Powder Metallurgy Fabrication and Characterization of Ti6Al4V/xCu Alloys for Biomedical Applications
Abstract
1. Introduction
2. Materials and Methods
3. Results and Discussion
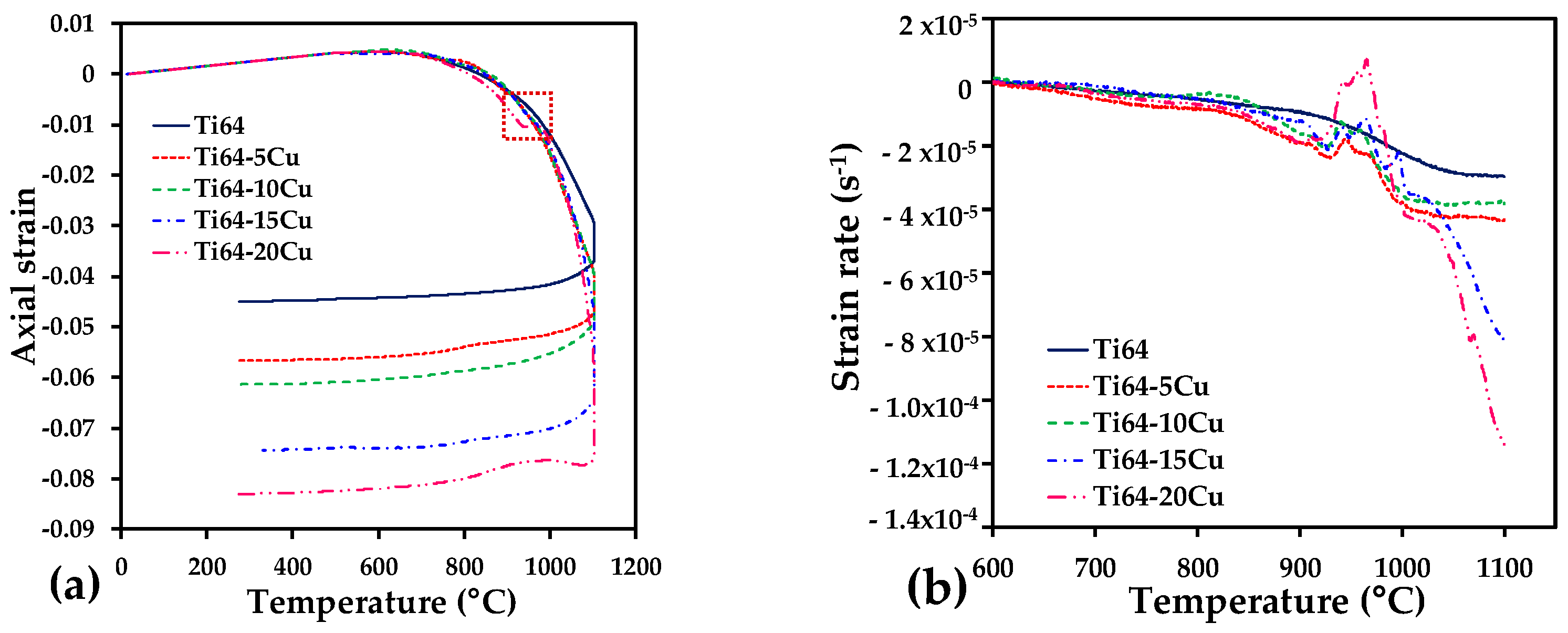
3.1. Sintering
3.2. Microstructure Analysis
3.2.1. SEM Observation
3.2.2. X-ray Diffraction Patterns
3.3. Mechanical Properties
3.3.1. Microhardness
3.3.2. Compression Tests
3.4. Corrosion Analysis
3.4.1. Potentiodynamic Analysis
3.4.2. Electrochemical Impedance Spectroscopy Analysis
4. Conclusions
Author Contributions
Funding
Data Availability Statement
Conflicts of Interest
References
- Oshida, Y. Bioscience and Bioengineering of Titanium Materials; Elsevier: Amsterdam, The Netherlands, 2010; ISBN 0080467199. [Google Scholar]
- Yuan, Z.; He, Y.; Lin, C.; Liu, P.; Cai, K. Antibacterial Surface Design of Biomedical Titanium Materials for Orthopedic Applications. J. Mater. Sci. Technol. 2021, 78, 51–67. [Google Scholar] [CrossRef]
- Xu, X.; Lu, Y.; Li, S.; Guo, S.; He, M.; Luo, K.; Lin, J. Copper-Modified Ti6Al4V Alloy Fabricated by Selective Laser Melting with pro-Angiogenic and Anti-Inflammatory Properties for Potential Guided Bone Regeneration Applications. Mater. Sci. Eng. C 2018, 90, 198–210. [Google Scholar] [CrossRef]
- Luo, J.; Guo, S.; Lu, Y.; Xu, X.; Zhao, C.; Wu, S.; Lin, J. Cytocompatibility of Cu-Bearing Ti6Al4V Alloys Manufactured by Selective Laser Melting. Mater. Charact. 2018, 143, 127–136. [Google Scholar] [CrossRef]
- Solorio, V.M.; Vergara-Hernández, H.J.; Olmos, L.; Bouvard, D.; Chávez, J.; Jimenez, O.; Camacho, N. Effect of the Ag Addition on the Compressibility, Sintering and Properties of Ti6Al4V/XAg Composites Processed by Powder Metallurgy. J. Alloys Compd. 2022, 890, 161813. [Google Scholar] [CrossRef]
- Xin, C.; Wang, N.; Chen, Y.; He, B.; Zhao, Q.; Chen, L.; Tang, Y.; Luo, B.; Zhao, Y.; Yang, X. Biological Corrosion Behaviour and Antibacterial Properties of Ti-Cu Alloy with Different Ti2Cu Morphologies for Dental Applications. Mater. Des. 2022, 215, 110540. [Google Scholar] [CrossRef]
- Zhang, E.; Li, F.; Wang, H.; Liu, J.; Wang, C.; Li, M.; Yang, K. A New Antibacterial Titanium–Copper Sintered Alloy: Preparation and Antibacterial Property. Mater. Sci. Eng. C 2013, 33, 4280–4287. [Google Scholar] [CrossRef] [PubMed]
- Xie, Y.; Lu, M.; Mao, X.; Yu, H.; Zhang, E. Enhancing the Antibacterial Properties and Biocompatibility of Ti-Cu Alloy by Roughening and Anodic Oxidation. Metals 2022, 12, 1726. [Google Scholar] [CrossRef]
- Xie, Y.; Lu, M.; Cui, S.; Yu, H.; Wang, L.; Ke, H.; Zhang, E. Construction of a rough surface with submicron Ti2Cu particle on Ti-Cu alloy and its effect on the antibacterial properties and cell biocompatibility. Metals 2022, 12, 1008. [Google Scholar] [CrossRef]
- Wu, Y.; Zhou, H.; Zeng, Y.; Xie, H.; Ma, D.; Wang, Z.; Liang, H. Recent advances in copper-doped titanium implants. Materials 2022, 15, 2342. [Google Scholar] [CrossRef]
- Yeshanew, S.K.; Bai, C.; Jia, Q.; Xi, T.; Zhang, Z.; Li, D.; Xia, Z.; Yang, R.; Yang, K. Microstructure Evolution and Deformation Mechanisms of As-Cast Antibacterial Ti6Al4V-5Cu Alloy for Isothermal Forging Process. Materials 2022, 15, 3349. [Google Scholar] [CrossRef] [PubMed]
- Dyal Ukabhai, K.; Curle, U.A.; Masia, N.D.E.; Smit, M.; Mwamba, I.A.; Norgren, S.; Öhman-Mägi, C.; Hashe, N.G.; Cornish, L.A. Formation of Ti2Cu in Ti-Cu alloys. J. Phase. Equilibria Diffus. 2022, 43, 332–344. [Google Scholar] [CrossRef]
- Lei, Z.; Zhang, H.; Zhang, E.; You, J.; Ma, X.; Bai, X. Antibacterial Activities and Biocompatibilities of Ti-Ag Alloys Prepared by Spark Plasma Sintering and Acid Etching. Mater. Sci. Eng. C 2018, 92, 121–131. [Google Scholar] [CrossRef] [PubMed]
- Wang, P.; Yuan, Y.; Xu, K.; Zhong, H.; Yang, Y.; Jin, S.; Yang, K.; Qi, X. Biological Applications of Copper-Containing Materials. Bioact. Mater. 2021, 6, 916–927. [Google Scholar] [CrossRef]
- Jacobs, A.; Renaudin, G.; Forestier, C.; Nedelec, J.-M.; Descamps, S. Biological Properties of Copper-Doped Biomaterials for Orthopedic Applications: A Review of Antibacterial, Angiogenic and Osteogenic Aspects. Acta. Biomater. 2020, 117, 21–39. [Google Scholar] [CrossRef]
- Santo, C.E.; Lam, E.W.; Elowsky, C.G.; Quaranta, D.; Domaille, D.W.; Chang, C.J.; Grass, G. Bacterial Killing by Dry Metallic Copper Surfaces. Appl. Environ. Microbiol. 2011, 77, 794–802. [Google Scholar] [CrossRef] [PubMed]
- Andersen, O.Z.; Offermanns, V.; Sillassen, M.; Almtoft, K.P.; Andersen, I.H.; Sørensen, S.; Jeppesen, C.S.; Kraft, D.C.E.; Bøttiger, J.; Rasse, M. Accelerated Bone Ingrowth by Local Delivery of Strontium from Surface Functionalized Titanium Implants. Biomaterials 2013, 34, 5883–5890. [Google Scholar] [CrossRef]
- Mahmoudi, P.; Akbarpour, M.R.; Lakeh, H.B.; Jing, F.; Hadidi, M.R.; Akhavan, B. Antibacterial Ti–Cu implants: A critical review on mechanisms of action. Mater. Today Bio 2022, 17, 100447. [Google Scholar] [CrossRef]
- Zhang, E.; Wang, X.; Chen, M.; Hou, B. Effect of the Existing Form of Cu Element on the Mechanical Properties, Bio-Corrosion and Antibacterial Properties of Ti-Cu Alloys for Biomedical Application. Mater. Sci. Eng. C 2016, 69, 1210–1221. [Google Scholar] [CrossRef]
- Ng, H.P.; Nandwana, P.; Devaraj, A.; Semblanet, M.; Nag, S.; Nakashima, P.N.H.; Meher, S.; Bettles, C.J.; Gibson, M.A.; Fraser, H.L. Conjugated Precipitation of Twin-Related α and Ti2Cu Phases in a Ti–25V–3Cu Alloy. Acta Mater. 2015, 84, 457–471. [Google Scholar] [CrossRef]
- Akbarpour, M.R.; Mirabad, H.M.; Hemmati, A.; Kim, H.S. Processing and Microstructure of Ti-Cu Binary Alloys: A Comprehensive Review. Prog. Mater. Sci. 2022, 127, 100933. [Google Scholar] [CrossRef]
- Kaur, M.; Singh, K. Review on Titanium and Titanium Based Alloys as Biomaterials for Orthopaedic Applications. Mater. Sci. Eng. C 2019, 102, 844–862. [Google Scholar] [CrossRef] [PubMed]
- Ren, L.; Ma, Z.; Li, M.; Zhang, Y.; Liu, W.; Liao, Z.; Yang, K. Antibacterial Properties of Ti–6Al–4V–XCu Alloys. J. Mater. Sci. Technol. 2014, 30, 699–705. [Google Scholar] [CrossRef]
- Peng, C.; Zhang, S.; Sun, Z.; Ren, L.; Yang, K. Effect of Annealing Temperature on Mechanical and Antibacterial Properties of Cu-Bearing Titanium Alloy and Its Preliminary Study of Antibacterial Mechanism. Mater. Sci. Eng. C 2018, 93, 495–504. [Google Scholar] [CrossRef]
- Yang, J.; Qin, H.; Chai, Y.; Chen, Y.; Yang, K.; Qin, M.; Zhang, Y.; Xia, H.; Ren, L.; Yu, B. Molecular Mechanisms of Osteogenesis and Antibacterial Activity of Cu-Bearing Ti Alloy in a Bone Defect Model with Infection In Vivo. J. Orthop. Transl. 2021, 27, 77–89. [Google Scholar] [CrossRef]
- Guo, S.; Lu, Y.; Wu, S.; Liu, L.; He, M.; Zhao, C.; Gan, Y.; Lin, J.; Luo, J.; Xu, X. Preliminary Study on the Corrosion Resistance, Antibacterial Activity and Cytotoxicity of Selective-Laser-Melted Ti6Al4V-XCu Alloys. Mater. Sci. Eng. C 2017, 72, 631–640. [Google Scholar] [CrossRef]
- Machio, C.; Mathabathe, M.N.; Bolokang, A.S. A comparison of the microstructures, thermal and mechanical properties of pressed and sintered Ti–Cu, Ti–Ni and Ti–Cu–Ni alloys intended for dental applications. J. Alloys Compd. 2020, 848, 156494. [Google Scholar] [CrossRef]
- Yu, F.; Wang, H.; Yuan, G.; Shu, X. Effect of Cu Content on Wear Resistance and Mechanical Behavior of Ti–Cu Binary Alloys. Appl. Phys. A 2017, 123, 278. [Google Scholar] [CrossRef]
- Murray, J.L. The Cu−Ti (Copper-Titanium) System. Bull. Alloy Phase Diagr. 1983, 4, 81–95. [Google Scholar] [CrossRef]
- Mihalcea, E.; Hernández, H.V.; Olmos, L.; Jimenez, O. Semi-Solid Sintering of Ti6Al4V/CoCrMo Composites for Biomedical Applications. Mater. Res. 2019, 22. [Google Scholar] [CrossRef]
- Takada, Y.; Nakajima, H.; Okuno, O.; Okabe, T. Microstructure and Corrosion Behavior of Binary Titanium Alloys with Beta-Stabilizing Elements. Dent. Mater. J. 2001, 20, 34–52. [Google Scholar] [CrossRef] [PubMed]
- Yi, C.; Ke, Z.; Zhang, L.; Tan, J.; Jiang, Y.; He, Z. Antibacterial Ti-Cu Alloy with Enhanced Mechanical Properties as Implant Applications. Mater. Res. Express 2020, 7, 105404. [Google Scholar] [CrossRef]
- Zhu, Y.D.; Yan, M.F.; Zhang, Y.X.; Zhang, C.S. First-Principles Investigation of Structural, Mechanical and Electronic Properties for Cu–Ti Intermetallics. Comput. Mater. Sci. 2016, 123, 70–78. [Google Scholar] [CrossRef]
- Cabezas-Villa, J.L.; Lemus-Ruiz, J.; Bouvard, D.; Jiménez, O.; Vergara-Hernández, H.J.; Olmos, L. Sintering Study of Ti6Al4V Powders with Different Particle Sizes and Their Mechanical Properties. Int. J. Miner. Metall. Mater. 2018, 25, 1389–1401. [Google Scholar] [CrossRef]
- Kikuchi, M.; Takada, Y.; Kiyosue, S.; Yoda, M.; Woldu, M.; Cai, Z.; Okuno, O.; Okabe, T. Mechanical Properties and Microstructures of Cast Ti–Cu Alloys. Dent. Mater. 2003, 19, 174–181. [Google Scholar] [CrossRef] [PubMed]
- Erinosho, M.F.; Akinlabi, E.T.; Pityana, S.; Owolabi, G. Laser Surface Modification of Ti6Al4V-Cu for Improved Microhardness and Wear Resistance Properties. Mater. Res. 2017, 20, 1143–1152. [Google Scholar] [CrossRef]
- Alshammari, Y.; Yang, F.; Bolzoni, L. Low-Cost Powder Metallurgy Ti-Cu Alloys as a Potential Antibacterial Material. J. Mech. Behav. Biomed. Mater. 2019, 95, 232–239. [Google Scholar] [CrossRef] [PubMed]
- Dong, R.; Zhu, W.; Zhao, C.; Zhang, Y.; Ren, F. Microstructure, Mechanical Properties, and Sliding Wear Behavior of Spark Plasma Sintered Ti-Cu Alloys. Metall. Mater. Trans. A 2018, 49, 6147–6160. [Google Scholar] [CrossRef]
- Zhang, E.; Li, S.; Ren, J.; Zhang, L.; Han, Y. Effect of Extrusion Processing on the Microstructure, Mechanical Properties, Biocorrosion Properties and Antibacterial Properties of Ti-Cu Sintered Alloys. Mater. Sci. Eng. C 2016, 69, 760–768. [Google Scholar] [CrossRef]
- Liu, J.; Li, F.; Liu, C.; Wang, H.; Ren, B.; Yang, K.; Zhang, E. Effect of Cu Content on the Antibacterial Activity of Titanium–Copper Sintered Alloys. Mater. Sci. Eng. C 2014, 35, 392–400. [Google Scholar] [CrossRef]
- Song, Y.; Xu, D.S.; Yang, R.; Li, D.; Wu, W.T.; Guo, Z.X. Theoretical Study of the Effects of Alloying Elements on the Strength and Modulus of β-Type Bio-Titanium Alloys. Mater. Sci. Eng. A 1999, 260, 269–274. [Google Scholar] [CrossRef]
- Wang, X.; Xu, S.; Zhou, S.; Xu, W.; Leary, M.; Choong, P.; Qian, M.; Brandt, M.; Xie, Y.M. Topological Design and Additive Manufacturing of Porous Metals for Bone Scaffolds and Orthopaedic Implants: A Review. Biomaterials 2016, 83, 127–141. [Google Scholar] [CrossRef]
- Li, D.; Lin, C.; Batchelor-McAuley, C.; Chen, L.; Compton, R.G. Tafel Analysis in Practice. J. Electroanal. Chem. 2018, 826, 117–124. [Google Scholar] [CrossRef]
- Sherif, E.S.M.; Abdo, H.S.; Latief, F.H.; Alharthi, N.H.; El Abedin, S.Z. Fabrication of Ti–Al–Cu new alloys by inductive sintering, characterization, and corrosion evaluation. J. Mater. Res. Technol. 2019, 8, 4302–4311. [Google Scholar] [CrossRef]
- Chen, L.-Y.; Zhang, H.-Y.; Zheng, C.; Yang, H.-Y.; Qin, P.; Zhao, C.; Lu, S.; Liang, S.-X.; Chai, L.; Zhang, L.-C. Corrosion Behavior and Characteristics of Passive Films of Laser Powder Bed Fusion Produced Ti–6Al–4V in Dynamic Hank’s Solution. Mater. Des. 2021, 208, 109907. [Google Scholar] [CrossRef]
- Osório, W.R.; Freire, C.M.; Caram, R.; Garcia, A. The Role of Cu-Based Intermetallics on the Pitting Corrosion Behavior of Sn–Cu, Ti–Cu and Al–Cu Alloys. Electrochim. Acta 2012, 77, 189–197. [Google Scholar] [CrossRef]
- Bao, M.; Wang, X.; Yang, L.; Qin, G.; Zhang, E. Tribocorrosion Behavior of Ti–Cu Alloy in Hank’s Solution for Biomedical Application. J. Bio- Tribo-Corros. 2018, 4, 29. [Google Scholar] [CrossRef]
- Kramer, M.; Tomkiewicz, M. Porous Electrodes: I. Numerical Simulation Using Random Network and Single-Pore Models. J. Electrochem. Soc. 1984, 131, 1283. [Google Scholar] [CrossRef]
- Navarro-Flores, E.; Chong, Z.; Omanovic, S. Characterization of Ni, NiMo, NiW and NiFe electroactive coatings as electrocatalysts for hydrogen evolution in an acidic medium. J. Mol. Catal. A Chem. 2005, 226, 179–197. [Google Scholar] [CrossRef]
- Navarro-Flores, E.; Omanovic, S. Hydrogen evolution on nickel incorporated in three-dimensional conducting polymer layers. J. Mol. Catal. A Chem. 2005, 242, 182–194. [Google Scholar] [CrossRef]
- Alves, A.C.; Sendão, I.; Ariza, E.; Toptan, F.; Ponthiaux, P.; Pinto, A.M.P. Corrosion behaviour of porous Ti intended for biomedical applications. J. Porous Mater. 2016, 23, 1261–1268. [Google Scholar] [CrossRef]
- Xie, F.; He, X.; Cao, S.; Mei, M.; Qu, X. Influence of pore characteristics on microstructure, mechanical properties and corrosion resistance of selective laser sintered porous Ti–Mo alloys for biomedical applications. Electrochim. Acta 2013, 105, 121–129. [Google Scholar] [CrossRef]
- O’Hern, C.I.; Djoko, K.Y. Copper cytotoxicity: Cellular casualties of noncognate coordination chemistry. mBio 2022, 13, e00434-22. [Google Scholar] [CrossRef] [PubMed]
- Cortizo, M.C.; Lorenzo de Mele, M.F. Cytotoxicity of copper ions released from metal: Variation with the exposure period and concentration gradients. Biol. Trace. Elem. Res. 2004, 102, 129–141. [Google Scholar] [CrossRef] [PubMed]



α-Ti,
β-Ti,
Ti3Cu4,
TiCu3,
V5Al8,
TiCu and
Ti2Cu.
α-Ti,
β-Ti,
Ti3Cu4,
TiCu3,
V5Al8,
TiCu and
Ti2Cu.




| Wt% of Cu | D0 | Ds | (Ds − D0)/D0 |
|---|---|---|---|
| 0 | 0.697 | 0.788 | 0.130 |
| 5 | 0.691 | 0.813 | 0.175 |
| 10 | 0.698 | 0.834 | 0.195 |
| 15 | 0.701 | 0.905 | 0.291 |
| 20 | 0.691 | 0.967 | 0.398 |
| Element | At. % | ||
|---|---|---|---|
| Point 1 | Point 2 | Point 3 | |
| Ti | 63.25 | 79.85 | 85.02 |
| Cu | 34.33 | 5.75 | 2.81 |
| Al | 2.41 | 10.28 | 7.99 |
| V | 0 | 4.09 | 4.17 |
| Possible phase | Ti2Cu | α-Ti | α-Ti |
| Wt% Cu | E (GPa) | σy (MPa) | σu (MPa) | σy/E (10−3) |
|---|---|---|---|---|
| 0 | 35.9 | 630 | 1004 | 17.5 |
| 5 | 32.5 | 590 | 930 | 18.1 |
| 10 | 33.3 | 684 | 1104 | 20.5 |
| 15 | 36.7 | 759 | 1000 | 20.7 |
| 20 | 37.5 | 781 | 1093 | 20.8 |
| Wt% Cu | Icorr (µA/cm2) | Ecorr (V) | Vcorr (mm/year) |
|---|---|---|---|
| 0 | 3.810 | −0.407 | 0.079 |
| 5 | 0.855 | −0.184 | 0.0143 |
| 10 | 0.375 | −0.223 | 0.00625 |
| 15 | 0.276 | −0.246 | 0.00461 |
| 20 | 0.512 | −0.228 | 0.00829 |
| Wt% Cu | Rs (Ω·cm²) | CPE1 (F sα−1 cm−2) | N | Rp (Ω·cm²) | CPE2 (F sα−1 cm−2) | n | Rct (Ω·cm2) |
|---|---|---|---|---|---|---|---|
| 0 | 44.41 | 0.000146 | 0.7477 | 674.77 | 0.001310 | 0.6424 | 21,097 |
| 5 | 29.25 | 0.000124 | 0.6110 | 199.98 | 0.000641 | 0.7051 | 52,120 |
| 10 | 17.12 | 0.000105 | 0.6429 | 56.64 | 0.000249 | 0.8141 | 70,253 |
| 15 | 11.67 | 0.000561 | 0.4255 | 26.82 | 0.000601 | 0.8270 | 122,103 |
| 20 | 14.05 | 0.000223 | 0.7779 | 22.03 | 0.000306 | 0.7703 | 85,505 |
Disclaimer/Publisher’s Note: The statements, opinions and data contained in all publications are solely those of the individual author(s) and contributor(s) and not of MDPI and/or the editor(s). MDPI and/or the editor(s) disclaim responsibility for any injury to people or property resulting from any ideas, methods, instructions or products referred to in the content. |
© 2023 by the authors. Licensee MDPI, Basel, Switzerland. This article is an open access article distributed under the terms and conditions of the Creative Commons Attribution (CC BY) license (https://creativecommons.org/licenses/by/4.0/).
Share and Cite
Vergara-Hernández, H.J.; Olmos, L.; Solorio, V.M.; Bouvard, D.; Villalobos-Brito, J.; Chávez, J.; Jimenez, O. Powder Metallurgy Fabrication and Characterization of Ti6Al4V/xCu Alloys for Biomedical Applications. Metals 2023, 13, 888. https://doi.org/10.3390/met13050888
Vergara-Hernández HJ, Olmos L, Solorio VM, Bouvard D, Villalobos-Brito J, Chávez J, Jimenez O. Powder Metallurgy Fabrication and Characterization of Ti6Al4V/xCu Alloys for Biomedical Applications. Metals. 2023; 13(5):888. https://doi.org/10.3390/met13050888
Chicago/Turabian StyleVergara-Hernández, Hector Javier, Luis Olmos, Victor Manuel Solorio, Didier Bouvard, Julio Villalobos-Brito, Jorge Chávez, and Omar Jimenez. 2023. "Powder Metallurgy Fabrication and Characterization of Ti6Al4V/xCu Alloys for Biomedical Applications" Metals 13, no. 5: 888. https://doi.org/10.3390/met13050888
APA StyleVergara-Hernández, H. J., Olmos, L., Solorio, V. M., Bouvard, D., Villalobos-Brito, J., Chávez, J., & Jimenez, O. (2023). Powder Metallurgy Fabrication and Characterization of Ti6Al4V/xCu Alloys for Biomedical Applications. Metals, 13(5), 888. https://doi.org/10.3390/met13050888

