Study on the Preparation and Corrosion Resistance Properties of Superhydrophobic Coatings on Galvanized Steel
Abstract
1. Introduction
2. Materials and Methods
2.1. Preparation of Test Specimens
2.2. Procedure of Varnishing and Superhydrophobic Treating
2.3. Corrosion and Performance Tests
2.4. Multi Physical Field Simulation
3. Results
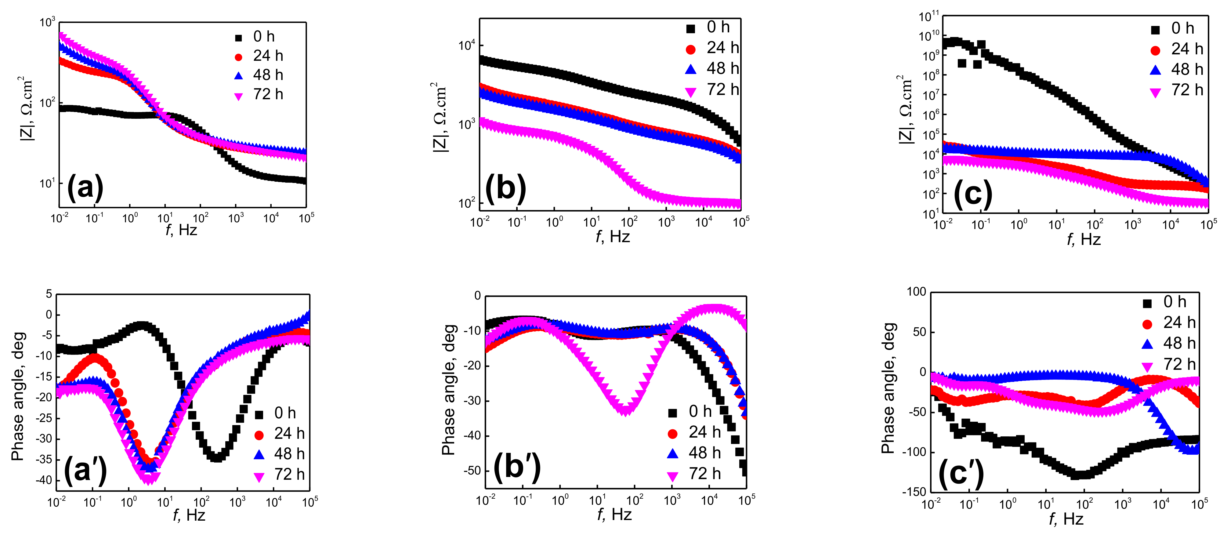
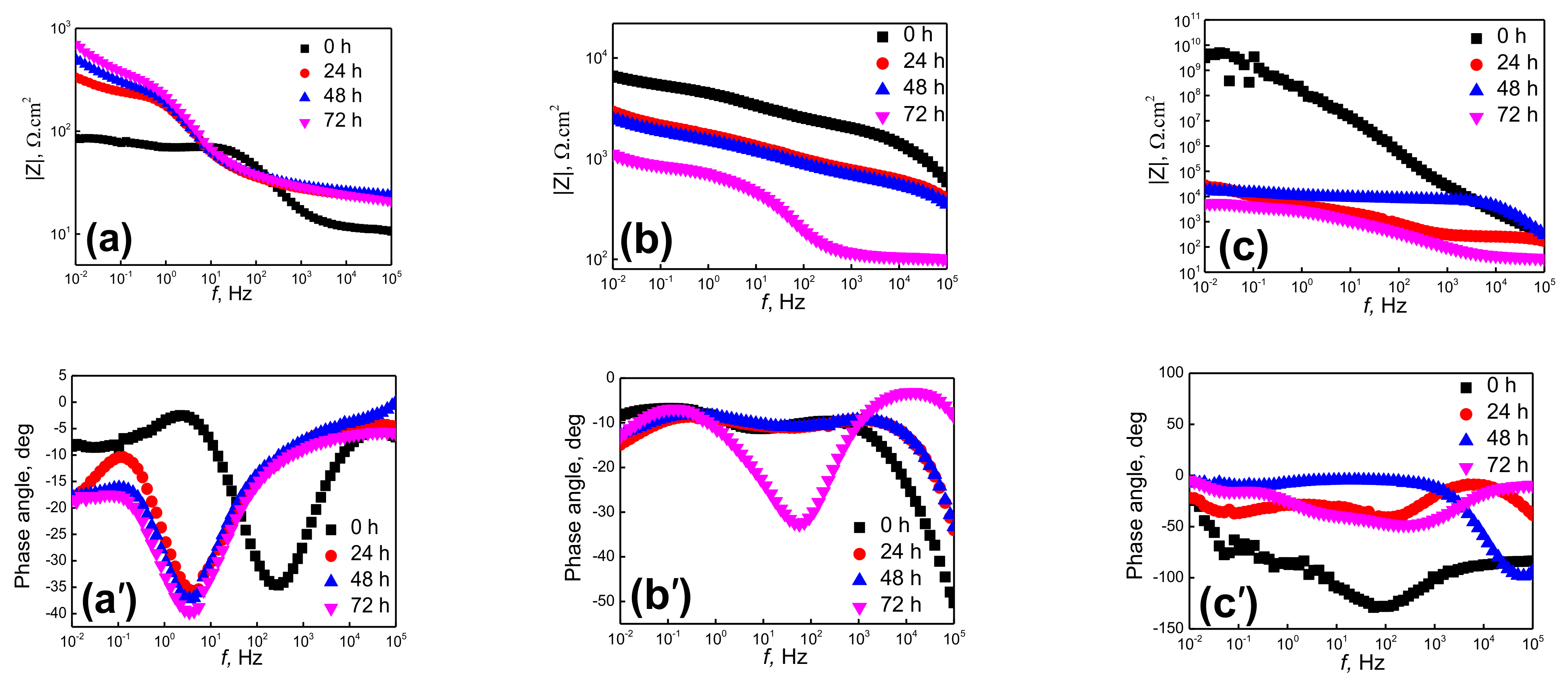
3.1. Electrochemical Measurement
3.2. Surface Morphology and Composition
4. Discussion
5. Conclusions
- (1)
- The electrochemical test results indicate that the superhydrophobic coating of specimen #3 is beneficial to improve the impedance modulus of the metal surface and reduce the corrosion rate.
- (2)
- Composition characterization shows that there is almost no corrosion product on the surface of specimen #3 after 72 h of immersion, while the other two specimens produce obvious corrosion products.
- (3)
- The results of the surface topographies analysis show that specimen #3 has the best corrosion resistance compared with specimens #1 and #2, which may be related to the papillary bulges formed on the surface. COMSOL Multiphysics finite element simulation results, which are consisted with the results of experiment, also show function of the papillary bulges in anti-corrosion performance.
- (4)
- The process of obtaining superhydrophobic coating is simple, without any high temperature treatment, and the experimental cycle is short. However, if applied to industrial production, the experimental process parameters need to be further optimized.
Author Contributions
Funding
Data Availability Statement
Acknowledgments
Conflicts of Interest
References
- Bellini, C.; Cocco, D.C.; Lacoviello, F.; Mocanu, L.P. Impact of Copper, Tin and titanium addition on bending-induced damage of intermetallic phases in hot dip galvanizing. Metals 2022, 12, 2035. [Google Scholar] [CrossRef]
- Rossi, S.; Pinamonti, M.; Calovi, M. Influence of Soil chemical characteristics on corrosion behaviour of galvanized steel. Case Stud. Const. Mat. 2022, 17, e01257. [Google Scholar] [CrossRef]
- Kavunga, S.; Luckeneder, G.; Schachinger, E.D.; Faderl, J.; Fafilek, G. In situ characterization of galvanized low-alloyed steels with high-temperature cyclic voltammetry during annealing. Electrochim. Acta. 2022, 424, 140653. [Google Scholar] [CrossRef]
- Duarte, T.; Meyer, Y.A.; Osório, W.R. The holes of Zn phosphate and hot dip galvanizing on electrochemical behaviors of multi-coatings on steel substrates. Metals 2022, 12, 863. [Google Scholar] [CrossRef]
- Pang, K.; Hao, W.K.; Wu, J.S.; Peng, D.D.; Li, X.G. Corrosion behavior of field-exposed electrogalvanized steel plate in marine atmosphere. Corros. Sci. Prot. Technol. 2016, 28, 221–228. [Google Scholar]
- Yin, R.H.; Zhang, L.; Dong, X.M.; Ji, X.B.; Zhang, X.S.; Cao, W.M.; Shi, X.H. Study on the formation of polyaniline coatings and its corrosion behavior from silane solutions. Acta. Metall. Sin. 2007, 43, 404–408. [Google Scholar]
- Xiao, Y.D.; Li, X.L. Atmospheric corrosion of electroplated Zinc coatings. Corros. Sci. Prot. Technol. 1995, 7, 187–191. [Google Scholar]
- Zhou, Y.; Huang, Z.; Liu, Y.; Chu, F. Comparative test on corrosion resistance of cold-sprayed Zinc and hot-dip galvanized steel for substation structure support. Mech. Electr. Inf. 2015, 36, 101–102. [Google Scholar]
- Zhang, Q.S.; Gao, J.W.; Wang, C.Q.; Dai, G. Comparison of corrosion resistance of hot spray zinc, cold spray zinc and zinc rich coatings. Corros.Technol. 2017, 38, 903–913. [Google Scholar]
- Xi, J.M.; Feng, L.; Jiang, L. A general approach for fabrication of superhydrophobic and superamphiphobic surfaces. Appl. Phys. Lett. 2008, 92, 53101. [Google Scholar] [CrossRef]
- Cui, M.M.; Wang, B.; Wang, Z.K. Nature-inspired strategy for anticorrosion. Adv. Eng. Mater. 2019, 21, 1801379. [Google Scholar] [CrossRef]
- Neinhuis, C.; Barthlott, W. Characterization and distribution of water-repellent, self-cleaning plant surfaces. Ann. Bot. 1997, 79, 667–677. [Google Scholar] [CrossRef]
- Wang, S.; Liu, K.; Jiang, L.; Yao, X. Bioinspired surfaces with superwetability: New insight on theory, design, and applications. Chem. Rev. 2015, 115, 8230–8293. [Google Scholar] [CrossRef] [PubMed]
- Sharma, V.; Kumar, S.; Reddy, K.L.; Bahuguna, A.; Krishnan, V. Bioinspired functional surfaces for technological applications. J. Mol. Eng. Mater. 2016, 4, 375–399. [Google Scholar] [CrossRef]
- Zhang, C.; Liang, F.; Zhang, W.; Liu, H.; Tang, Y. Constructing mechanochemical durable and self⁃healing super-hydrophobic surfaces. ACS Omega 2020, 5, 986–994. [Google Scholar] [CrossRef] [PubMed]
- Guo, X.G.; Li, X.M. An expanding horizon: Facile fabrication of highly superhydrophobic coatings. Mater. Lett. 2017, 186, 357–360. [Google Scholar] [CrossRef]
- Tao, L.; Chen, S.; Cheng, S.; Tian, J.; Chang, X.; Yin, Y. Corrosion behavior of super-hydrophobic surfaces on copper in seawater. Electrochim. Acta. 2007, 52, 8003–8007. [Google Scholar]
- Tu, K.; Wang, X.; Kong, L.; Guan, H. Facile preparation of mechanically durable, self-healing and multifunctional superhydrophobic surfaces on solid wood. Mater. Design. 2018, 140, 30–36. [Google Scholar] [CrossRef]
- Weng, C.J.; Chang, C.H.; Lin, I.L.; Yeh, Y.M.; Wei, Y.; Hsu, C.L.; Chen, P.H. Advanced anticorrosion coating materials prepared from fluoro-polyaniline-silica composites with synergistic effect of superhydrophobicity and redox catalytic capability. Surf. Coat. Technol. 2012, 207, 42–49. [Google Scholar] [CrossRef]
- Wang, H.; Fang, J.; Cheng, T.; Ding, J.; Qu, L.; Dai, L.; Wang, X.; Lin, T. One-step coating of fluoro-containing silica nanoparticles for universal generation of surface superhydrophobicity. Chem. Commun. 2008, 7, 877–879. [Google Scholar] [CrossRef]
- Li, W.; Wang, H.; Li, Z. Preparation of golf ball-shaped microspheres with fluorinated polycaprolactone via single-solvent electrosprayingfor superhydrophobic coatings. Prog. Org. Coat. 2019, 13, 276–284. [Google Scholar] [CrossRef]
- Li, Y.Q.; Si, W.T.; Gao, R.J. Facile preparation of superamphiphobic aluminum alloy surfaces and their corrosion resistance. Surf. Coat. Technol. 2022, 430, 127997. [Google Scholar] [CrossRef]
- Haruna, K.; Saleh, T.A. Graphene oxide with dopamine functionalization as corrosion inhibitor against sweet corrosion of X60 carbon steel under static and hydrodynamic flow systems. J. Electroanal. Chem. 2022, 920, 116589. [Google Scholar] [CrossRef]
- Mobin, M.; Huda Shoeb, M.; Aslam, R.; Banerjee, P. Synthesis, characterisation and corrosion inhibition assessment of a novel ionic liquid-graphene oxide nanohybrid. J. Mol. Struct. 2022, 1262, 13302. [Google Scholar] [CrossRef]
- Cen, H.Y.; Chen, Z.Y. Amide functionalized graphene oxide as novel and effective corrosion inhibitor of carbon steel in CO2-saturated NaCl solution. Colloid. Surf. A. 2021, 615, 126216. [Google Scholar] [CrossRef]
- Haruna, K.; Alhems, L.M.; Saleh, T.A. Graphene oxide grafted with dopamine as an efficient corrosion inhibitor for oil well acidizing environments. Surf. Interfaces Anal. 2021, 24, 101046. [Google Scholar] [CrossRef]
- Ikhe., A.B.; Kale, A.B.; Jeong, J.; Reece, M.J.; Choi, S.-J.; Pyo, M. Perfluorinated polysiloxane hybridized with graphene oxide for corrosion inhibition of AZ31 magnesium alloy. Corros. Sci. 2016, 109, 238–245. [Google Scholar] [CrossRef]
- Xie, Y.H.; Zhou, X.F.; Mi, H.Y.; Ma, J.H.; Yang, J.Y.; Cheng, J. High effificiency ZnO-based dye-sensitized solar cells with a 1H,1H,2H,2H-perflfluorodecyltriethoxysilane chain barrier for cutting on interfacial recombination. Appl. Surf. Sci. 2018, 434, 1144–1152. [Google Scholar] [CrossRef]
- Chen, W.; Long, H.; Dong, J.; Wei, K.; Wen, H. Effect of pH value on the corrosion evolution of Q235B steel in simulated coastal-industrial atmospheres. Acta Metall. Sin. 2015, 51, 191. [Google Scholar]
- Kamble, P.A.; Deshpande, P.P.; Vagge, S.T. Numerical investigation of galvanic corrosion between galvanized steel and mild steel in bolted joint. Mater. Today Proc. 2022, 50, 1923–1929. [Google Scholar] [CrossRef]
- Harisha, D.V.N.; Bharatisha, A.; Narashima, H.M.; Anand, B.; Subramanya, K.N. Investigation of thermal residual stresses during laser ablation of tantalum carbide coated graphite substrates using micro-Raman spectroscopy and COMSOL multiphysics. Ceram. Int. 2021, 47, 3498–3513. [Google Scholar] [CrossRef]
- Sawabe, T.; Akiyoshi, M.; Yoshida, K.; Yano, T. Estimation of neutron-irradiation-induced defect in 3C–SiC from change in XRD peak shift and DFT study. J. Nucl. Mater. 2011, 417, 430–434. [Google Scholar] [CrossRef]












| Physics | Boundary Condition | ||
|---|---|---|---|
| Secondary Current Distribution | Electrolyte | sigma | 5 [S/m] |
| Initial values | Electrolyte potential | 0 [V] | |
| Electric potential | 0 [V] | ||
| Electrode surface | External electric potential | 0 [V] | |
| Equation | Current density initialization | ||
| Film resistance | No | ||
| Dissolving-depositing species | Zn | ||
| Electrode kinetics | Local current density expression | ||
| Deformed Geometry | Frame settings | Geometry shape function | 1 |
| Free deformation settings | Mesh smoothing type | Hyperelastic | |
| Transport of Diluted Species | Transport properties | Mobility | Nernst-Einstein relation |
| Initial values | Concentration of Fe2+ | 0 | |
| Concentration of OH− | 1 × 10−4 [mol/m3] | ||
| Electrode surface coupling | Equation | Current distribution initialization | |
| Coupled reaction | Local current density | ||
| Level Set | Level set model | Equation | Current distribution initialization |
| Initial values | Level set variable | Specify phase | |
| Multiphysics | Nondeforming Boundary | Coupled interfaces | Secondary current distribution |
| Boundary condition | Zero normal displacement | ||
| Deforming Electrode Surface | Coupled interfaces | Secondary current distribution | |
| Moving boundary smoothing | Enable moving boundary smoothing | ||
| Definitions | Interpolation | Polarization curve | From experimental measurement |
| Image | Import data model | From metallographic microscope picture | |
| Specimens | Ra/nm before Corrosion | Ra/nm after 72 h Corrosion |
|---|---|---|
| #1 | 6.44 | 217 |
| #2 | 3.81 | 70.7 |
| #3 | 10.7 | 40.2 |
Disclaimer/Publisher’s Note: The statements, opinions and data contained in all publications are solely those of the individual author(s) and contributor(s) and not of MDPI and/or the editor(s). MDPI and/or the editor(s) disclaim responsibility for any injury to people or property resulting from any ideas, methods, instructions or products referred to in the content. |
© 2023 by the authors. Licensee MDPI, Basel, Switzerland. This article is an open access article distributed under the terms and conditions of the Creative Commons Attribution (CC BY) license (https://creativecommons.org/licenses/by/4.0/).
Share and Cite
Chen, W.; Shi, H.; Liu, W.; Zhao, A.; Pan, G.; Huang, A.; Yu, Y.; Ma, L. Study on the Preparation and Corrosion Resistance Properties of Superhydrophobic Coatings on Galvanized Steel. Metals 2023, 13, 260. https://doi.org/10.3390/met13020260
Chen W, Shi H, Liu W, Zhao A, Pan G, Huang A, Yu Y, Ma L. Study on the Preparation and Corrosion Resistance Properties of Superhydrophobic Coatings on Galvanized Steel. Metals. 2023; 13(2):260. https://doi.org/10.3390/met13020260
Chicago/Turabian StyleChen, Wenjuan, Haoran Shi, Weiwen Liu, Anran Zhao, Gang Pan, Anding Huang, Yinglu Yu, and Luqi Ma. 2023. "Study on the Preparation and Corrosion Resistance Properties of Superhydrophobic Coatings on Galvanized Steel" Metals 13, no. 2: 260. https://doi.org/10.3390/met13020260
APA StyleChen, W., Shi, H., Liu, W., Zhao, A., Pan, G., Huang, A., Yu, Y., & Ma, L. (2023). Study on the Preparation and Corrosion Resistance Properties of Superhydrophobic Coatings on Galvanized Steel. Metals, 13(2), 260. https://doi.org/10.3390/met13020260
