Thermal Decomposition Process Analysis of Jarosite Residue
Abstract
1. Introduction
2. Experimental
2.1. Materials
2.2. Chemical Analysis of Elements and Constitutes
2.3. Mineralogical Characterization
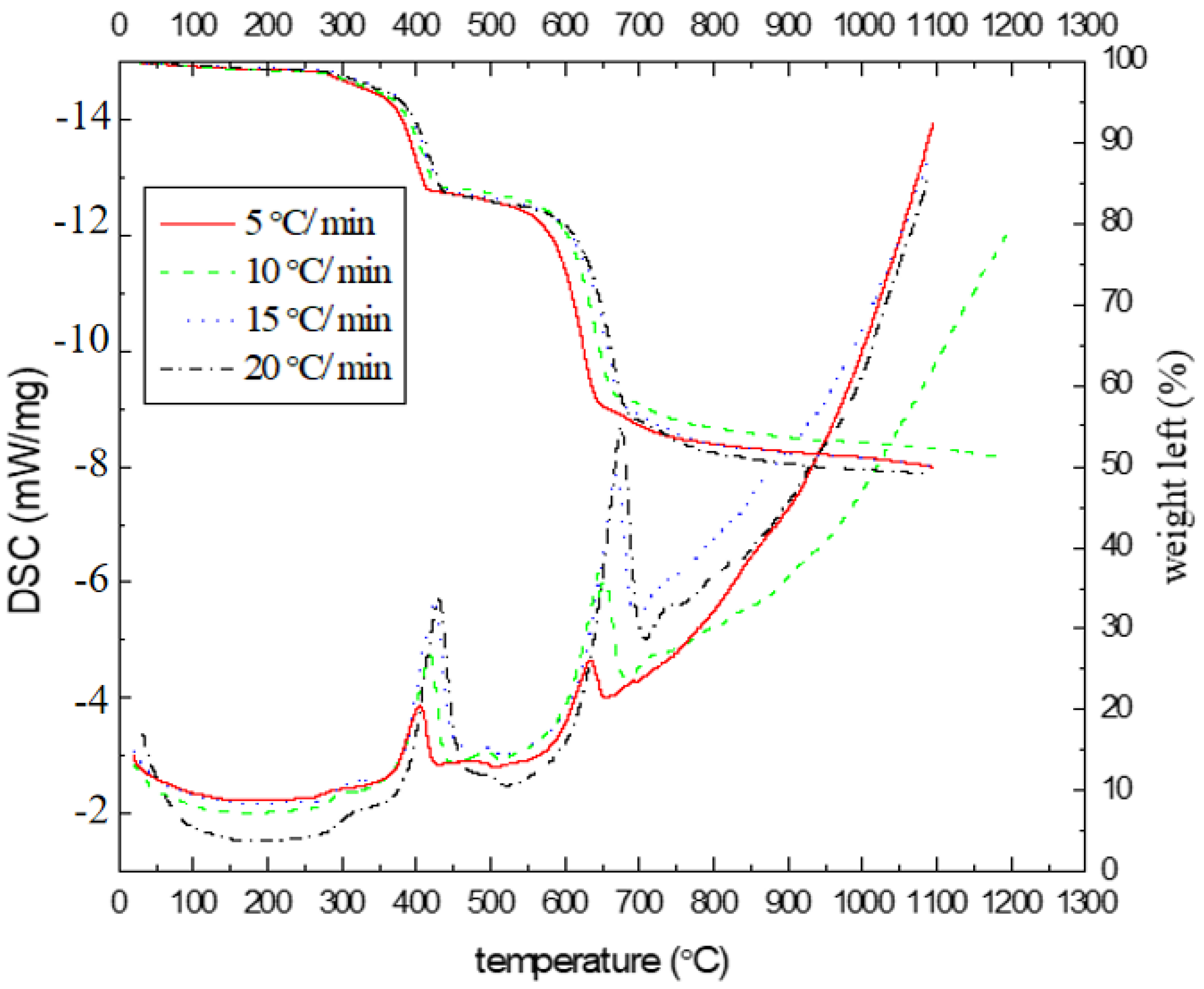
2.4. Thermogravimetric Analysis-Differential Scanning Calorimetry (TG-DSC) Analysis
3. Results and Discussion
3.1. Mineralogical Characterization
3.2. Chemical Composition
3.3. Thermal Decomposition Mechanism of Jarosite Residue
3.3.1. Thermal Decomposition Mechanism of Ammonium Jarosite
3.3.2. Thermal Decomposition Mechanism of Sodium Jarosite
3.3.3. Thermal Decomposition Mechanism of Commercial Jarosite Sample
4. Conclusions
Author Contributions
Funding
Institutional Review Board Statement
Informed Consent Statement
Data Availability Statement
Acknowledgments
Conflicts of Interest
References
- Vu, H.; Jandava, J.; Hron, T. Recovery of pigment-quality magnetite from jarosite precipitates. Hydrometallurgy 2010, 101, 1–6. [Google Scholar] [CrossRef]
- Rathore, E.N.; Patil, M.P.; Devendradohare, E.; Publication, I. Utilization of jarosite generated from lead-zinc smelter for various applications: A Review. Int. J. Civ. Eng. Technol. 2014, 5, 192–200. [Google Scholar]
- Ismael, M.R.C.; Carvalho, J.M.R. Iron recovery from sulfate leach liquors in zinc hydrometallurgy. Miner. Eng. 2003, 16, 31–39. [Google Scholar] [CrossRef]
- Moors, E.H.M. Metal Making in Motion (Technology Choices for Sustainable Metals Production); Delft University Press: Delft, The Netherlands, 2000. [Google Scholar]
- Dutrizac, J.E.; Jambor, J.L. Jarosites and their application in hydrometallurgy. Rev. Mineral. Geochem. 2000, 40, 404–452. [Google Scholar] [CrossRef]
- Dutrizac, J.E. Jarosite-Type Compounds and Their Application in the Metallurgical Industry; Hydrometallurgy Research, Development and Plant Practice; The Metallurgical Society of AIME: Warrendale, PA, USA, 1982; pp. 531–551. [Google Scholar]
- Li, X.-L.; Liu, S.-P.; Yan, L.; Wang, H.-B. Study on the Leaching Process of Jarosite and Zinc Concentrate. China Resour. Compr. Util. 2012, 30, 25–27. (In Chinese) [Google Scholar]
- Katsioti, M.; Tsakiridis, P.E.; Leonardou-agatzini, S.; Oustadakis, P. Examination of the jarosite-alunite precipitate addition in the raw meal for the production of sulfoaluminate cement clinker. J. Hazard. Mater. 2006, 131, 187–194. [Google Scholar] [CrossRef] [PubMed]
- Pappu, A.; Saxena, M.; Asolekar, R. Jarosite characteristics and its utilization potentials. Sci. Total Environ. 2006, 359, 232–243. [Google Scholar] [CrossRef] [PubMed]
- Das, G.K.; Anand, S.; Acharya, S.; Das, R.P. Preparation and decomposition of ammoniojarosite at elevated temperatures in H2O-(NH4)2SO4-H2SO4 media. Hydrometallurgy 1995, 38, 263–276. [Google Scholar] [CrossRef]
- Pelino, M. Recycling of zinc-hydrometallurgy wastes in glass and glass ceramic materials. Waste Manag. 2000, 20, 561–568. [Google Scholar] [CrossRef]
- Pappu, A.; Mohini, S.; Shyam, A. Hazardous jarosite use in developing non-hazardous product for engineering application. J. Hazard. Mater. 2006, 137, 1589–1599. [Google Scholar]
- Kotler, J.M.; Hinman, N.W.; Richardson, C.D.; Scott, J.R. Thermal decomposition behavior of potassium and sodium jarosite synthesized in the presence of methylamine and alanine. J. Therm. Anal. Calorim. 2010, 102, 23–29. [Google Scholar] [CrossRef]
- Frost, R.L.; Wills, R.A.; Kloprogge, J.T.; Martens, W. Thermal decomposition of ammonium jarosite (NH4)Fe3(SO4)2(OH)6. J. Therm. Anal. Calorim. 2006, 84, 489–496. [Google Scholar] [CrossRef]
- Spratt, H.; Rintoul, L.; Avdeev, M.; Martens, W. The thermal decomposition of hydronium jarosite and ammoniojarosite. J. Therm. Anal. Calorim. 2014, 115, 101–109. [Google Scholar] [CrossRef]
- Frost, R.L.; Wills, R.A.; Weier, M.L.; Martens, W. Thermal decomposition of synthetic argentojarosite-Implicationsfor silver production in medieval times. Thermochim. Acta 2005, 437, 30–33. [Google Scholar] [CrossRef]
- Forray, F.L.; Smith, A.M.L.; Drouet, C.; Navrotsky, A.; Wright, K.; Hudson-Edwards, K.; Dubbin, W. Synthesis, characterization and thermochemistry of a Pb-jarosite. Geochim. Et Cosmochim. Acta 2010, 74, 215–224. [Google Scholar] [CrossRef]
- Kerolli-mustafa, M.; Ćurković, L.; Fajković, H.; Rončević, S. Ecological Risk Assessment of Jarosite Waste Disposal. Croat. Chem. Acta 2015, 88, 189–196. [Google Scholar] [CrossRef]
- Pai, S.; Singh, J. Kinetics of thermal decomposition of ZnSO4·7H2O. Thermochim. Acta 1997, 292, 145–150. [Google Scholar]
- Liu, Y.; Wang, A.-L. Dehydration of Na-jarosite, ferricopiapite, and rhomboclase at temperatures of 50 and 95 °C: Implications for Martian ferric sulfates. J. Raman Spectrosc. 2015, 46, 493–500. [Google Scholar] [CrossRef]
- Ristić, M.; Musić, S.; Orehovec, Z. Thermal decomposition of synthetic ammonium jarosite. J. Mol. Struct. 2005, 744–747, 295–300. [Google Scholar] [CrossRef]
- Alonso, M.; López-delgado, A.; López, F.A. A kinetic study of the thermal decomposition of ammoniojarosite. J. Mater. Sci. 1998, 33, 5821–5825. [Google Scholar] [CrossRef]
- Frost, R.L.; Weier, M.L.; Martens, W. Thermal decomposition of jarosites of potassium, sodium and lead. J. Therm. Anal. Calorim. 2005, 82, 115–118. [Google Scholar] [CrossRef]
- Staminirova, T.; Petrova, N.; Kirov, G. Thermal decomposition of zinc hydroxy-sulfate-hydrate minerals. J. Therm. Anal. Calorim. 2016, 125, 85–96. [Google Scholar] [CrossRef]




| Component | Content | (%) | Detection Limit | Intensity | w/o Normal |
|---|---|---|---|---|---|
| Fe2O3 | 54.1288 | wt.% | 0.0198 | 863.3733 | 44.5560 |
| SO3 | 37.2005 | wt.% | 0.0477 | 287.5277 | 30.6215 |
| ZnO | 3.9986 | wt.% | 0.0019 | 84.0946 | 3.2915 |
| SiO2 | 1.8368 | wt.% | 0.0159 | 7.0698 | 1.5120 |
| Al2O3 | 0.9447 | wt.% | 0.0123 | 4.1604 | 0.7776 |
| CuO | 0.2183 | wt.% | 0.0036 | 3.5225 | 0.1797 |
| PbO | 0.4570 | wt.% | 0.0067 | 8.8499 | 0.3762 |
| Element | Fe | S | Zn | Cu | Pb | Ag(g/t) | Na |
|---|---|---|---|---|---|---|---|
| Content/% | 28.92 | 12.94 | 3.09 | 0.15 | 0.34 | 46 | 1.6 |
| Element | Sulfates-Hydroxides | Sulfides | Jarosites | Spinel | Total | ||||
|---|---|---|---|---|---|---|---|---|---|
| Content | Ratio | Content | Ratio | Content | Ratio | Content | Ratio | Content | |
| Zn | 2.49 | 80.58 | 0.18 | 5.83 | 0.24 | 7.76 | 0.18 | 5.83 | 3.09 |
| Cu | 0.08 | 53.33 | 0.02 | 13.33 | 0.04 | 26.67 | 0.01 | 6.67 | 0.15 |
| Pb | 0.04 | 11.77 | 0.12 | 35.29 | 0.17 | 50.00 | 0.01 | 2.94 | 0.34 |
| Ag * | - | - | 4.0 | 8.70 | 38.00 | 82.61 | 4.0 | 8.70 | 46 |
| Fe | 3.59 | 12.41 | - | - | 24.90 | 86.10 | 0.43 | 1.49 | 28.92 |
| Components | Na0.42(NH4)0.58Fe3(OH)6(SO4)2 | Fe2(SO4)3 | ZnSO4 | H2O in ZnSO4 | Inert Part |
|---|---|---|---|---|---|
| Content (%) | 79.49 | 3.92 | 6.75 | 4.52 | 5.32 |
| Stage and Mass Loss | Temperature Range | Stage | Jarosite | Fe2(SO4)3 | ZnSO4 | H2O in ZnSO4 | Estimated Mass Loss |
|---|---|---|---|---|---|---|---|
| 79.49 | 3.92 | 6.75 | 4.52 | ||||
| (I): 4.90 | ~373 °C | Remove H2O | - | - | - | 4.52 | 4.52 |
| (II): 11.00 | 373 °C~420 °C | Deammoniation | 1.63 | - | - | - | 10.54 |
| Dihydroxylation | 8.91 | - | - | - | |||
| (III): 27.77 | 420 °C~550 °C | Desulfonation | 26.42 | - | - | - | 28.77 |
| - | - | 2.35 | - | - | - | ||
| (IV): 3.62 | 750 °C~1096 °C | Desulfonation | - | - | 3.35 | - | 3.35 |
Disclaimer/Publisher’s Note: The statements, opinions and data contained in all publications are solely those of the individual author(s) and contributor(s) and not of MDPI and/or the editor(s). MDPI and/or the editor(s) disclaim responsibility for any injury to people or property resulting from any ideas, methods, instructions or products referred to in the content. |
© 2023 by the authors. Licensee MDPI, Basel, Switzerland. This article is an open access article distributed under the terms and conditions of the Creative Commons Attribution (CC BY) license (https://creativecommons.org/licenses/by/4.0/).
Share and Cite
Lu, D.; Bai, Y.; Wang, W.; Fu, Y.; Xie, F.; Chang, Y.; Han, Y. Thermal Decomposition Process Analysis of Jarosite Residue. Metals 2023, 13, 261. https://doi.org/10.3390/met13020261
Lu D, Bai Y, Wang W, Fu Y, Xie F, Chang Y, Han Y. Thermal Decomposition Process Analysis of Jarosite Residue. Metals. 2023; 13(2):261. https://doi.org/10.3390/met13020261
Chicago/Turabian StyleLu, Diankun, Yunlong Bai, Wei Wang, Yan Fu, Feng Xie, Yongfeng Chang, and Yuexin Han. 2023. "Thermal Decomposition Process Analysis of Jarosite Residue" Metals 13, no. 2: 261. https://doi.org/10.3390/met13020261
APA StyleLu, D., Bai, Y., Wang, W., Fu, Y., Xie, F., Chang, Y., & Han, Y. (2023). Thermal Decomposition Process Analysis of Jarosite Residue. Metals, 13(2), 261. https://doi.org/10.3390/met13020261
