Effect of Ca and Sb on the Corrosion Resistance of E690 Steel in Marine Atmosphere Environment
Abstract
:1. Introduction
2. Materials and Methods
2.1. Materials and Solution
2.2. Microstructure Observation
2.3. Electrochemical Testing
2.4. Dry/Wet Cyclic Corrosion Test
2.5. Rust Layer Characterization Method
3. Results
3.1. Microstructure Characterization
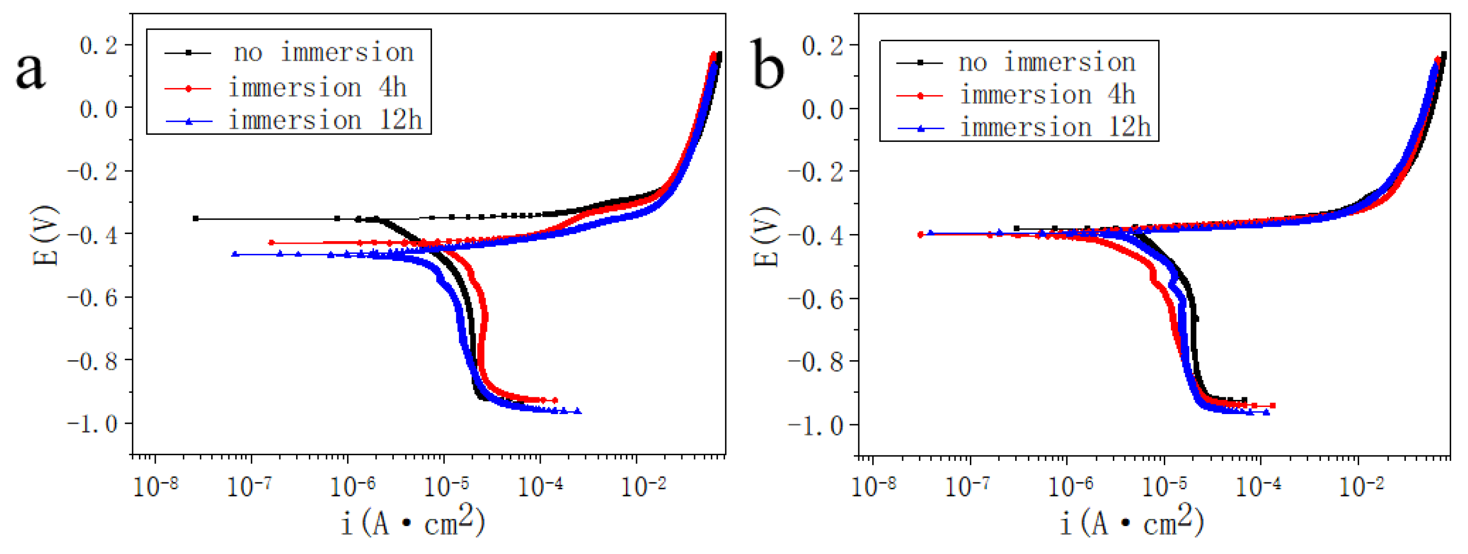
3.2. Study of Corrosion Kinetics Rules
3.3. Study of Rust Layer Morphology
3.4. Composition of Corrosion Products
3.5. Discussion
4. Conclusions
Author Contributions
Funding
Data Availability Statement
Conflicts of Interest
References
- Zhang, Q.; Jian, W.; Chen, J. The Study on the Corrosion Resistance of Rust Layer on the Surface of Weathering Steel in Marine Atmosphere. Chin. J. Mater. Sci. Eng. 2001, 19, 12–25. [Google Scholar] [CrossRef]
- Messinese, E.; Casanova, L.; Paterlini, L.; Capelli, F.; Bolzoni, F.; Ormellese, M.; Brenna, A. A Comprehensive Investigation on the Effects of Surface Finishing on the Resistance of Stainless Steel to Localized Corrosion. Metals 2022, 12, 1751. [Google Scholar] [CrossRef]
- Khan, M.S.; Liang, T.; Liu, Y.; Shi, Y.; Zhang, H.; Li, H.; Guo, S.; Pan, H.; Yang, K.; Zhao, Y. Microbiologically Influenced Corrosion Mechanism of Ferrous Alloys in Marine Environment. Metals 2022, 12, 1458. [Google Scholar] [CrossRef]
- Zhao, L.; He, W.; Wang, Y.; Li, H.; Cui, Z. A Comparative Study of the Corrosion Behavior of 30CrMnSiNi2A in Artificial Seawater and Salt Spray Environments. Metals 2022, 12, 1443. [Google Scholar] [CrossRef]
- Zhou, R.; Chen, W.; Li, W.; Chou, T.-H.; Chen, Y.-H.; Liang, X.; Luan, J.; Zhu, Y.; Huang, J.C.; Liu, Y. 3D printed N-doped CoCrFeNi high entropy alloy with more than doubled corrosion resistance in dilute sulphuric acid. Npj Mater. Degrad. 2023, 7, 8. [Google Scholar] [CrossRef]
- Daneshian, B.; Höche, D.; Knudsen, O.; Skilbred, A.W.B. Effect of climatic parameters on marine atmospheric corrosion: Correlation analysis of on-site sensors data. Npj Mater. Degrad. 2023, 7, 10. [Google Scholar] [CrossRef]
- Xu, Y.; Huang, Y.; Cai, F. Study on corrosion, hydrogen permeation, and stress corrosion cracking behaviours of AISI 4135 steel in the tidal zone. Npj Mater. Degrad. 2022, 6, 96. [Google Scholar] [CrossRef]
- Pandian, B.; Mohammad, I.; Seyedmojtaba, G.; Jahangir, M.; Mokhtar, I.; Kakooei, S. Reviews on corrosion inhibitors: A short view. Chem. Eng. Commun. 2016, 203, 1145–1156. [Google Scholar]
- Liu, W.; Yin, H.; Du, K.; Yang, B.; Wang, D. Corrosion Behaviors of Iron, Chromium, Nickel, Low-Carbon Steel, and Four Types of Stainless Steels in Liquid Antimony-Tin Alloy. Corrosion 2021, 77, 1192–1202. [Google Scholar] [CrossRef]
- Zheng, C.; Liu, Z.; Chen, S.; Liu, C. Corrosion behavior of a Ni–Cr–Mo alloy coating fabricated by laser cladding in a simulated sulfuric acid dew point corrosion environment. Coatings 2020, 10, 849. [Google Scholar] [CrossRef]
- Zhang, T.; Li, Y.; Li, X.; Liu, C.; Yang, S.; Yang, Z.; Li, X. Integral effects of Ca and Sb on the corrosion resistance for the high strength low alloy steel in the tropical marine environment. Corros. Sci. 2022, 208, 110708. [Google Scholar] [CrossRef]
- Abdel-Karim, A.M.; El-Shamy, A.M. A review on green corrosion inhibitors for protection of archeological metal artifacts. J. Bio-Tribo-Corros. 2022, 8, 35. [Google Scholar] [CrossRef]
- Chen, L.; Lu, D.; Zhang, Y. Organic compounds as corrosion inhibitors for carbon steel in HCl solution: A comprehensive review. Materials 2022, 15, 2023. [Google Scholar] [CrossRef] [PubMed]
- Farooq, S.A.; Raina, A.; Mohan, S.; Arvind Singh, R.; Jayalakshmi, S.; Irfan Ul Haq, M. Nanostructured coatings: Review on processing techniques, corrosion behaviour and tribological performance. Nanomaterials 2022, 12, 1323. [Google Scholar] [CrossRef] [PubMed]
- Nazari, M.H.; Zhang, Y.; Mahmoodi, A.; Xu, G.; Yu, J.; Wu, J.; Shi, X. Nanocomposite organic coatings for corrosion protection of metals: A review of recent advances. Prog. Org. Coat. 2022, 162, 106573. [Google Scholar] [CrossRef]
- Xu, C.; Liu, W. Organic-inorganic hybrid corrosion protection coating materials for offshore wind power devices: A mini-review and perspective. Mol. Cryst. Liq. Cryst. 2020, 710, 74–89. [Google Scholar] [CrossRef]
- Ma, Y.; Yang, Y.; Jia, X.; Zhao, H.; Qu, Z.; Wang, D.; Wang, B. Effect of Welding Heat Input on Microstructure and Properties of Coarse-Grained HAZ of 500 MPa High-Strength Low-Alloy Steel. Trans. Indian Inst. Metals 2022, 75, 1877–1884. [Google Scholar] [CrossRef]
- Wang, X.; Yang, Z.; Du, L. Research on the Microstructure and Properties of a Flux-Cored Wire Gas-Shielded Welded Joint of A710 Low-Alloy High-Strength Steel. Crystals 2023, 13, 484. [Google Scholar] [CrossRef]
- Pareek, S.; Jain, D.; Behera, D.; Sharma, S.; Shrivastava, R. A review on inhibitors alleviating copper corrosion in hostile simulated sea-water (3.5 wt.% NaCl solution). Mater. Today Proc. 2021, 43, 3303–3308. [Google Scholar] [CrossRef]
- Zhang, M.; Xu, H.; Zeze, A.; Liu, X.; Tao, M. Coating performance, durability and anti-corrosion mechanism of organic modified geopolymer composite for marine concrete protection. Cem. Concr. Compos. 2022, 129, 104495. [Google Scholar] [CrossRef]
- Klassert, A.; Tikana, L. Copper and Copper–Nickel Alloys–An Overview. In Corrosion Behaviour and Protection of Copper and Aluminium Alloys in Seawater; Woodhead Publishing: Sawston, UK, 2007; pp. 47–61. [Google Scholar]
- Guo, J.; Yang, S.; Shang, C.; Wang, Y.; He, X. Influence of carbon content and microstructure on corrosion behaviour of low alloy steels in a Cl− containing environment. Corros. Sci. 2009, 51, 242–251. [Google Scholar] [CrossRef]
- Chen, Y.Y.; Tzeng, H.J.; Wei, L.I.; Wang, L.; Oung, J.C.; Shih, H.C. Corrosion resistance and mechanical properties of low-alloy steels under atmospheric conditions. Corros. Sci. 2005, 47, 1001–1021. [Google Scholar] [CrossRef]
- Cetin, D.; Aksu, M.L. Corrosion behavior of low-alloy steel in the presence of Desulfotomaculum sp. Corros. Sci. 2009, 51, 1584–1588. [Google Scholar] [CrossRef]
- Kearns, J.R.; Deverell, H.E. The use of nitrogen to improve the corrosion resistance of FeCrNiMo alloys for the chemical process industries. Mater. Perform. 1987, 26, 6. [Google Scholar]
- Tavares, L.M.; da Costa, E.M.; de Oliveira Andrade, J.J.; Hubler, R.; Huet, B. Effect of calcium carbonate on low carbon steel corrosion behavior in saline CO2 high pressure environments. Appl. Surf. Sci. 2015, 359, 143–152. [Google Scholar] [CrossRef]
- Yang, Y.; Cheng, X.; Zhao, J.; Fan, Y.; Li, X. A study of rust layer of low alloy structural steel containing 0.1% Sb in atmospheric environment of the Yellow Sea in China. Corros. Sci. 2021, 188, 109549. [Google Scholar] [CrossRef]
- Wu, W.; Hao, W.K.; Liu, Z.Y.; Li, X.; Du, C.W.; Liao, W.J. Corrosion behavior of E690 high-strength steel in alternating wet-dry marine environment with different pH values. J. Mater. Eng. Perform. 2015, 24, 4636–4646. [Google Scholar] [CrossRef]
- Fan, E.; Zhao, Q.; Wang, S.; Liu, B.; Yang, Y.; Huang, Y.; Luo, H.; Li, X. Investigation of the hydrogen-induced cracking of E690 steel welded joint in simulated seawater. Mater. Sci. Eng. A 2022, 854, 143802. [Google Scholar] [CrossRef]
- Li, Y.; You, Y.; Lv, X. Comparative study on the crack growth behaviours of E690 steel and heat-affected zone microstructures under cathodic potential in artificial seawater based on mechano-electrochemical effect at crack tip. Corros. Sci. 2022, 198, 110103. [Google Scholar] [CrossRef]
- Cai, J.; Sun, L.; Ma, H.; Li, X. Corrosion characteristics of Q690qE high-strength bridge steel in simulated coastal–industrial environment and its influence on mechanical and corrosion fatigue behaviors. Constr. Build. Mater. 2022, 341, 127830. [Google Scholar] [CrossRef]
- Li, Q.; Xia, X.; Pei, Z. Long-term corrosion monitoring of carbon steels and environmental correlation analysis via the random forest method. Npj Mater. Degrad. 2022, 6, 24. [Google Scholar] [CrossRef]
- Jia, J.; Cheng, X.; Yang, X.; Li, X.; Li, W. A study for corrosion behavior of a new-type weathering steel used in harsh marine environment. Constr. Build. Mater. 2020, 259, 119760. [Google Scholar] [CrossRef]
- Xiao, X.M.; Peng, Y.; Ma, C.Y.; Tian, Z.L. Effects of alloy element and microstructure on corrosion resistant property of deposited metals of weathering steel. J. Iron Steel Res. Int. 2016, 23, 171–177. [Google Scholar] [CrossRef]
- Liu, Q.; Ma, Q.X.; Chen, G.Q.; Cao, X.; Zhang, S.; Pan, J.L.; Shi, Q.Y. Enhanced corrosion resistance of AZ91 magnesium alloy through refinement and homogenization of surface microstructure by friction stir processing. Corros. Sci. 2018, 138, 284–296. [Google Scholar] [CrossRef]
- Gong, L.; Xing, Q.; Wang, H. Corrosion behaviors of weathering steel 09CuPCrNi welded joints in simulated marine atmospheric environment. Anti-Corros. Methods Mater. 2016, 63, 295–300. [Google Scholar] [CrossRef]
- Wu, W.; Cheng, X.; Zhao, J.; Li, X. Benefit of the corrosion product film formed on a new weathering steel containing 3% nickel under marine atmosphere in Maldives. Corros. Sci. 2020, 165, 108416. [Google Scholar] [CrossRef]
- Li, Q.X.; Wang, Z.Y.; Han, W.; Han, E.H. Characterization of the rust formed on weathering steel exposed to Qinghai salt lake atmosphere. Corros. Sci. 2008, 50, 365–371. [Google Scholar] [CrossRef]
- Kamimura, T.; Hara, S.; Miyuki, H.; Yamashita, M.; Uchida, H. Composition and protective ability of rust layer formed on weathering steel exposed to various environments. Corros. Sci. 2006, 48, 2799–2812. [Google Scholar] [CrossRef]
- Ma, H.C.; Liu, Z.Y.; Du, C.W.; Wang, H.R.; Li, X.G.; Zhang, D.W.; Cui, Z.Y. Stress corrosion cracking of E690 steel as a welded joint in a simulated marine atmosphere containing sulphur dioxide. Corros. Sci. 2015, 100, 627–641. [Google Scholar] [CrossRef]
- Liu, C.; Yuan, H.; Li, X.; Che, Z.; Yang, S.; Du, C. Initiation mechanism of localized corrosion induced by Al2O3-MnS composite inclusion in low-alloy structural steel. Metals 2022, 12, 587. [Google Scholar] [CrossRef]
- Zhang, X.; Wei, W.; Cheng, L.; Liu, J.; Wu, K.; Liu, M. Effects of niobium and rare earth elements on microstructure and initial marine corrosion behavior of low-alloy steels. Appl. Surf. Sci. 2019, 475, 83–93. [Google Scholar] [CrossRef]
- Liu, Y.H.; Cheng, W.L.; Zhang, Y.; Niu, X.; Wang, H.X.; Wang, L.F. Microstructure, tensile properties, and corrosion resistance of extruded Mg-1Bi-1Zn alloy: The influence of minor Ca addition. J. Alloys Compd. 2020, 815, 152414. [Google Scholar] [CrossRef]
- Xue, W.; Li, Z.; Xiao, K.; Yu, W.; Song, J.; Chen, J.; Dong, C.; Li, X. Initial microzonal corrosion mechanism of inclusions associated with the precipitated (Ti, Nb) N phase of Sb-containing weathering steel. Corros. Sci. 2020, 163, 108232. [Google Scholar] [CrossRef]
- Guo, L.; Huang, Q.; Zhang, C.; Wang, J.; Shen, G.; Ban, C.; Guo, L. Study on the formation of Mn-P coatings with significant corrosion resistance on Q235 carbon steels by adjusting the ratio of phosphorus to manganese. Corros. Sci. 2021, 178, 108960. [Google Scholar] [CrossRef]
- Li, B.; Yin, X.; Xue, S.; Li, B.; Mu, P.; Li, J. Facile fabrication of graphene oxide and MOF-based superhydrophobic dual-layer coatings for enhanced corrosion protection on magnesium alloy. Appl. Surf. Sci. 2022, 580, 152305. [Google Scholar] [CrossRef]
- Wang, Z.; Liu, J.; Wu, L.; Han, R.; Sun, Y. Study of the corrosion behavior of weathering steels in atmospheric environments. Corros. Sci. 2013, 67, 1–10. [Google Scholar] [CrossRef]
- Jiang, S.; Cao, J.P.; Liu, Z.Y.; Xu, X.X.; Yang, J.W.; Li, X.T. Effect of Ni on the oxidation behavior of corrosion products that form on low alloy steel exposed to a thin electrolyte layer environment. Corros. Sci. 2022, 206, 110471. [Google Scholar] [CrossRef]











| C | Si | Mn | P | S | Cr | Cu | Ni | Al | Nb | Ca | Sb | Fe | |
|---|---|---|---|---|---|---|---|---|---|---|---|---|---|
| 1# | 0.055 | 0.73 | 1.53 | 0.0061 | 0.0029 | 0.91 | 0.44 | 0.90 | 0.010 | 0.093 | - | - | Bal. |
| 2# | 0.052 | 0.81 | 1.60 | 0.0067 | 0.0034 | 0.90 | 0.42 | 0.86 | 0.0025 | 0.15 | 0.0004 | 0.095 |
| Time | Rs (Ω·cm2) | Qf (μF ·cm−2·sn−1) | nf | Rf (Ω·cm2) | Qdl (μF ·cm−2·sn−1) | ndl | Rct (Ω·cm2) | |
|---|---|---|---|---|---|---|---|---|
| 1# | 0 h | 105.5 | 4.184 × 10−4 | 0.8372 | 103.5 | 4.441 × 10−4 | 0.9133 | 1369 |
| 4 h | 119.5 | 6.284 × 10−5 | 0.7763 | 145.7 | 1.204 × 10−3 | 0.8572 | 1149 | |
| 12 h | 107.7 | 5.820 × 10−4 | 0.7356 | 155 | 2.862 × 10−4 | 0.7758 | 1680 | |
| 2# | 0 h | 96.71 | 1.871 × 10−3 | 0.9089 | 96.52 | 7.913 × 10−4 | 0.8816 | 1534 |
| 4 h | 109 | 8.698 × 10−4 | 0.7535 | 134.7 | 1.124 × 10−3 | 0.8398 | 1270 | |
| 12 h | 100.9 | 6.634 × 10−4 | 0.8 | 104.3 | 7.467 × 10−4 | 0.8 | 1790 |
Disclaimer/Publisher’s Note: The statements, opinions and data contained in all publications are solely those of the individual author(s) and contributor(s) and not of MDPI and/or the editor(s). MDPI and/or the editor(s) disclaim responsibility for any injury to people or property resulting from any ideas, methods, instructions or products referred to in the content. |
© 2023 by the authors. Licensee MDPI, Basel, Switzerland. This article is an open access article distributed under the terms and conditions of the Creative Commons Attribution (CC BY) license (https://creativecommons.org/licenses/by/4.0/).
Share and Cite
Jiang, J.; Li, N.; Li, Q.; Jiang, Z.; Wang, B.; He, Y.; Liu, F.; Liu, C. Effect of Ca and Sb on the Corrosion Resistance of E690 Steel in Marine Atmosphere Environment. Metals 2023, 13, 826. https://doi.org/10.3390/met13050826
Jiang J, Li N, Li Q, Jiang Z, Wang B, He Y, Liu F, Liu C. Effect of Ca and Sb on the Corrosion Resistance of E690 Steel in Marine Atmosphere Environment. Metals. 2023; 13(5):826. https://doi.org/10.3390/met13050826
Chicago/Turabian StyleJiang, Jianbo, Nannan Li, Qinglin Li, Zaihao Jiang, Bingqin Wang, Yinyin He, Fangfang Liu, and Chao Liu. 2023. "Effect of Ca and Sb on the Corrosion Resistance of E690 Steel in Marine Atmosphere Environment" Metals 13, no. 5: 826. https://doi.org/10.3390/met13050826
APA StyleJiang, J., Li, N., Li, Q., Jiang, Z., Wang, B., He, Y., Liu, F., & Liu, C. (2023). Effect of Ca and Sb on the Corrosion Resistance of E690 Steel in Marine Atmosphere Environment. Metals, 13(5), 826. https://doi.org/10.3390/met13050826

