Friction Behavior and Self-Lubricating Mechanism of SLD-MAGIC Cold Worked Die Steel during Different Wear Conditions
Abstract
:1. Introduction
2. Materials and Methods
3. Results
3.1. Analysis of Structural Characteristics
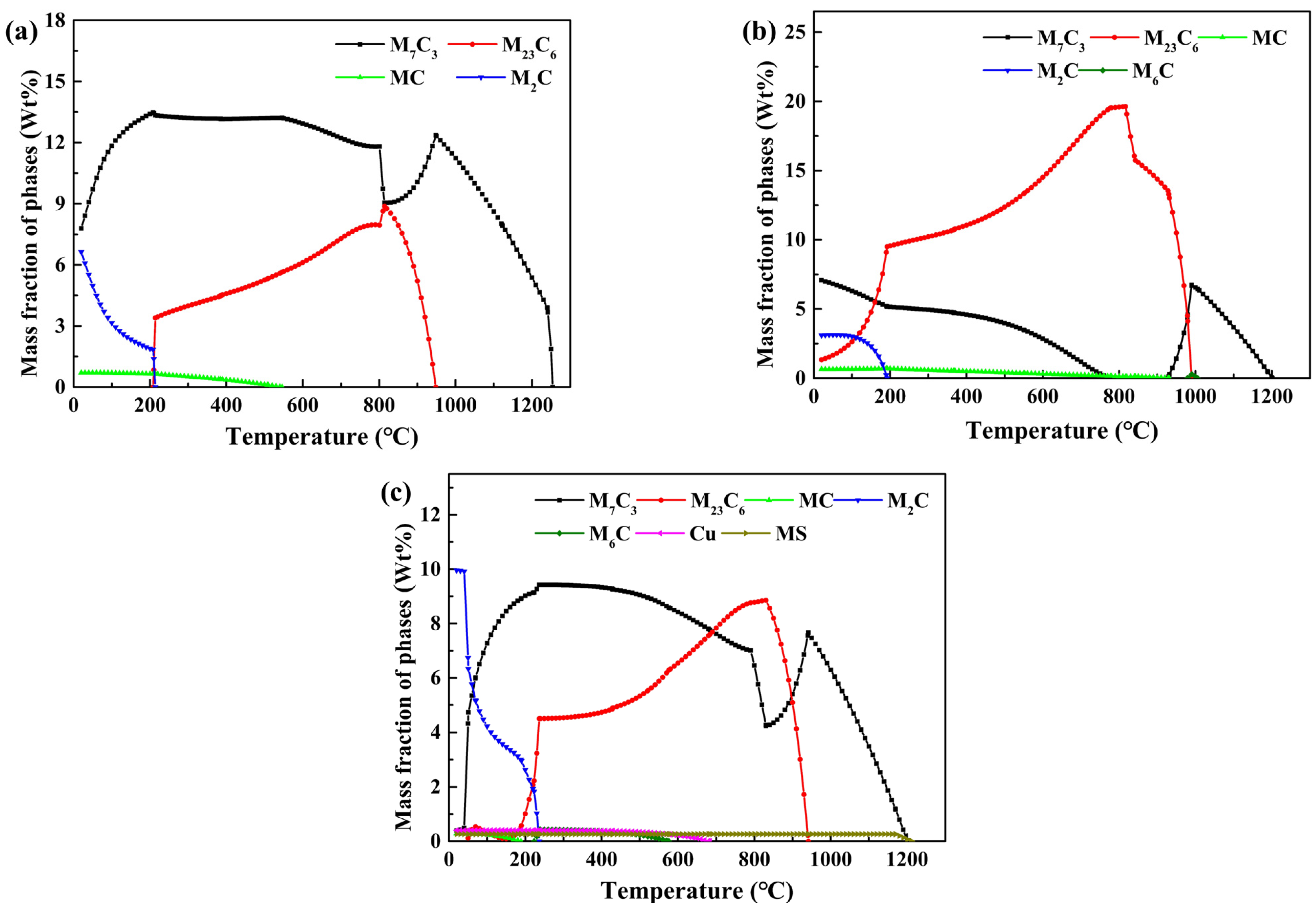
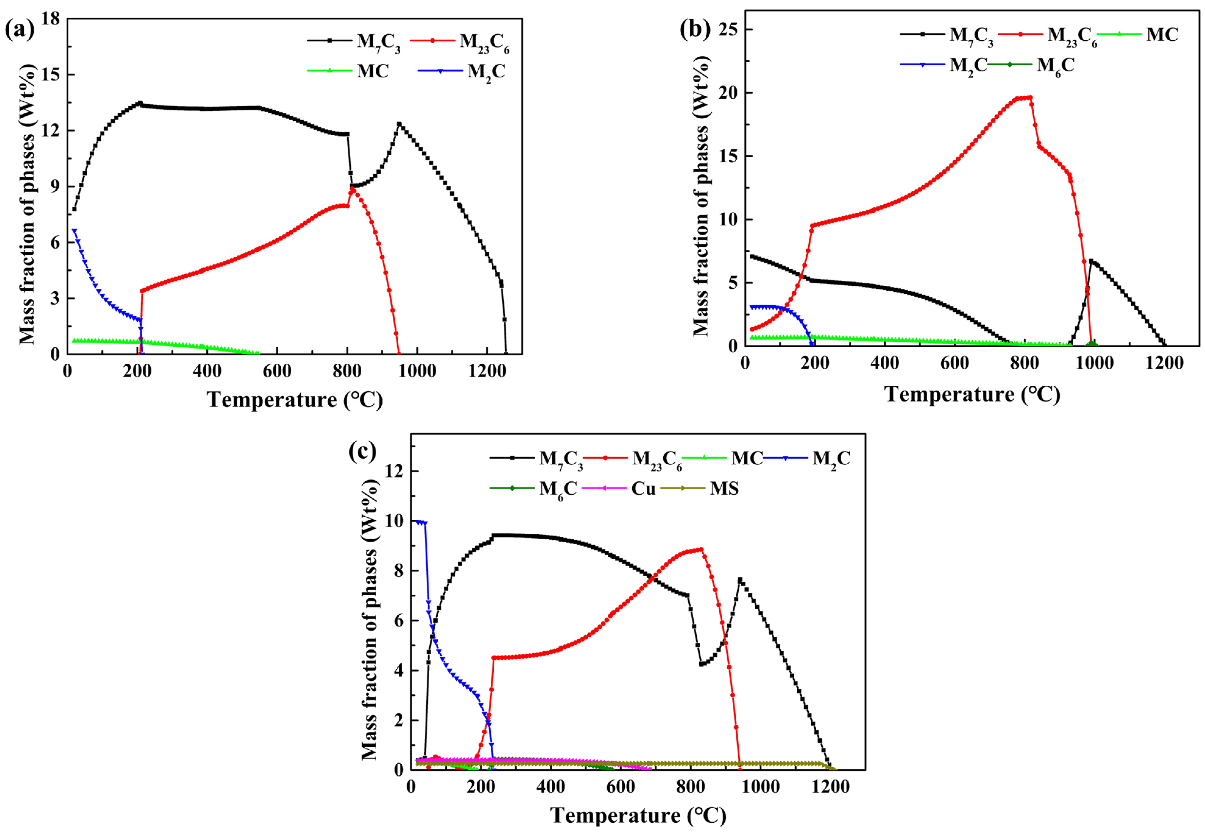
3.2. Statistics and Analysis of Carbides
3.3. Performance of Wear Resistance
3.3.1. The Friction Coefficient
3.3.2. The Wear Morphology
3.3.3. The Wear Volume
4. Discussion
4.1. Effect of Carbides on Wear Resistance
4.2. Effect of Sulfides on Wear Resistance
4.3. Effect of Oxides on Wear Resistance
5. Conclusions
- The tempered structure of SLD-MAGIC is composed of martensite matrix, coarse primary carbides, fine carbides and slender sulfides. Further, primary carbide and secondary carbide particles formed during heat treatment of the steel enhance the hardness and wear resistance of tool steel.
- During circular reciprocating sliding of the tool steel and GCr15 steel ball, with the increase of normal load, the wear mechanism changed from abrasive wear to adhesive wear and then to oxidation wear.
- The wear resistance of cold worked tool steel is closely related to the type, content, size and distribution of carbides. The total volume fraction of the primary carbides of SKD11 is 10%, which is 4.8% and 4.2% higher than those of DC53 and SLD-MAGIC, respectively, meanwhile, the volume fractions of the secondary carbides were found to be larger by approximately 3.2% and 2.5%, respectively. In addition, tempered SKD11 steel has 7% carbide >1 µm, which is higher than DC53 and SLD-MAGIC. Therefore, the higher the carbide content, the smaller the equivalent circular diameter (ECD) of the carbide, the better the wear resistance of the tool steel.
- The SLD-MAGIC steel could realize self-lubrication and, compared with SKD11 and DC53 steel, the friction coefficient and wear volume of SLD-MAGIC steel were reduced by 0.1 to 0.3 and 10% to 30%, respectively, under the same normal load. The self-lubricating mechanism was that the sulfide with a volume fraction of 4.5%, which was easy to peel off under high normal load, forms a lubricating film in the local area, which played the role of lubrication and wear reduction, thus reducing the material spalling and reducing the wear volume.
Author Contributions
Funding
Institutional Review Board Statement
Informed Consent Statement
Data Availability Statement
Conflicts of Interest
References
- Kara, F.; Küçük, Y.; Özbek, O.; Özbek, N.A.; Gök, M.S.; Altaş, E.; Uygur, İ. Effect of cryogenic treatment on wear behavior of Sleipner cold work tool steel. Tribol. Int. 2023, 180, 108301. [Google Scholar] [CrossRef]
- Mashreghi, A.R.; Soleimani, S.M.Y.; Saberifar, S. The investigation of wear and corrosion behavior of plasma nitrided DIN 1.2210 cold work tool steel. Mater. Des. 2013, 46, 532–538. [Google Scholar] [CrossRef]
- He, S.; Li, C.; Ren, J.; Han, Y. Investigation on Alloying Element Distribution in Cr8Mo2SiV Cold-Work Die Steel Ingot during Homogenization. Steel Res. Int. 2018, 89, 1800148. [Google Scholar] [CrossRef]
- Cora, Ö.N.; Namiki, K.; Koç, M. Wear performance assessment of alternative stamping die materials utilizing a novel test system. Wear 2009, 267, 1123–1129. [Google Scholar] [CrossRef]
- Soleimani, S.M.Y.; Mashreghi, A.R.; Ghasemi, S.S.; Moshrefifar, M. The effect of plasma nitriding on the fatigue behavior of DIN 1.2210 cold work tool steel. Mater. Des. 2012, 35, 87–92. [Google Scholar] [CrossRef]
- Sulaiman, M.H.; Farahana, R.N.; Bienk, K.; Nielsen, C.V.; Bay, N. Effects of DLC/TiAlN-coated die on friction and wear in sheet-metal forming under dry and oil-lubricated conditions: Experimental and numerical studies. Wear 2019, 438–439, 203040. [Google Scholar] [CrossRef]
- Trevisiol, C.; Jourani, A.; Bouvier, S. Effect of hardness, microstructure, normal load and abrasive size on friction and on wear behaviour of 35NCD16 steel. Wear 2017, 388–389, 101–111. [Google Scholar] [CrossRef]
- Bourithis, L.; Papadimitriou, G.D.; Sideris, J. Comparison of wear properties of tool steels AISI D2 and O1 with the same hardness. Tribol. Int. 2006, 39, 479–489. [Google Scholar] [CrossRef]
- Essam, M.A.; Shash, A.Y.; El-Fawakhry, M.K.; El-Kashif, E.; Megahed, H. Influence of micro-alloying elements and deep cryogenic treatment on microstructure and mechanical properties of S5 cold work shock resisting tool steel. Results Mater. 2023, 17, 100374. [Google Scholar] [CrossRef]
- Tang, L.; Gao, C.; Huang, J.; Zhang, H.; Chang, W. Dry sliding friction and wear behaviour of hardened AISI D2 tool steel with different hardness levels. Tribol. Int. 2013, 66, 165–173. [Google Scholar] [CrossRef]
- Kumar, S.; Ranjan Maity, S.; Patnaik, L. A comparative study on wear behaviors of hot work and cold work tool steel with same hardness under dry sliding tribological test. Mater. Today Proc. 2021, 44, 949–954. [Google Scholar] [CrossRef]
- Zappelino, B.F.; de Almeida, E.A.d.S.; Krelling, A.P.; da Costa, C.E.; Fontana, L.C.; Milan, J.C.G. Tribological behavior of duplex-coating on Vanadis 10 cold work tool steel. Wear 2020, 442–443, 203133. [Google Scholar] [CrossRef]
- Kubota, K.; Ohba, T.; Morito, S. Frictional properties of new developed cold work tool steel for high tensile strength steel forming die. Wear 2011, 271, 2884–2889. [Google Scholar] [CrossRef]
- Das, D.; Dutta, A.K.; Toppo, V.; Ray, K.K. Effect of Deep Cryogenic Treatment on the Carbide Precipitation and Tribological Behavior of D2 Steel. Mater. Manuf. Process. 2007, 22, 474–480. [Google Scholar] [CrossRef]
- Gultekin, D.; Uysal, M.; Aslan, S.; Alaf, M.; Guler, M.O.; Akbulut, H. The effects of applied load on the coefficient of friction in Cu-MMC brake pad/Al-SiCp MMC brake disc system. Wear 2010, 270, 73–82. [Google Scholar] [CrossRef]
- Ko, D.-C.; Kim, S.-G.; Kim, B.-M. Influence of microstructure on galling resistance of cold-work tool steels with different chemical compositions when sliding against ultra-high-strength steel sheets under dry condition. Wear 2015, 338–339, 362–371. [Google Scholar] [CrossRef]
- Bressan, J.D.; Daros, D.P.; Sokolowski, A.; Mesquita, R.A.; Barbosa, C.A. Influence of hardness on the wear resistance of 17-4 PH stainless steel evaluated by the pin-on-disc testing. J. Mater. Process. Technol. 2008, 205, 353–359. [Google Scholar] [CrossRef]
- Li, C.; Deng, X.; Wang, Z. Friction behaviour and self-lubricating mechanism of low alloy martensitic steel during reciprocating sliding. Wear 2021, 482–483, 203972. [Google Scholar] [CrossRef]
- Wu, J.; Wang, H.; Zhang, Z.; Wang, C.; Hou, Z.; Wan, S.; Wu, D.; Ouyang, X. High-pressure synthesis and performance analysis of WC-cBN-MoS2 self-lubricating ceramic composites. Int. J. Refract. Met. Hard Mater. 2023, 110, 105989. [Google Scholar] [CrossRef]
- Tong, Y.; Zhang, T.; Zhang, S. Influence of oxides on the formation of self-lubricating layer and anti-wear performance during sliding. Tribol. Int. 2023, 179, 108188. [Google Scholar] [CrossRef]
- Yin, C.-H.; Yang, C.; Wu, Y.-Z.; Liang, Y.-L.; Zhu, Z.-L. Synergistic effect of cementite amorphization and oxidation on forming a nanocomposite self-lubricating surface during sliding. Compos. Part B Eng. 2022, 236, 109799. [Google Scholar] [CrossRef]














| Steel | Chemical Composition (wt%) | Hardness (HRC) | |||||||||||
|---|---|---|---|---|---|---|---|---|---|---|---|---|---|
| C | Si | Mn | Cr | Mo | V | W | Ni | Cu | Al | P | S | ||
| SKD11 | 1.46 | 0.34 | 0.24 | 11.6 | 0.97 | 0.30 | \ | \ | \ | \ | 0.02 | 0.003 | 62.7 |
| DC53 | 1.05 | 0.96 | 0.33 | 8.12 | 2.18 | 0.35 | \ | \ | \ | \ | 0.02 | 0.002 | 61.5 |
| SLD-MAGIC | 1.07 | 0.93 | 0.46 | 8.09 | 0.93 | \ | 0.28 | 0.43 | 0.40 | 0.25 | 0.02 | 0.097 | 61.3 |
| Point | Fe | Cr | V | Mo | S | Mn |
|---|---|---|---|---|---|---|
| 1 | 36.8 | 37.6 | 0 | 14.4 | - | - |
| 2 | 41.8 | 44.2 | 1.1 | 0.9 | - | - |
| 3 | 60.6 | 24.8 | - | 3.9 | - | - |
| 4 | 58.3 | 22.0 | 0.4 | 4.9 | - | - |
| 5 | 34.9 | 33.5 | 5.5 | 11.7 | - | - |
| 6 | 35.7 | 36.6 | 4.0 | 9.6 | - | - |
| 7 | 47.7 | 4.6 | 1.6 | 30.3 | - | - |
| 8 | 26.0 | 43.1 | 4.0 | 5.9 | - | - |
| 9 | 8.1 | 3.4 | 0.4 | 4.3 | 26.6 | 41.1 |
| 10 | 37.9 | 48.1 | - | 1.6 | - | - |
| 11 | 4.5 | 2.0 | 0.8 | 0.6 | 26.8 | 50.4 |
| 12 | 35.8 | 46.2 | 0.7 | 2.6 | - | - |
| 13 | 54.6 | 33.7 | - | 1.9 | - | - |
| Steel | All Carbides | Primary Carbide | Secondary Carbide | ||||
|---|---|---|---|---|---|---|---|
| M7C3 | M6C | M23C6 | MC | Total | |||
| SKD11 | 16.8 | 10.0 | 2.8 | 0 | 3.3 | 0.7 | 6.8 |
| DC53 | 15.2 | 5.2 | 0.1 | 0 | 9.5 | 0.4 | 10.0 |
| SLD-MAGIC | 15.1 | 5.8 | 3.9 | 0.2 | 5.23 | 0 | 9.3 |
| Point | Fe | O | Cr | V | Mo | S | Si |
|---|---|---|---|---|---|---|---|
| 1 | 45.4 | 40.4 | 7.3 | 0 | 0 | 0 | 6.9 |
| 2 | 36.0 | 0 | 41.9 | 2.7 | 1.6 | 0 | 0.2 |
| Point | Mn | S | Fe | O | Cr | Mo |
|---|---|---|---|---|---|---|
| 1 | 0 | 0 | 53.6 | 29.7 | 5.2 | 1.4 |
| 2 | 14.3 | 7.7 | 37.0 | 12.8 | 8.4 | 4.4 |
| 3 | 32.8 | 18.5 | 27.7 | 0 | 3.9 | 4.2 |
Disclaimer/Publisher’s Note: The statements, opinions and data contained in all publications are solely those of the individual author(s) and contributor(s) and not of MDPI and/or the editor(s). MDPI and/or the editor(s) disclaim responsibility for any injury to people or property resulting from any ideas, methods, instructions or products referred to in the content. |
© 2023 by the authors. Licensee MDPI, Basel, Switzerland. This article is an open access article distributed under the terms and conditions of the Creative Commons Attribution (CC BY) license (https://creativecommons.org/licenses/by/4.0/).
Share and Cite
Wu, H.; Mao, H.; Ning, H.; Deng, Z.; Wu, X. Friction Behavior and Self-Lubricating Mechanism of SLD-MAGIC Cold Worked Die Steel during Different Wear Conditions. Metals 2023, 13, 809. https://doi.org/10.3390/met13040809
Wu H, Mao H, Ning H, Deng Z, Wu X. Friction Behavior and Self-Lubricating Mechanism of SLD-MAGIC Cold Worked Die Steel during Different Wear Conditions. Metals. 2023; 13(4):809. https://doi.org/10.3390/met13040809
Chicago/Turabian StyleWu, Hongqing, Hong Mao, Hui Ning, Zhipeng Deng, and Xiaochun Wu. 2023. "Friction Behavior and Self-Lubricating Mechanism of SLD-MAGIC Cold Worked Die Steel during Different Wear Conditions" Metals 13, no. 4: 809. https://doi.org/10.3390/met13040809
APA StyleWu, H., Mao, H., Ning, H., Deng, Z., & Wu, X. (2023). Friction Behavior and Self-Lubricating Mechanism of SLD-MAGIC Cold Worked Die Steel during Different Wear Conditions. Metals, 13(4), 809. https://doi.org/10.3390/met13040809
