measured | Predicted | Percentage Error | |||
|---|---|---|---|---|---|---|---|---|---|---|---|---|---|
| Ra (µm) | VB (mm) | Ra (µm) | VB (mm) | PERa (%) | PEVB (%) | ||||||||
| 1 | 0.15 | 60 | T | 1.2 | 3 | 90 | 13.5 | 1.230 | 0.257 | 1.231 | 0.257 | 0.051 | 0.077 |
| 2 | 0.25 | 40 | T | 0.4 | 9 | 75 | 15 | 4.646 | 0.247 | 4.647 | 0.247 | 0.012 | 0.153 |
| 3 | 0.25 | 60 | T | 0.8 | 3 | 60 | 22.5 | 3.680 | 0.279 | 3.680 | 0.279 | 0.006 | 0.030 |
| 4 | 0.25 | 60 | T | 1.2 | 6 | 75 | 22.5 | 2.541 | 0.277 | 2.541 | 0.277 | 0.001 | 0.087 |
| 5 | 0.15 | 40 | T | 0.8 | 6 | 60 | 9 | 1.832 | 0.184 | 1.832 | 0.184 | 0.005 | 0.172 |
| 6 | 0.15 | 40 | S | 1.2 | 6 | 90 | 9 | 0.930 | 0.149 | 0.930 | 0.149 | 0.041 | 0.209 |
| 7 | 0.15 | 40 | T | 0.8 | 9 | 90 | 9 | 2.133 | 0.214 | 2.133 | 0.214 | 0.014 | 0.170 |
| 8 | 0.15 | 40 | T | 0.8 | 3 | 60 | 9 | 2.176 | 0.175 | 2.176 | 0.174 | 0.019 | 0.351 |
| 9 | 0.25 | 60 | S | 0.8 | 3 | 60 | 22.5 | 3.508 | 0.246 | 3.508 | 0.246 | 0.002 | 0.119 |
| 10 | 0.25 | 40 | S | 0.8 | 9 | 90 | 15 | 3.680 | 0.201 | 3.680 | 0.201 | 0.009 | 0.002 |
| 11 | 0.15 | 40 | S | 1.2 | 3 | 60 | 9 | 1.145 | 0.119 | 1.145 | 0.119 | 0.001 | 0.138 |
| 12 | 0.15 | 60 | T | 0.4 | 9 | 75 | 13.5 | 2.713 | 0.311 | 2.713 | 0.311 | 0.004 | 0.098 |
| 13 | 0.25 | 60 | T | 0.8 | 3 | 90 | 22.5 | 3.809 | 0.299 | 3.809 | 0.299 | 0.007 | 0.019 |
| 14 | 0.25 | 60 | S | 1.2 | 6 | 75 | 22.5 | 2.369 | 0.243 | 2.369 | 0.243 | 0.005 | 0.158 |
| 15 | 0.15 | 40 | S | 1.2 | 6 | 75 | 9 | 0.865 | 0.139 | 0.865 | 0.139 | 0.034 | 0.206 |
| 16 | 0.15 | 40 | T | 0.4 | 6 | 90 | 9 | 2.820 | 0.227 | 2.820 | 0.227 | 0.005 | 0.204 |
| 17 | 0.25 | 40 | S | 0.4 | 6 | 90 | 15 | 4.367 | 0.213 | 4.367 | 0.213 | 0.000 | 0.084 |
| 18 | 0.25 | 40 | S | 0.4 | 3 | 75 | 15 | 4.646 | 0.193 | 4.646 | 0.193 | 0.010 | 0.135 |
| 19 | 0.25 | 40 | T | 1.2 | 6 | 75 | 15 | 2.756 | 0.192 | 2.756 | 0.192 | 0.008 | 0.030 |
| 20 | 0.25 | 60 | S | 0.4 | 9 | 60 | 22.5 | 4.195 | 0.288 | 4.195 | 0.288 | 0.007 | 0.014 |
| 21 | 0.15 | 60 | T | 1.2 | 9 | 75 | 13.5 | 0.994 | 0.267 | 0.994 | 0.267 | 0.027 | 0.066 |
| 22 | 0.25 | 60 | S | 0.4 | 9 | 75 | 22.5 | 4.260 | 0.298 | 4.260 | 0.298 | 0.007 | 0.017 |
| 23 | 0.25 | 40 | T | 0.4 | 6 | 75 | 15 | 4.475 | 0.237 | 4.475 | 0.237 | 0.008 | 0.189 |
| 24 | 0.25 | 60 | T | 0.4 | 9 | 90 | 22.5 | 4.496 | 0.341 | 4.496 | 0.341 | 0.006 | 0.081 |
| 25 | 0.25 | 60 | T | 1.2 | 9 | 90 | 22.5 | 2.777 | 0.297 | 2.777 | 0.297 | 0.011 | 0.060 |
| 26 | 0.15 | 60 | T | 0.4 | 3 | 75 | 13.5 | 2.885 | 0.291 | 2.885 | 0.291 | 0.006 | 0.104 |
| 27 | 0.25 | 60 | T | 0.8 | 6 | 90 | 22.5 | 3.465 | 0.309 | 3.465 | 0.309 | 0.004 | 0.004 |
| 28 | 0.15 | 40 | S | 1.2 | 9 | 90 | 9 | 1.102 | 0.159 | 1.101 | 0.159 | 0.048 | 0.153 |
| 29 | 0.15 | 60 | S | 0.8 | 9 | 90 | 13.5 | 1.746 | 0.266 | 1.746 | 0.266 | 0.000 | 0.121 |
| 30 | 0.25 | 40 | S | 0.8 | 9 | 60 | 15 | 3.551 | 0.181 | 3.551 | 0.181 | 0.004 | 0.018 |
| 31 | 0.15 | 40 | S | 1.2 | 3 | 75 | 9 | 1.209 | 0.129 | 1.209 | 0.129 | 0.021 | 0.156 |
| 32 | 0.15 | 60 | S | 0.4 | 3 | 75 | 13.5 | 2.713 | 0.258 | 2.713 | 0.258 | 0.001 | 0.029 |
| 33 | 0.25 | 60 | S | 0.8 | 9 | 90 | 22.5 | 3.465 | 0.286 | 3.465 | 0.286 | 0.002 | 0.107 |
| 34 | 0.25 | 40 | S | 1.2 | 9 | 75 | 15 | 2.756 | 0.169 | 2.756 | 0.169 | 0.006 | 0.135 |
| 35 | 0.25 | 60 | S | 1.2 | 6 | 60 | 22.5 | 2.305 | 0.233 | 2.305 | 0.233 | 0.009 | 0.173 |
| 36 | 0.25 | 40 | S | 0.4 | 3 | 90 | 15 | 4.711 | 0.203 | 4.711 | 0.203 | 0.001 | 0.121 |
| 37 | 0.25 | 60 | S | 0.8 | 6 | 90 | 22.5 | 3.293 | 0.276 | 3.293 | 0.276 | 0.000 | 0.139 |
| 38 | 0.25 | 60 | T | 0.8 | 6 | 75 | 22.5 | 3.400 | 0.299 | 3.400 | 0.299 | 0.015 | 0.001 |
| 39 | 0.15 | 60 | S | 0.4 | 3 | 90 | 13.5 | 2.777 | 0.268 | 2.777 | 0.268 | 0.016 | 0.033 |
| 40 | 0.25 | 40 | T | 1.2 | 3 | 75 | 15 | 3.100 | 0.182 | 3.099 | 0.182 | 0.017 | 0.069 |
| 41 | 0.25 | 40 | T | 0.8 | 9 | 75 | 15 | 3.787 | 0.224 | 3.787 | 0.224 | 0.007 | 0.170 |
| 42 | 0.15 | 40 | T | 0.8 | 6 | 75 | 9 | 1.896 | 0.194 | 1.896 | 0.194 | 0.018 | 0.156 |
| 43 | 0.15 | 40 | S | 0.4 | 6 | 60 | 9 | 2.520 | 0.173 | 2.519 | 0.173 | 0.024 | 0.118 |
| 44 | 0.25 | 40 | T | 1.2 | 9 | 60 | 15 | 2.863 | 0.192 | 2.863 | 0.192 | 0.012 | 0.075 |
| 45 | 0.25 | 40 | T | 0.8 | 6 | 60 | 15 | 3.551 | 0.204 | 3.551 | 0.204 | 0.003 | 0.157 |
| 46 | 0.25 | 60 | T | 1.2 | 3 | 90 | 22.5 | 2.949 | 0.277 | 2.949 | 0.277 | 0.005 | 0.068 |
| 47 | 0.25 | 60 | S | 0.8 | 6 | 75 | 22.5 | 3.229 | 0.266 | 3.229 | 0.266 | 0.013 | 0.140 |
| 48 | 0.25 | 60 | S | 0.8 | 9 | 75 | 22.5 | 3.400 | 0.276 | 3.401 | 0.276 | 0.015 | 0.107 |
| 49 | 0.15 | 40 | T | 0.8 | 3 | 75 | 9 | 2.240 | 0.184 | 2.240 | 0.184 | 0.004 | 0.202 |
| 50 | 0.15 | 60 | S | 1.2 | 9 | 90 | 13.5 | 0.887 | 0.243 | 0.887 | 0.243 | 0.037 | 0.179 |
| 51 | 0.15 | 40 | T | 1.2 | 6 | 90 | 9 | 1.102 | 0.182 | 1.102 | 0.182 | 0.030 | 0.024 |
| 52 | 0.15 | 60 | S | 1.2 | 9 | 60 | 13.5 | 0.758 | 0.223 | 0.758 | 0.223 | 0.011 | 0.209 |
| 53 | 0.25 | 40 | S | 0.4 | 6 | 75 | 15 | 4.303 | 0.203 | 4.303 | 0.203 | 0.010 | 0.094 |
| 54 | 0.25 | 40 | T | 1.2 | 3 | 60 | 15 | 3.035 | 0.172 | 3.035 | 0.172 | 0.001 | 0.082 |
| 55 | 0.15 | 60 | T | 0.4 | 3 | 90 | 13.5 | 2.949 | 0.301 | 2.949 | 0.301 | 0.009 | 0.095 |
| 56 | 0.15 | 60 | T | 0.4 | 9 | 60 | 13.5 | 2.648 | 0.301 | 2.649 | 0.301 | 0.022 | 0.107 |
| 57 | 0.25 | 60 | T | 0.4 | 6 | 90 | 22.5 | 4.324 | 0.331 | 4.324 | 0.331 | 0.000 | 0.065 |
| 58 | 0.15 | 60 | T | 0.4 | 6 | 75 | 13.5 | 2.541 | 0.301 | 2.541 | 0.301 | 0.001 | 0.077 |
| 59 | 0.25 | 60 | S | 0.4 | 6 | 60 | 22.5 | 4.023 | 0.278 | 4.023 | 0.278 | 0.010 | 0.042 |
| 60 | 0.25 | 40 | T | 0.4 | 6 | 90 | 15 | 4.539 | 0.247 | 4.539 | 0.247 | 0.000 | 0.189 |
| 61 | 0.25 | 60 | T | 0.4 | 9 | 75 | 22.5 | 4.432 | 0.331 | 4.432 | 0.331 | 0.011 | 0.092 |
| 62 | 0.15 | 60 | T | 0.8 | 3 | 75 | 13.5 | 2.025 | 0.269 | 2.025 | 0.269 | 0.016 | 0.021 |
| 63 | 0.15 | 40 | T | 0.8 | 6 | 90 | 9 | 1.961 | 0.204 | 1.961 | 0.204 | 0.012 | 0.142 |
| 64 | 0.15 | 40 | S | 0.8 | 3 | 60 | 9 | 2.004 | 0.141 | 2.004 | 0.141 | 0.008 | 0.033 |
| 65 | 0.15 | 40 | T | 0.4 | 9 | 75 | 9 | 2.928 | 0.227 | 2.928 | 0.227 | 0.010 | 0.166 |
| 66 | 0.25 | 60 | S | 1.2 | 9 | 75 | 22.5 | 2.541 | 0.253 | 2.541 | 0.253 | 0.002 | 0.182 |
| 67 | 0.15 | 40 | T | 0.8 | 3 | 90 | 9 | 2.305 | 0.194 | 2.305 | 0.194 | 0.017 | 0.185 |
| 68 | 0.15 | 40 | S | 0.8 | 6 | 60 | 9 | 1.660 | 0.151 | 1.660 | 0.151 | 0.001 | 0.022 |
| 69 | 0.25 | 40 | T | 0.8 | 6 | 75 | 15 | 3.615 | 0.214 | 3.615 | 0.214 | 0.009 | 0.144 |
| 70 | 0.25 | 60 | T | 0.4 | 3 | 75 | 22.5 | 4.604 | 0.311 | 4.604 | 0.311 | 0.008 | 0.100 |
| 71 | 0.25 | 40 | S | 0.8 | 9 | 75 | 15 | 3.615 | 0.191 | 3.615 | 0.191 | 0.007 | 0.009 |
| 72 | 0.25 | 40 | S | 0.4 | 9 | 60 | 15 | 4.410 | 0.203 | 4.410 | 0.203 | 0.002 | 0.137 |
| 73 | 0.25 | 40 | S | 0.4 | 6 | 60 | 15 | 4.238 | 0.193 | 4.238 | 0.193 | 0.003 | 0.106 |
| 74 | 0.15 | 60 | T | 1.2 | 9 | 90 | 13.5 | 1.059 | 0.277 | 1.059 | 0.277 | 0.029 | 0.068 |
| 75 | 0.25 | 40 | T | 0.8 | 3 | 60 | 15 | 3.895 | 0.194 | 3.895 | 0.194 | 0.011 | 0.200 |
| 76 | 0.25 | 40 | S | 0.8 | 6 | 60 | 15 | 3.379 | 0.171 | 3.379 | 0.171 | 0.002 | 0.022 |
| 77 | 0.15 | 40 | S | 0.8 | 3 | 75 | 9 | 2.068 | 0.151 | 2.068 | 0.151 | 0.010 | 0.013 |
| 78 | 0.15 | 40 | T | 0.4 | 6 | 75 | 9 | 2.756 | 0.217 | 2.756 | 0.217 | 0.009 | 0.206 |
| 79 | 0.25 | 60 | T | 1.2 | 9 | 75 | 22.5 | 2.713 | 0.287 | 2.713 | 0.287 | 0.003 | 0.057 |
| 80 | 0.15 | 40 | S | 0.4 | 3 | 75 | 9 | 2.928 | 0.173 | 2.928 | 0.173 | 0.014 | 0.150 |
| 81 | 0.15 | 40 | T | 0.4 | 6 | 60 | 9 | 2.691 | 0.207 | 2.691 | 0.207 | 0.013 | 0.209 |
| 82 | 0.15 | 60 | T | 1.2 | 3 | 75 | 13.5 | 1.166 | 0.247 | 1.166 | 0.247 | 0.009 | 0.076 |
| 83 | 0.25 | 40 | S | 0.4 | 3 | 60 | 15 | 4.582 | 0.183 | 4.582 | 0.183 | 0.001 | 0.150 |
| 84 | 0.25 | 40 | T | 0.4 | 3 | 60 | 15 | 4.754 | 0.217 | 4.754 | 0.217 | 0.000 | 0.167 |
| 85 | 0.15 | 60 | S | 0.8 | 3 | 75 | 13.5 | 1.854 | 0.236 | 1.853 | 0.236 | 0.030 | 0.135 |
| 86 | 0.25 | 60 | T | 1.2 | 6 | 60 | 22.5 | 2.477 | 0.267 | 2.477 | 0.267 | 0.017 | 0.086 |
| 87 | 0.15 | 60 | S | 0.4 | 9 | 60 | 13.5 | 2.477 | 0.268 | 2.477 | 0.268 | 0.010 | 0.019 |
| 88 | 0.15 | 60 | S | 0.8 | 6 | 90 | 13.5 | 1.574 | 0.256 | 1.574 | 0.256 | 0.003 | 0.156 |
| 89 | 0.15 | 40 | T | 0.4 | 9 | 60 | 9 | 2.863 | 0.217 | 2.863 | 0.217 | 0.012 | 0.166 |
| 90 | 0.25 | 40 | T | 0.4 | 3 | 90 | 15 | 4.883 | 0.237 | 4.883 | 0.237 | 0.000 | 0.166 |
| 91 | 0.15 | 60 | S | 1.2 | 3 | 90 | 13.5 | 1.059 | 0.223 | 1.059 | 0.223 | 0.031 | 0.193 |
| 92 | 0.25 | 40 | T | 1.2 | 3 | 90 | 15 | 3.164 | 0.192 | 3.164 | 0.192 | 0.001 | 0.058 |
| 93 | 0.15 | 40 | S | 1.2 | 6 | 60 | 9 | 0.801 | 0.129 | 0.801 | 0.129 | 0.006 | 0.198 |
| 94 | 0.15 | 40 | T | 1.2 | 3 | 75 | 9 | 1.381 | 0.162 | 1.381 | 0.162 | 0.001 | 0.078 |
| 95 | 0.25 | 40 | T | 1.2 | 6 | 60 | 15 | 2.691 | 0.182 | 2.691 | 0.182 | 0.014 | 0.039 |
| 96 | 0.25 | 40 | T | 0.8 | 6 | 90 | 15 | 3.680 | 0.224 | 3.680 | 0.224 | 0.008 | 0.131 |
| 97 | 0.15 | 60 | T | 0.8 | 9 | 90 | 13.5 | 1.918 | 0.299 | 1.918 | 0.299 | 0.007 | 0.017 |
| 98 | 0.25 | 60 | T | 1.2 | 6 | 90 | 22.5 | 2.605 | 0.287 | 2.605 | 0.287 | 0.014 | 0.088 |
| 99 | 0.25 | 40 | S | 0.8 | 3 | 60 | 15 | 3.723 | 0.161 | 3.723 | 0.161 | 0.007 | 0.024 |
| 100 | 0.15 | 60 | S | 1.2 | 6 | 90 | 13.5 | 0.715 | 0.233 | 0.715 | 0.233 | 0.030 | 0.154 |
| 101 | 0.15 | 60 | T | 0.8 | 6 | 60 | 13.5 | 1.617 | 0.269 | 1.617 | 0.269 | 0.011 | 0.001 |
| 102 | 0.25 | 60 | S | 1.2 | 3 | 75 | 22.5 | 2.713 | 0.233 | 2.713 | 0.233 | 0.004 | 0.195 |
| 103 | 0.15 | 40 | T | 0.8 | 9 | 75 | 9 | 2.068 | 0.204 | 2.068 | 0.204 | 0.014 | 0.185 |
| 104 | 0.15 | 40 | S | 0.8 | 6 | 90 | 9 | 1.789 | 0.171 | 1.789 | 0.171 | 0.016 | 0.043 |
| 105 | 0.25 | 60 | T | 0.8 | 9 | 60 | 22.5 | 3.508 | 0.299 | 3.508 | 0.299 | 0.001 | 0.031 |
| 106 | 0.25 | 40 | T | 0.4 | 9 | 90 | 15 | 4.711 | 0.257 | 4.711 | 0.257 | 0.003 | 0.156 |
| 107 | 0.15 | 60 | T | 1.2 | 9 | 60 | 13.5 | 0.930 | 0.257 | 0.930 | 0.257 | 0.018 | 0.064 |
| 108 | 0.15 | 40 | T | 1.2 | 9 | 60 | 9 | 1.145 | 0.172 | 1.145 | 0.172 | 0.027 | 0.084 |
| 109 | 0.15 | 40 | T | 0.4 | 9 | 90 | 9 | 2.992 | 0.237 | 2.992 | 0.237 | 0.002 | 0.167 |
| 110 | 0.15 | 40 | T | 1.2 | 6 | 60 | 9 | 0.973 | 0.162 | 0.973 | 0.162 | 0.021 | 0.045 |
| 111 | 0.25 | 40 | T | 0.4 | 6 | 60 | 15 | 4.410 | 0.227 | 4.410 | 0.227 | 0.006 | 0.190 |
| 112 | 0.15 | 40 | T | 1.2 | 6 | 75 | 9 | 1.037 | 0.172 | 1.037 | 0.172 | 0.022 | 0.033 |
| 113 | 0.25 | 40 | T | 0.8 | 3 | 75 | 15 | 3.959 | 0.204 | 3.959 | 0.204 | 0.002 | 0.184 |
| 114 | 0.25 | 40 | S | 1.2 | 6 | 60 | 15 | 2.520 | 0.149 | 2.520 | 0.149 | 0.014 | 0.181 |
| 115 | 0.25 | 60 | S | 0.4 | 3 | 75 | 22.5 | 4.432 | 0.278 | 4.432 | 0.278 | 0.007 | 0.023 |
| 116 | 0.25 | 60 | S | 0.4 | 6 | 90 | 22.5 | 4.152 | 0.298 | 4.152 | 0.298 | 0.006 | 0.047 |
| 117 | 0.25 | 60 | S | 0.8 | 9 | 60 | 22.5 | 3.336 | 0.266 | 3.336 | 0.266 | 0.003 | 0.107 |
| 118 | 0.25 | 40 | S | 0.4 | 9 | 90 | 15 | 4.539 | 0.223 | 4.539 | 0.223 | 0.001 | 0.113 |
| 119 | 0.15 | 40 | S | 0.4 | 9 | 60 | 9 | 2.691 | 0.183 | 2.691 | 0.183 | 0.013 | 0.151 |
| 120 | 0.15 | 60 | S | 1.2 | 3 | 75 | 13.5 | 0.994 | 0.213 | 0.994 | 0.213 | 0.027 | 0.212 |
| 121 | 0.15 | 60 | T | 0.4 | 6 | 90 | 13.5 | 2.605 | 0.311 | 2.605 | 0.311 | 0.013 | 0.069 |
| 122 | 0.25 | 40 | T | 1.2 | 9 | 90 | 15 | 2.992 | 0.212 | 2.992 | 0.212 | 0.005 | 0.056 |
| 123 | 0.15 | 60 | S | 0.8 | 9 | 75 | 13.5 | 1.682 | 0.256 | 1.682 | 0.256 | 0.024 | 0.121 |
| 124 | 0.25 | 40 | T | 1.2 | 9 | 75 | 15 | 2.928 | 0.202 | 2.928 | 0.202 | 0.008 | 0.065 |
| 125 | 0.15 | 60 | S | 0.4 | 6 | 75 | 13.5 | 2.369 | 0.268 | 2.369 | 0.268 | 0.008 | 0.052 |
| 126 | 0.25 | 60 | T | 0.8 | 6 | 60 | 22.5 | 3.336 | 0.289 | 3.336 | 0.289 | 0.003 | 0.006 |
| 127 | 0.25 | 40 | S | 1.2 | 6 | 90 | 15 | 2.648 | 0.169 | 2.648 | 0.169 | 0.009 | 0.187 |
| 128 | 0.25 | 60 | T | 0.4 | 3 | 90 | 22.5 | 4.668 | 0.321 | 4.668 | 0.321 | 0.001 | 0.091 |
| 129 | 0.25 | 60 | S | 1.2 | 6 | 90 | 22.5 | 2.434 | 0.253 | 2.433 | 0.253 | 0.021 | 0.146 |
| 130 | 0.15 | 40 | S | 1.2 | 9 | 60 | 9 | 0.973 | 0.139 | 0.973 | 0.139 | 0.020 | 0.142 |
| 131 | 0.15 | 40 | S | 0.4 | 6 | 90 | 9 | 2.648 | 0.193 | 2.648 | 0.193 | 0.007 | 0.091 |
| 132 | 0.25 | 40 | S | 1.2 | 3 | 90 | 15 | 2.992 | 0.159 | 2.992 | 0.159 | 0.005 | 0.152 |
| 133 | 0.25 | 40 | T | 0.4 | 3 | 75 | 15 | 4.818 | 0.227 | 4.818 | 0.227 | 0.010 | 0.166 |
| 134 | 0.15 | 40 | T | 0.4 | 3 | 60 | 9 | 3.035 | 0.197 | 3.035 | 0.197 | 0.002 | 0.186 |
| 135 | 0.15 | 40 | T | 1.2 | 9 | 75 | 9 | 1.209 | 0.182 | 1.209 | 0.182 | 0.011 | 0.071 |
| 136 | 0.25 | 40 | S | 0.8 | 3 | 75 | 15 | 3.787 | 0.171 | 3.787 | 0.171 | 0.004 | 0.010 |
| 137 | 0.25 | 60 | T | 0.4 | 6 | 75 | 22.5 | 4.260 | 0.321 | 4.260 | 0.321 | 0.007 | 0.075 |
| 138 | 0.25 | 40 | T | 0.8 | 9 | 90 | 15 | 3.852 | 0.234 | 3.852 | 0.234 | 0.009 | 0.155 |
| 139 | 0.15 | 60 | T | 1.2 | 6 | 75 | 13.5 | 0.822 | 0.257 | 0.822 | 0.257 | 0.044 | 0.098 |
| 140 | 0.15 | 40 | S | 0.4 | 3 | 90 | 9 | 2.992 | 0.183 | 2.992 | 0.183 | 0.002 | 0.133 |
| 141 | 0.25 | 60 | T | 0.8 | 3 | 75 | 22.5 | 3.744 | 0.289 | 3.744 | 0.289 | 0.007 | 0.024 |
| 142 | 0.25 | 60 | T | 1.2 | 3 | 60 | 22.5 | 2.820 | 0.257 | 2.820 | 0.257 | 0.007 | 0.064 |
| 143 | 0.15 | 60 | S | 0.8 | 6 | 60 | 13.5 | 1.445 | 0.236 | 1.445 | 0.236 | 0.020 | 0.157 |
| 144 | 0.25 | 60 | S | 0.4 | 6 | 75 | 22.5 | 4.088 | 0.288 | 4.088 | 0.288 | 0.004 | 0.044 |
| 145 | 0.15 | 40 | S | 0.4 | 9 | 90 | 9 | 2.820 | 0.203 | 2.820 | 0.203 | 0.006 | 0.123 |
| 146 | 0.15 | 40 | T | 1.2 | 3 | 60 | 9 | 1.316 | 0.152 | 1.317 | 0.152 | 0.040 | 0.096 |
| 147 | 0.15 | 40 | S | 0.4 | 9 | 75 | 9 | 2.756 | 0.193 | 2.756 | 0.193 | 0.009 | 0.136 |
| 148 | 0.15 | 40 | S | 0.4 | 6 | 75 | 9 | 2.584 | 0.183 | 2.584 | 0.183 | 0.009 | 0.103 |
| 149 | 0.15 | 40 | S | 0.4 | 3 | 60 | 9 | 2.863 | 0.163 | 2.863 | 0.163 | 0.006 | 0.170 |
| 150 | 0.25 | 60 | T | 1.2 | 9 | 60 | 22.5 | 2.648 | 0.277 | 2.649 | 0.277 | 0.020 | 0.055 |
| 151 | 0.25 | 60 | S | 1.2 | 9 | 90 | 22.5 | 2.605 | 0.263 | 2.605 | 0.263 | 0.017 | 0.170 |
| 152 | 0.15 | 40 | T | 1.2 | 3 | 90 | 9 | 1.445 | 0.172 | 1.446 | 0.172 | 0.037 | 0.065 |
| 153 | 0.15 | 60 | T | 1.2 | 3 | 60 | 13.5 | 1.102 | 0.237 | 1.102 | 0.237 | 0.037 | 0.074 |
| 154 | 0.15 | 60 | T | 1.2 | 6 | 60 | 13.5 | 0.758 | 0.247 | 0.758 | 0.247 | 0.009 | 0.098 |
| 155 | 0.25 | 60 | S | 1.2 | 3 | 60 | 22.5 | 2.648 | 0.223 | 2.649 | 0.223 | 0.020 | 0.214 |
| 156 | 0.25 | 60 | S | 0.8 | 3 | 75 | 22.5 | 3.572 | 0.256 | 3.572 | 0.256 | 0.010 | 0.120 |
| 157 | 0.25 | 40 | S | 0.4 | 9 | 75 | 15 | 4.475 | 0.213 | 4.475 | 0.213 | 0.011 | 0.125 |
| 158 | 0.25 | 60 | S | 0.4 | 9 | 90 | 22.5 | 4.324 | 0.308 | 4.324 | 0.308 | 0.003 | 0.021 |
| 159 | 0.15 | 40 | S | 1.2 | 9 | 75 | 9 | 1.037 | 0.149 | 1.037 | 0.149 | 0.011 | 0.150 |
| 160 | 0.25 | 40 | S | 0.8 | 3 | 90 | 15 | 3.852 | 0.181 | 3.852 | 0.181 | 0.010 | 0.000 |
| 161 | 0.25 | 60 | T | 0.8 | 9 | 75 | 22.5 | 3.572 | 0.309 | 3.572 | 0.309 | 0.011 | 0.025 |
| 162 | 0.25 | 40 | S | 1.2 | 3 | 75 | 15 | 2.928 | 0.149 | 2.928 | 0.149 | 0.008 | 0.145 |
| 163 | 0.15 | 40 | T | 1.2 | 9 | 90 | 9 | 1.273 | 0.192 | 1.274 | 0.192 | 0.046 | 0.061 |
| 164 | 0.25 | 40 | T | 0.4 | 9 | 60 | 15 | 4.582 | 0.237 | 4.582 | 0.237 | 0.004 | 0.152 |
| 165 | 0.15 | 40 | S | 0.8 | 6 | 75 | 9 | 1.725 | 0.161 | 1.724 | 0.161 | 0.038 | 0.034 |
| 166 | 0.25 | 40 | S | 1.2 | 3 | 60 | 15 | 2.863 | 0.139 | 2.863 | 0.139 | 0.017 | 0.133 |
| 167 | 0.25 | 60 | T | 0.4 | 6 | 60 | 22.5 | 4.195 | 0.311 | 4.195 | 0.311 | 0.009 | 0.083 |
| 168 | 0.25 | 60 | S | 0.4 | 3 | 60 | 22.5 | 4.367 | 0.268 | 4.367 | 0.268 | 0.004 | 0.019 |
| 169 | 0.15 | 60 | S | 0.8 | 3 | 60 | 13.5 | 1.789 | 0.226 | 1.789 | 0.226 | 0.002 | 0.133 |
| 170 | 0.25 | 60 | S | 0.4 | 3 | 90 | 22.5 | 4.496 | 0.288 | 4.496 | 0.288 | 0.004 | 0.026 |
| 171 | 0.15 | 60 | T | 0.4 | 9 | 90 | 13.5 | 2.777 | 0.321 | 2.777 | 0.321 | 0.006 | 0.087 |
| 172 | 0.15 | 60 | S | 0.8 | 6 | 75 | 13.5 | 1.510 | 0.246 | 1.510 | 0.246 | 0.022 | 0.157 |
| 173 | 0.25 | 60 | S | 0.8 | 3 | 90 | 22.5 | 3.637 | 0.266 | 3.637 | 0.266 | 0.004 | 0.120 |
| 174 | 0.15 | 60 | T | 0.8 | 6 | 90 | 13.5 | 1.746 | 0.289 | 1.746 | 0.289 | 0.002 | 0.008 |
| 175 | 0.15 | 60 | T | 0.8 | 3 | 60 | 13.5 | 1.961 | 0.259 | 1.961 | 0.259 | 0.009 | 0.026 |
| 176 | 0.15 | 40 | T | 0.4 | 3 | 75 | 9 | 3.100 | 0.207 | 3.100 | 0.207 | 0.015 | 0.183 |
| 177 | 0.15 | 60 | S | 0.4 | 3 | 60 | 13.5 | 2.648 | 0.248 | 2.649 | 0.248 | 0.019 | 0.025 |
| 178 | 0.15 | 40 | S | 0.8 | 3 | 90 | 9 | 2.133 | 0.161 | 2.133 | 0.161 | 0.018 | 0.001 |
| 179 | 0.25 | 40 | S | 1.2 | 6 | 75 | 15 | 2.584 | 0.159 | 2.584 | 0.159 | 0.003 | 0.185 |
| 180 | 0.25 | 40 | T | 1.2 | 6 | 90 | 15 | 2.820 | 0.202 | 2.820 | 0.202 | 0.006 | 0.022 |
| 181 | 0.15 | 60 | S | 1.2 | 6 | 75 | 13.5 | 0.650 | 0.223 | 0.650 | 0.223 | 0.064 | 0.169 |
| 182 | 0.15 | 60 | S | 0.4 | 9 | 75 | 13.5 | 2.541 | 0.278 | 2.541 | 0.278 | 0.006 | 0.022 |
| 183 | 0.25 | 60 | T | 0.4 | 9 | 60 | 22.5 | 4.367 | 0.321 | 4.367 | 0.321 | 0.005 | 0.102 |
| 184 | 0.15 | 60 | S | 0.8 | 9 | 60 | 13.5 | 1.617 | 0.246 | 1.617 | 0.246 | 0.013 | 0.120 |
| 185 | 0.25 | 60 | S | 0.8 | 6 | 60 | 22.5 | 3.164 | 0.256 | 3.164 | 0.256 | 0.006 | 0.140 |
| 186 | 0.15 | 40 | T | 0.4 | 3 | 90 | 9 | 3.164 | 0.217 | 3.164 | 0.217 | 0.001 | 0.181 |
| 187 | 0.25 | 60 | T | 1.2 | 3 | 75 | 22.5 | 2.885 | 0.267 | 2.885 | 0.267 | 0.012 | 0.066 |
| 188 | 0.15 | 60 | T | 0.4 | 3 | 60 | 13.5 | 2.820 | 0.281 | 2.820 | 0.281 | 0.013 | 0.112 |
| 189 | 0.25 | 40 | T | 0.8 | 3 | 90 | 15 | 4.023 | 0.214 | 4.024 | 0.214 | 0.014 | 0.169 |
| 190 | 0.15 | 40 | T | 0.8 | 9 | 60 | 9 | 2.004 | 0.194 | 2.004 | 0.194 | 0.006 | 0.202 |
| 191 | 0.15 | 60 | S | 0.8 | 3 | 90 | 13.5 | 1.918 | 0.246 | 1.918 | 0.246 | 0.005 | 0.135 |
| 192 | 0.15 | 60 | S | 1.2 | 3 | 60 | 13.5 | 0.930 | 0.203 | 0.930 | 0.203 | 0.008 | 0.235 |
| 193 | 0.25 | 40 | S | 0.8 | 6 | 75 | 15 | 3.443 | 0.181 | 3.443 | 0.181 | 0.009 | 0.031 |
| 194 | 0.15 | 60 | T | 0.8 | 6 | 75 | 13.5 | 1.682 | 0.279 | 1.682 | 0.279 | 0.025 | 0.003 |
| 195 | 0.15 | 60 | T | 0.8 | 3 | 90 | 13.5 | 2.090 | 0.279 | 2.090 | 0.279 | 0.009 | 0.016 |
| 196 | 0.15 | 60 | S | 1.2 | 9 | 75 | 13.5 | 0.822 | 0.233 | 0.822 | 0.233 | 0.034 | 0.193 |
| 197 | 0.25 | 60 | S | 1.2 | 3 | 90 | 22.5 | 2.777 | 0.243 | 2.777 | 0.243 | 0.011 | 0.180 |
| 198 | 0.15 | 60 | S | 0.4 | 6 | 60 | 13.5 | 2.305 | 0.258 | 2.305 | 0.258 | 0.009 | 0.050 |
| 199 | 0.25 | 40 | S | 1.2 | 9 | 90 | 15 | 2.820 | 0.179 | 2.820 | 0.179 | 0.007 | 0.137 |
| 200 | 0.15 | 40 | S | 0.8 | 9 | 60 | 9 | 1.832 | 0.161 | 1.832 | 0.161 | 0.005 | 0.020 |
| 201 | 0.25 | 60 | S | 1.2 | 9 | 60 | 22.5 | 2.477 | 0.243 | 2.477 | 0.243 | 0.013 | 0.195 |
| 202 | 0.15 | 40 | S | 0.8 | 9 | 75 | 9 | 1.896 | 0.171 | 1.896 | 0.171 | 0.014 | 0.009 |
| 203 | 0.25 | 40 | S | 1.2 | 9 | 60 | 15 | 2.691 | 0.159 | 2.691 | 0.159 | 0.019 | 0.130 |
| 204 | 0.15 | 60 | T | 0.4 | 6 | 60 | 13.5 | 2.477 | 0.291 | 2.477 | 0.291 | 0.013 | 0.086 |
| 205 | 0.25 | 40 | T | 0.8 | 9 | 60 | 15 | 3.723 | 0.214 | 3.723 | 0.214 | 0.003 | 0.185 |
| 206 | 0.25 | 60 | T | 0.4 | 3 | 60 | 22.5 | 4.539 | 0.301 | 4.539 | 0.301 | 0.003 | 0.109 |
| 207 | 0.15 | 60 | T | 0.8 | 9 | 75 | 13.5 | 1.854 | 0.289 | 1.854 | 0.289 | 0.027 | 0.023 |
| 208 | 0.15 | 60 | S | 0.4 | 9 | 90 | 13.5 | 2.605 | 0.288 | 2.606 | 0.288 | 0.021 | 0.026 |
| 209 | 0.15 | 60 | S | 1.2 | 6 | 60 | 13.5 | 0.586 | 0.213 | 0.586 | 0.213 | 0.017 | 0.187 |
| 210 | 0.15 | 40 | S | 1.2 | 3 | 90 | 9 | 1.273 | 0.139 | 1.274 | 0.139 | 0.047 | 0.167 |
| 211 | 0.25 | 60 | T | 0.8 | 9 | 90 | 22.5 | 3.637 | 0.319 | 3.637 | 0.319 | 0.008 | 0.018 |
| 212 | 0.15 | 40 | S | 0.8 | 9 | 90 | 9 | 1.961 | 0.181 | 1.961 | 0.181 | 0.017 | 0.000 |
| 213 | 0.25 | 40 | S | 0.8 | 6 | 90 | 15 | 3.508 | 0.191 | 3.508 | 0.191 | 0.008 | 0.037 |
| 214 | 0.15 | 60 | T | 0.8 | 9 | 60 | 13.5 | 1.789 | 0.279 | 1.789 | 0.279 | 0.007 | 0.029 |
| 215 | 0.15 | 60 | S | 0.4 | 6 | 90 | 13.5 | 2.434 | 0.278 | 2.434 | 0.278 | 0.017 | 0.055 |
| 216 | 0.15 | 60 | T | 1.2 | 6 | 90 | 13.5 | 0.887 | 0.267 | 0.887 | 0.267 | 0.022 | 0.099 |
| Source | Sum of Squares | Degrees of Freedom | Mean Square | F Value | p-Value Prob > F |
|---|---|---|---|---|---|
| Model | 266.4583 | 17 | 15.67402 | 372.0577 | <0.0001 |
| A-f | 159.5198 | 1 | 159.5198 | 3786.556 | <0.0001 |
| D-r | 106.3408 | 2 | 53.17039 | 1262.117 | <0.0001 |
| F-κ | 0.597787 | 2 | 0.298893 | 7.094898 | 0.0011 |
| AD | 4.81 × 10−7 | 2 | 2.41 × 10−7 | 5.71 × 10−6 | 1.0000 |
| AF | 6.48 × 10−8 | 2 | 3.24 × 10−8 | 7.69 × 10−7 | 1.0000 |
| DF | 1.96 × 10−6 | 4 | 4.91 × 10−7 | 1.16 × 10−5 | 1.0000 |
| ADF | 2.07 × 10−6 | 4 | 5.19 × 10−7 | 1.23 × 10−5 | 1.0000 |
| Residual | 8.34133 | 198 | 0.042128 | ||
| Cor Total | 274.7997 | 215 |
| Standard Deviation | 0.205251 |
| Mean | 2.73437 |
| Coefficient of Variation % | 7.506331 |
| Predicted Residual Sum of Squares | 9.926872 |
| R2 | 0.969646 |
| R2 adjusted | 0.96704 |
| R2 for prediction | 0.963876 |
| Adequate Precision | 60.18622 |
| Source | Sum of Squares | Degrees of Freedom | Mean Square | F Value | p-Value Prob > F |
|---|---|---|---|---|---|
| Model | 0.52 | 7 | 0.074 | 305.88 | <0.0001 |
| B-vc | 0.39 | 1 | 0.39 | 1598.69 | <0.0001 |
| C-IS | 0.060 | 1 | 0.060 | 247.99 | <0.0001 |
| D-r | 0.071 | 2 | 0.036 | 147.24 | <0.0001 |
| BC | 4.63 × 10−6 | 1 | 4.63 × 10−6 | 1.91 × 10−2 | 0.9965 |
| BD | 2.68 × 10−3 | 2 | 1.34 × 10−3 | 5.53 | 0.9945 |
| Residual | 0.050 | 208 | 2.42 × 10−1 | ||
| Cor Total | 0.57 | 215 |
| Standard Deviation | 0.016 |
| Mean | 0.23 |
| Coefficient of Variation% | 6.76 |
| Predicted Residual Sum of Squares | 0.054 |
| R2 | 0.9115 |
| R2 adjusted | 0.9085 |
| R2 for prediction | 0.9045 |
| Adequate Precision | 54.217 |
| No. | f (mm/rev) | vc (mm/min) | IS | r (mm) | γ (°) | κ (°) | Measured | Predicted | PERa (%) | PEVB (%) | ||
|---|---|---|---|---|---|---|---|---|---|---|---|---|
| Ra (µm) | VB (mm) | Ra (µm) | VB (mm) | |||||||||
| 1 | 0.20 | 50 | T | 1.2 | 3 | 60 | 2.269 | 0.174 | 2.311 | 0.171 | 1.851 | 1.938 |
| 2 | 0.20 | 50 | S | 1.2 | 3 | 60 | 2.099 | 0.139 | 2.140 | 0.137 | 1.936 | 1.225 |
| 3 | 0.20 | 50 | T | 1.2 | 6 | 60 | 1.938 | 0.183 | 1.968 | 0.181 | 1.528 | 1.334 |
| 4 | 0.20 | 50 | S | 1.2 | 6 | 60 | 1.766 | 0.148 | 1.796 | 0.147 | 1.689 | 0.531 |
| 5 | 0.20 | 50 | T | 1.2 | 9 | 60 | 2.099 | 0.194 | 2.140 | 0.191 | 1.934 | 1.736 |
| 6 | 0.20 | 50 | S | 1.2 | 9 | 60 | 1.933 | 0.16 | 1.968 | 0.157 | 1.795 | 1.701 |
| 7 | 0.20 | 50 | T | 1.2 | 3 | 75 | 2.351 | 0.184 | 2.376 | 0.181 | 1.052 | 1.841 |
| 8 | 0.20 | 50 | S | 1.2 | 3 | 75 | 2.173 | 0.149 | 2.204 | 0.147 | 1.425 | 1.162 |
| 9 | 0.20 | 50 | T | 1.2 | 6 | 75 | 2.051 | 0.193 | 2.032 | 0.191 | 0.925 | 1.272 |
| 10 | 0.20 | 50 | S | 1.2 | 6 | 75 | 1.842 | 0.159 | 1.860 | 0.157 | 0.984 | 1.138 |
| 11 | 0.20 | 50 | T | 1.2 | 9 | 75 | 2.194 | 0.204 | 2.204 | 0.201 | 0.456 | 1.657 |
| 12 | 0.20 | 50 | S | 1.2 | 9 | 75 | 2.001 | 0.169 | 2.032 | 0.167 | 1.551 | 1.031 |
| 13 | 0.20 | 50 | T | 1.2 | 3 | 90 | 2.413 | 0.193 | 2.440 | 0.191 | 1.129 | 1.244 |
| 14 | 0.20 | 50 | S | 1.2 | 3 | 90 | 2.249 | 0.159 | 2.268 | 0.157 | 0.860 | 1.104 |
| 15 | 0.20 | 50 | T | 1.2 | 6 | 90 | 2.061 | 0.203 | 2.096 | 0.201 | 1.720 | 1.216 |
| 16 | 0.20 | 50 | S | 1.2 | 6 | 90 | 1.911 | 0.169 | 1.924 | 0.167 | 0.705 | 1.083 |
| 17 | 0.20 | 50 | T | 1.2 | 9 | 90 | 2.261 | 0.214 | 2.268 | 0.211 | 0.328 | 1.586 |
| 18 | 0.20 | 50 | S | 1.2 | 9 | 90 | 2.072 | 0.178 | 2.096 | 0.177 | 1.178 | 0.426 |
| Population type | Double Vector |
| Population size | 100 |
| Crossover fraction | 0.8 |
| Mutation function | Constraint dependent |
| Crossover function | Constraint dependent |
| Migration direction | Forward |
| Migration Fraction | 0.2 |
| Migration Interval | 20 |
| Nonlinear constraint algorithm | Augmented Lagrangian |
| Initial penalty | 10 |
| Penalty factor | 100 |
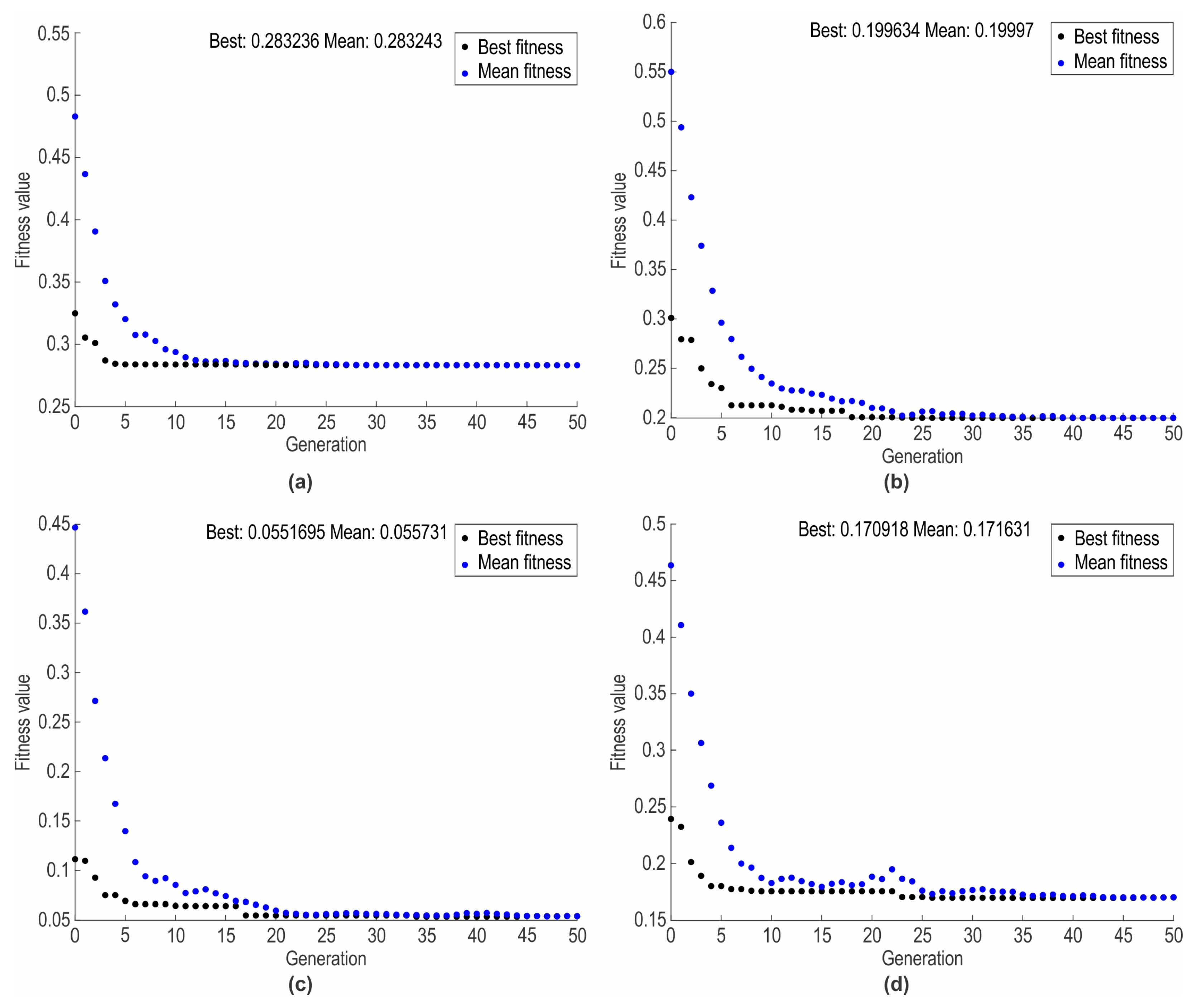
| Generations | 50 |
| Function tolerance | 10−6 |
| Constraint tolerance | 10−3 |
| Case | Factor Weights | Optimized Input Parameters | Output Parameters | PERa (%) | PEVB (%) | ||
|---|---|---|---|---|---|---|---|
| Optimized | Measured/Calculated | ||||||
| 1 | wRa = 1 | vc = 56 mm/min r = 1.2 mm | Ra = 2.608 µm | Ra = 2.635 µm | 1.025 | 1.639 | |
| wVB = 1 | f = 0.25 mm/rev γ = 6 ° | VB = 0.180 mm | VB = 0.183 mm | ||||
| wMMR = 1 | IS = S | κ = 60 ° | MRR = 21 mm3/min | MRR = 21 mm3/min | |||
| 2 | wRa = 1 | vc = 40 mm/min r = 1.2 mm | Ra = 0.818 µm | Ra = 0.809 µm | 1.112 | 1.527 | |
| wVB = 1 | f = 0.15 mm/rev γ = 6 ° | VB = 0.129 mm | VB = 0.131 mm | ||||
| wMMR = 0 | IS = S | κ = 60 ° | MRR = 9 mm3/min | MRR = 9 mm3/min | |||
| 3 | wRa = 1 | vc = 60 mm/min r = 1.2 mm | Ra = 2.305 µm | Ra = 2.311 µm | 0.260 | 1.688 | |
| wVB = 0 | f = 0.25 mm/rev γ = 6 ° | VB = 0.233 mm | VB = 0.237 mm | ||||
| wMMR = 1 | IS = S | κ = 60° | MRR = 22.5 mm3/min | MRR = 22.5 mm3/min | |||
| 4 | wRa = 0 | vc = 55 mm/min r = 1.2 mm | Ra = 2.986 µm | Ra = 3.008 µm | 0.731 | 1.807 | |
| wVB = 1 | f = 0.25 mm/rev γ = 3 ° | VB = 0.163 mm | VB = 0.166 mm | ||||
| wMMR = 1 | IS = S | κ = 60 ° | MRR = 20.63 mm3/min | MRR = 20.63 mm3/min | |||
Disclaimer/Publisher’s Note: The statements, opinions and data contained in all publications are solely those of the individual author(s) and contributor(s) and not of MDPI and/or the editor(s). MDPI and/or the editor(s) disclaim responsibility for any injury to people or property resulting from any ideas, methods, instructions or products referred to in the content. |
© 2023 by the authors. Licensee MDPI, Basel, Switzerland. This article is an open access article distributed under the terms and conditions of the Creative Commons Attribution (CC BY) license (https://creativecommons.org/licenses/by/4.0/).
Share and Cite
Jovicic, G.; Milosevic, A.; Kanovic, Z.; Sokac, M.; Simunovic, G.; Savkovic, B.; Vukelic, D. Optimization of Dry Turning of Inconel 601 Alloy Based on Surface Roughness, Tool Wear, and Material Removal Rate. Metals 2023, 13, 1068. https://doi.org/10.3390/met13061068
Jovicic G, Milosevic A, Kanovic Z, Sokac M, Simunovic G, Savkovic B, Vukelic D. Optimization of Dry Turning of Inconel 601 Alloy Based on Surface Roughness, Tool Wear, and Material Removal Rate. Metals. 2023; 13(6):1068. https://doi.org/10.3390/met13061068
Chicago/Turabian StyleJovicic, Goran, Aleksandar Milosevic, Zeljko Kanovic, Mario Sokac, Goran Simunovic, Borislav Savkovic, and Djordje Vukelic. 2023. "Optimization of Dry Turning of Inconel 601 Alloy Based on Surface Roughness, Tool Wear, and Material Removal Rate" Metals 13, no. 6: 1068. https://doi.org/10.3390/met13061068
APA StyleJovicic, G., Milosevic, A., Kanovic, Z., Sokac, M., Simunovic, G., Savkovic, B., & Vukelic, D. (2023). Optimization of Dry Turning of Inconel 601 Alloy Based on Surface Roughness, Tool Wear, and Material Removal Rate. Metals, 13(6), 1068. https://doi.org/10.3390/met13061068

