Fracture Kinetics and Mechanisms of Ultrafine-Grained Materials during Fatigue Tests in the Low-Cycle Fatigue Region
Abstract
1. Introduction
2. Materials and Methods
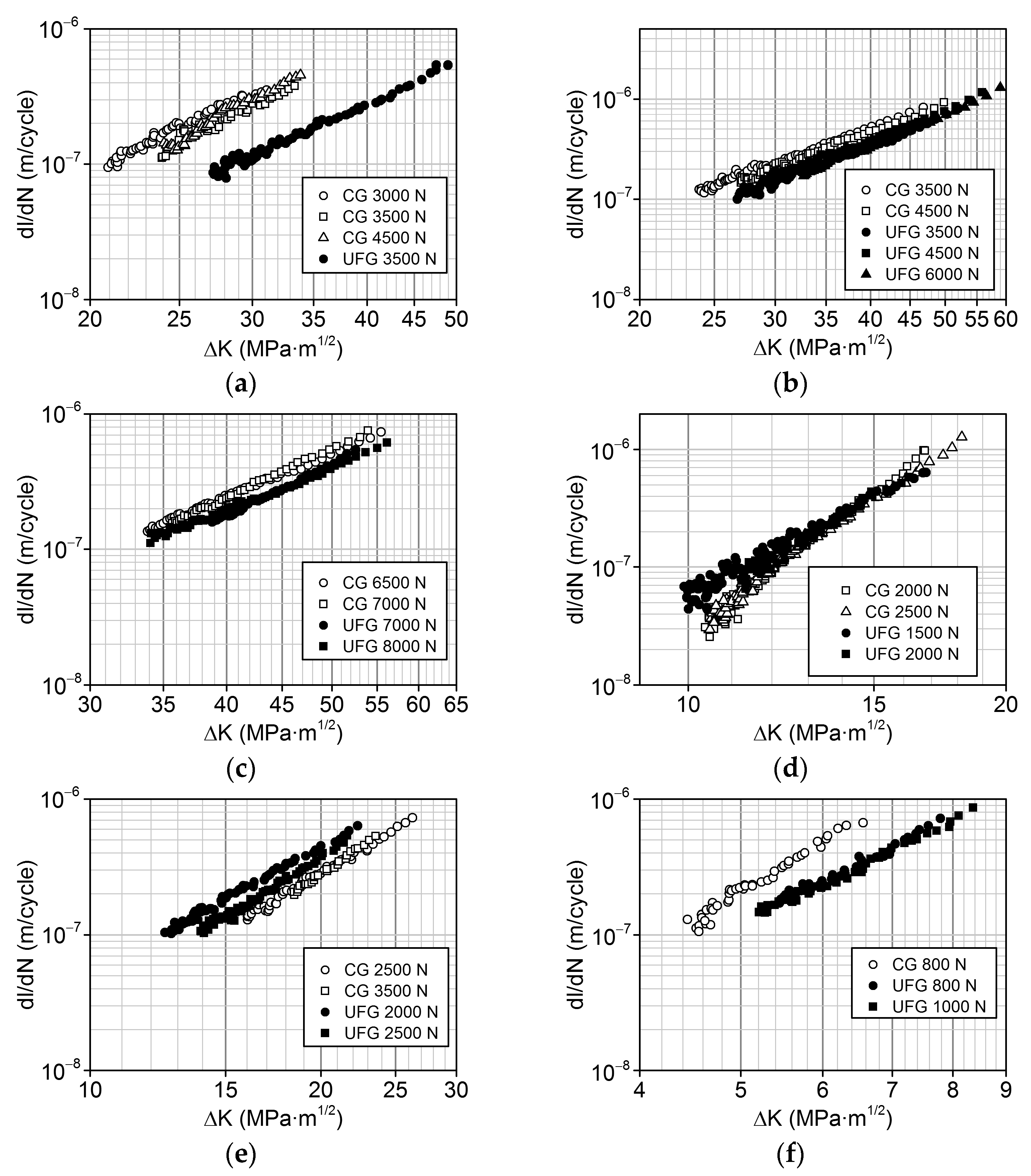
3. Results
4. Discussion
5. Conclusions
- The nanostructuring of the materials under study via ECAP processing has an ambiguous effect on the total number of cycles to failure during low-cycle fatigue tests of the samples.
- The number of cycles to fatigue crack initiation (Nin) in both the CG and UFG materials increases with the increasing total life of the samples (N). Percentage-wise, the Nin quantity does not depend on the material state or the crystal lattice type.
- At the same value of the coefficient (), for the majority of the investigated UFG materials, the fatigue crack propagation rate (dl/dN) is close to or lower than in the CG materials.
- For the UFG materials, the values of the coefficient n in the Paris equation describing the straight-line portion of the kinetic diagram of fatigue fracture are either lower than or close to those for the CG materials. Consequently, the UFG materials are less sensitive to cyclic overload that may emerge during the operation of products.
- The fatigue fracture mechanisms of the investigated materials in the CG and UFG states, in spite of certain differences associated with the crystal lattice type, are mostly similar, although the fracture of the UFG materials is accompanied by the formation of many secondary cracks.
Author Contributions
Funding
Institutional Review Board Statement
Informed Consent Statement
Data Availability Statement
Acknowledgments
Conflicts of Interest
References
- McEvily, A.J. Metal Failures: Mechanisms, Analysis, Prevention; Wiley & Sons: New York, NY, USA, 2002; 324p. [Google Scholar]
- Klevtsov, G.V.; Botvina, L.R.; Klevtsova, N.A.; Limar, L.V. Fractodiagnostics of the Fracture of Metallic Materials and Structures; MISIS: Moscow, Russia, 2007; 264p. [Google Scholar]
- Semenova, I.P.; Klevtsov, G.V.; Klevtsova, N.A.; Dyakonov, G.S.; Matchin, A.A.; Valiev, R.Z. Nanostructured titanium for maxillofaxial mini-implants. Adv. Eng. Mater. 2016, 18, 1216–1224. [Google Scholar] [CrossRef]
- Klevtsov, G.; Valiev, R.; Klevtsova, N.; Kulyasova, O.; Merson, E.; Linderov, M.; Ganeev, A. Kinetics and the fracture mechanism in low-cycle fatigue range and static crack resistance of the Mg6Al magnesium alloy after annealing and equal channel angular pressing. Lett. Mater. 2020, 10, 398–403. [Google Scholar] [CrossRef]
- Valiev, R.Z.; Zhilyaev, A.P.; Langdon, T. G Bulk Nanostructured Materials: Fundamentals and Applications; TMS/Wiley: Hoboken, NJ, USA, 2014; 440p. [Google Scholar]
- Chung, C.; Kim, J.; Kim, H.; Kim, W. Improvement of high-cycle fatigue life in a 6061 Al alloy produced by equal channel angular pressing. Mater. Sci. Eng. A 2002, 337, 39–44. [Google Scholar] [CrossRef]
- Vinogradov, A.; Nagasaki, S.; Patlan, V.; Kitagawa, K.; Kawazoe, M. Fatigue properties of 5056 Al-Mg alloy produced by equal-channel angular pressing. Nanostruct. Mater. 1999, 11, 925–934. [Google Scholar] [CrossRef]
- Pao, P.; Jones, H.; Cheng, S.; Feng, C. Fatigue crack propagation in ultrafine grained Al–Mg alloy. Int. J. Fatigue 2005, 27, 1164–1169. [Google Scholar] [CrossRef]
- Cavaliere, P. Fatigue properties and crack behavior of ultra-fine and nanocrystalline pure metals. Int. J. Fatigue 2009, 31, 1476–1489. [Google Scholar] [CrossRef]
- Kim, H.-K.; Choi, M.-I.; Chung, C.-S.; Shin, D.H. Fatigue properties of ultrafine grained low carbon steel produced by equal channel angular pressing. Mater. Sci. Eng. A 2003, 340, 243–250. [Google Scholar] [CrossRef]
- Hanlon, T.; Tabachnikova, E.; Suresh, S. Fatigue behavior of nanocrystalline metals and alloys. Int. J. Fatigue 2005, 27, 1147–1158. [Google Scholar] [CrossRef]
- Meyer, L.W.; Sommer, K.; Halle, T.; Hockauf, M. Crack growth in ultrafine-grained AA6063 produced by equal-channel an-gular pressing. J. Mater. Sci. 2008, 43, 7426–7431. [Google Scholar] [CrossRef]
- Estrin, Y.; Vinogradov, A. Fatigue behavior of light alloys with ultrafine grain structure produced by severe plastic deformation: An overview. Int. J. Fatigue 2010, 32, 898–907. [Google Scholar] [CrossRef]
- Vinogradov, A. Fatigue limit and crack growth in ultra-fine grain metals produced by severe plastic deformation. J. Mater. Sci. 2006, 42, 1797–1808. [Google Scholar] [CrossRef]
- Broek, D. Elementary Engineering Fracture Mechanics; Noordhoff International Publishing: Leyden, The Netherlands, 1974; 408p. [Google Scholar]
- Paris, P.; Erdogan, F. A Critical Analysis of Crack Propagation Laws. J. Basic Eng. 1963, 85, 528–533. [Google Scholar] [CrossRef]
- Valiev, R.Z.; Straumal, B.; Langdon, T.G. Using Severe Plastic Deformation to Produce Nanostructured Materials with Superior Properties. Annu. Rev. Mater. Res. 2022, 52, 357–382. [Google Scholar] [CrossRef]
- Islamgaliev, R.K.; Nikitina, M.A.; Ganeev, A.V.; Sitdikov, V.D. Strengthening mechanisms in ultrafine-grained ferrit-ic/martensitic steel produced by equal channel angular pressing. Mater. Sci. Eng. A 2019, 744, 163–170. [Google Scholar] [CrossRef]
- Klevtsov, G.V.; Merson, D.L.; Klevtsova, N.A.; Merson, E.D.; Linderov, M.L.; Zasypkin, S.V.; Bondarenko, A.V. The kinetics and mechanism of fatigue fracture of samples of 40H and 38H2N2MA steels. Sci. Vector Togliatti State Univ. 2019, 1, 30–36. [Google Scholar] [CrossRef]
- Kocańda, S. Fatigue Cracking of Metals; Metallurgiya: Moscow, Russia, 1990; 623p. [Google Scholar]
- Botvina, L.R. Fracture: Kinetics, Mechanisms, General Regularities; Nauka: Moscow, Russia, 2008; 334p. [Google Scholar]
- Ueno, H.; Kakihata, K.; Kaneko, Y.; Hashimoto, S.; Vinogradov, A. Enhanced fatigue properties of nanostructured austenitic SUS 316L stainless steel. Acta Mater. 2011, 59, 7060–7069. [Google Scholar] [CrossRef]
- Semenova, I.P.; Modina, Y.M.; Stotskiy, A.G.; Polyakov, A.V.; Pesin, M.V. Fatigue Properties of Ti Alloys with an Ultrafine Grained Structure: Challenges and Achievements. Metals 2022, 12, 312. [Google Scholar] [CrossRef]
- Ren, Y.; Lin, X.; Guo, P.; Yang, H.; Tan, H.; Chen, J.; Li, J.; Zhang, Y.; Huang, W. Low cycle fatigue properties of Ti-6Al-4V alloy fabricated by high-power laser directed energy deposition: Experimental and prediction. Int. J. Fatigue 2019, 127, 58–73. [Google Scholar] [CrossRef]
- Meyn, D.A.; Brooks, E.J. Microstructural origin of flutes and their use in distinguishing striationless fatigue cleavage from stress-corrosion cracking in titanium alloys. In Fractography and Materials Science; ASTM STP, 733, Gilbertson, L.N., Zipp, R.D., Eds.; American Society for Testing Materials: Philadelphia, PA, USA, 1981; pp. 5–31. [Google Scholar]
- Oh, Y.-J.; Hwang, T.-B.; Shin, B.M. A Comparison of Low-cycle Fatigue Properties in Stainless Steel Types 347N and 316N. Mater. Trans. 2005, 46, 317–322. [Google Scholar] [CrossRef]






| Steel | C | Cr | Ni | Mn | Mo | Si | Cu | Co | Al | W | V |
|---|---|---|---|---|---|---|---|---|---|---|---|
| C45 | 0.45 | - | - | - | - | - | - | - | - | - | - |
| 9MnSi5 | 0.09 | 0.08 | 0.1 | 1.26 | - | 0.64 | 0.14 | - | 0.02 | - | - |
| 12Cr-2W-2Ni-0.5Mo | 0.14 | 11.53 | 1.63 | 0.32 | 0.45 | 0.31 | - | - | - | 1.66 | 0.18 |
| Fe-0.02C-18Cr-8Ni | 0.023 | 17.95 | 7.95 | 1.85 | 0.35 | 0.38 | 0.6 | 0.15 | - | - | - |
| Alloy | Al | V | Zr | Si | Fe | C | Mn | Cl | Ca | N | H | O |
|---|---|---|---|---|---|---|---|---|---|---|---|---|
| Grade 4 Ti | - | - | - | - | 0.38 | 0.008 | - | - | - | 0.003 | 0.0006 | 0.32 |
| Ti-6Al-4V | 6.6 | 4.9 | 0.02 | 0.033 | 0.18 | 0.007 | - | - | - | - | - | - |
| Mg6Al | 6.0 | - | - | - | - | - | 0.245 | 0.0474 | 0.0459 | - | - | - |
| Alloy | Cu | Mg | Ni | Si | Fe | Mn | Cr | Zn | Ti |
|---|---|---|---|---|---|---|---|---|---|
| ENAW-2024 | 2.32 | 1.65 | 1.04 | 0.06 | 0.10 | 0.047 | 0.003 | 0.017 | 0.020 |
| Material | Lattice Type | State | dmean, μm | HB | σB, MPa | σ0.2, MPa | δ, % |
|---|---|---|---|---|---|---|---|
| 9MnSi5 | bcc | CG (initial) | 10 | 143 | 485 ± 3 | 354 ± 11 | 25 ± 1.5 |
| UFG (ECAP) | 0.45 | 331 | 838 ± 12 | 655 ± 64 | 10 ± 1.0 | ||
| C45 | bcc | CG (quenching and tempering) | 10 | 302 | 985 ± 15 | 839 ± 17 | 16 ± 0.8 |
| UFG (ECAP) | 0.56 | 346 | 985 ± 12 | 839 ± 25 | 5 ± 1.5 | ||
| 12Cr-2W-2Ni-0.5Mo | bcc | CG (quenching and tempering) | 30 | 311 | 950 ± 10 | 790 ± 15 | 7.0 ± 1.5 |
| UFG (ECAP and quenching) | 1.3 | 352 | 1350 ± 20 | 1200 ± 20 | 6.0 ± 1.0 | ||
| Grade 4 Ti | hcp | CG (annealing) | 25 | 255 | 750 ± 10 | 650 ± 30 | 20 ± 0.5 |
| UFG (ECAP) | 0.4 | 311 | 1050 ± 15 | 900 ± 25 | 14 ± 0.7 | ||
| Ti-6Al-4V | hcp | CG (initial) | 15 | 34 | 950 ± 20 | 849 ± 30 | 12 ± 1.5 |
| UFG (ECAP) | 0.24 | 36 | 1090 ± 30 | 990 ± 40 | 8 ± 0.3 | ||
| Mg6Al | hcp | CG (annealing) | 85 | 48 | 230 ± 10 | 75 ± 5 | 8.5 ± 1.5 |
| CG (ECAP) | 20 | 60 | 260 ± 15 | 100 ± 10 | 10 ± 1.0 | ||
| Fe-0.02C-18Cr-8Ni | fcc | CG (initial) | 30 | 159 | 624 ± 6 | 283 ± 2 | 65 ± 0.7 |
| UFG (ECAP) | 0.55 | 363 | 1112 ± 15 | 1065 ± 15 | 20 ± 0.5 | ||
| ENAW-2024 | fcc | CG (T6) | 40 | 122 | 370 ± 12 | 320 ± 10 | 16 ± 1.0 |
| UFG (ECAP) | 0.3 | 126 | 460 ± 15 | 420 ± 18 | 8 ± 1.0 |
| Material | Lattice Type | CG or UFG State | ΔP, N | ||||||
|---|---|---|---|---|---|---|---|---|---|
| 800 | 2000 | 2500 | 3500 | 4500 | 5500 | 7000 | |||
| 9MnSi5 | bcc | CG | - | - | - | 6.77 × 104 | - | - | - |
| UFG | - | - | - | 2.30 × 105 | - | - | - | ||
| C45 steel | bcc | CG | - | - | - | 1.33 × 105 | 5.89 × 104 | 3.58 × 104 | - |
| UFG | - | - | - | 1.31 × 105 | 5.28 × 104 | 2.90 × 104 | - | ||
| 12Cr-2W-2Ni-0.5Mo | bcc | CG | - | - | - | - | - | - | 2.14 × 104 |
| UFG | - | - | - | - | - | - | 2.45 × 104 | ||
| Grade 4 Ti | hcp | CG | - | 1.13 × 105 | - | - | - | - | - |
| UFG | - | 3.91 × 104 | - | - | - | - | - | ||
| Ti-6Al-4V | hcp | CG | - | - | 1.18 × 105 | 3.13 × 104 | - | - | - |
| UFG | - | - | 5.76 × 104 | 1.88 × 104 | - | - | - | ||
| Mg6Al | hcp | CG | 6.32 × 104 | - | - | - | - | - | - |
| CG (ECAP) | 5.09 × 104 | - | - | - | - | - | - | ||
| ENAW-2024 | fcc | CG | - | 1.52 × 105 | 8.20 × 104 | - | - | - | - |
| UFG | - | 6.10 × 104 | 4.03 × 104 | - | - | - | - | ||
| Material | Lattice Type | CG | UFG |
|---|---|---|---|
| 9MnSi5 steel | bcc | ||
| C45 steel | bcc | ||
| 12Cr-2W-2Ni-0.5Mo steel | bcc | ||
| Grade 4 Ti | hcp | ||
| Ti-6Al-4V titanium alloy | hcp | ||
| Mg6Al magnesium alloy | hcp | ||
| Fe-0.02C-18Cr-8 Niaustenitic steel | fcc | ||
| ENAW-2024 aluminum alloy | fcc |
Disclaimer/Publisher’s Note: The statements, opinions and data contained in all publications are solely those of the individual author(s) and contributor(s) and not of MDPI and/or the editor(s). MDPI and/or the editor(s) disclaim responsibility for any injury to people or property resulting from any ideas, methods, instructions or products referred to in the content. |
© 2023 by the authors. Licensee MDPI, Basel, Switzerland. This article is an open access article distributed under the terms and conditions of the Creative Commons Attribution (CC BY) license (https://creativecommons.org/licenses/by/4.0/).
Share and Cite
Klevtsov, G.V.; Valiev, R.Z.; Klevtsova, N.A.; Tyurkov, M.N.; Pigaleva, I.N.; Aksenov, D.A. Fracture Kinetics and Mechanisms of Ultrafine-Grained Materials during Fatigue Tests in the Low-Cycle Fatigue Region. Metals 2023, 13, 709. https://doi.org/10.3390/met13040709
Klevtsov GV, Valiev RZ, Klevtsova NA, Tyurkov MN, Pigaleva IN, Aksenov DA. Fracture Kinetics and Mechanisms of Ultrafine-Grained Materials during Fatigue Tests in the Low-Cycle Fatigue Region. Metals. 2023; 13(4):709. https://doi.org/10.3390/met13040709
Chicago/Turabian StyleKlevtsov, Gennadiy V., Ruslan Z. Valiev, Natal’ya A. Klevtsova, Maksim N. Tyurkov, Irina N. Pigaleva, and Denis A. Aksenov. 2023. "Fracture Kinetics and Mechanisms of Ultrafine-Grained Materials during Fatigue Tests in the Low-Cycle Fatigue Region" Metals 13, no. 4: 709. https://doi.org/10.3390/met13040709
APA StyleKlevtsov, G. V., Valiev, R. Z., Klevtsova, N. A., Tyurkov, M. N., Pigaleva, I. N., & Aksenov, D. A. (2023). Fracture Kinetics and Mechanisms of Ultrafine-Grained Materials during Fatigue Tests in the Low-Cycle Fatigue Region. Metals, 13(4), 709. https://doi.org/10.3390/met13040709

