Hydrogen Embrittlement of a Boiler Water Wall Tube in a District Heating System
Abstract
:1. Introduction
2. Materials and Methods
2.1. Materials and Operating Conditions
2.2. Characterization Methods
2.3. Hydrogen Analysis Method
3. Results and Discussion
3.1. Visual Inspection
3.2. Microstructure Analysis
3.3. Mechanical Properties
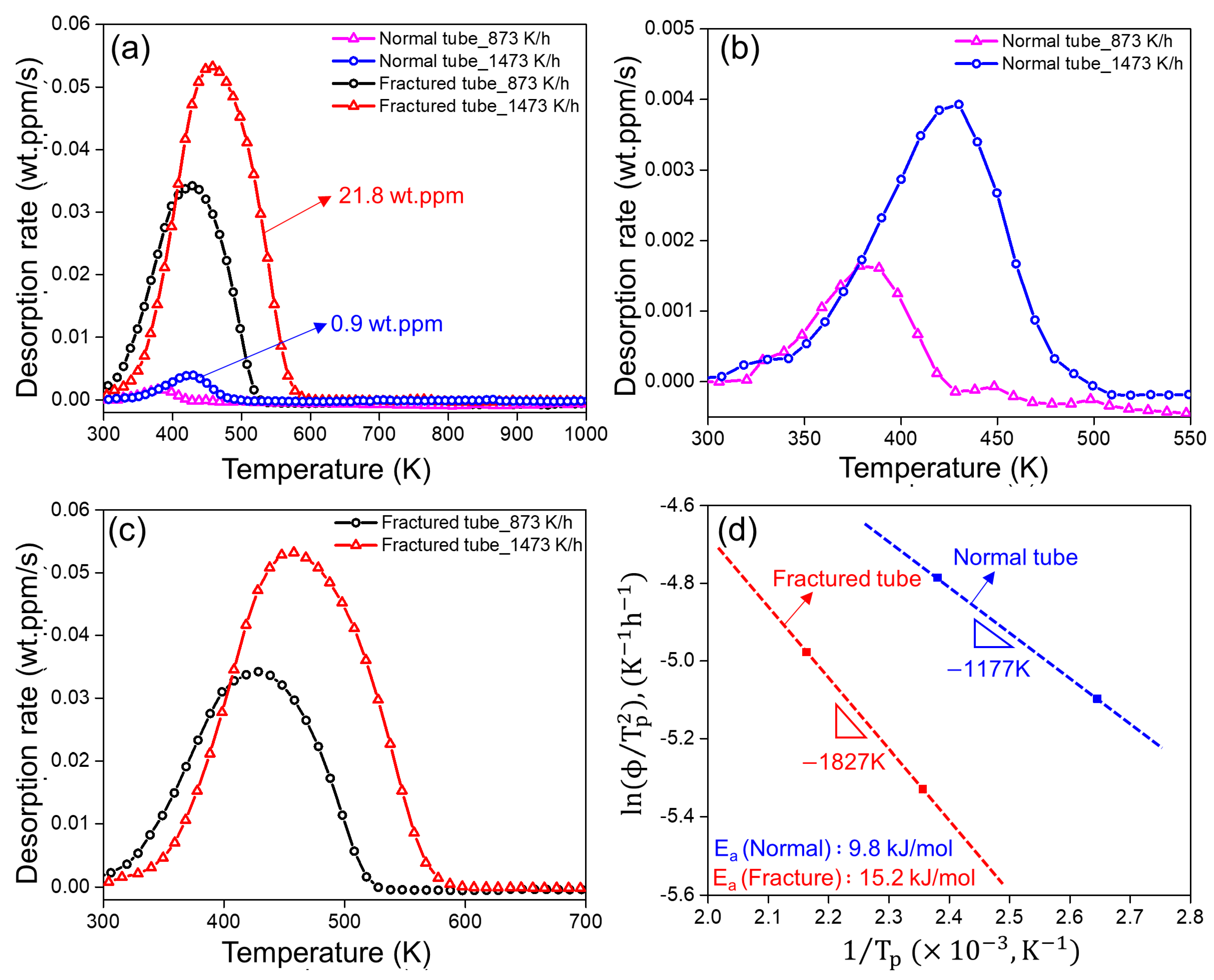
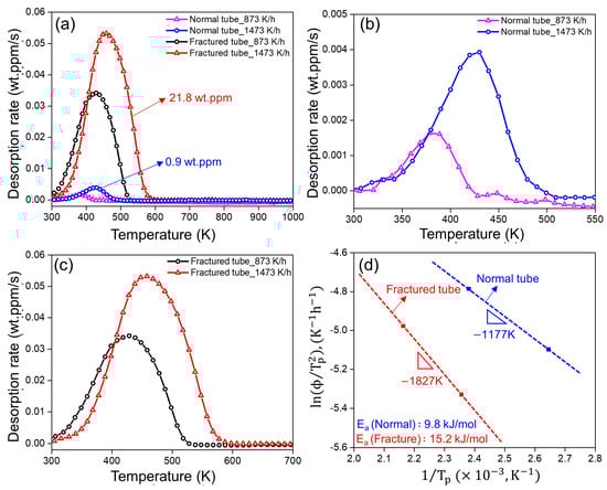
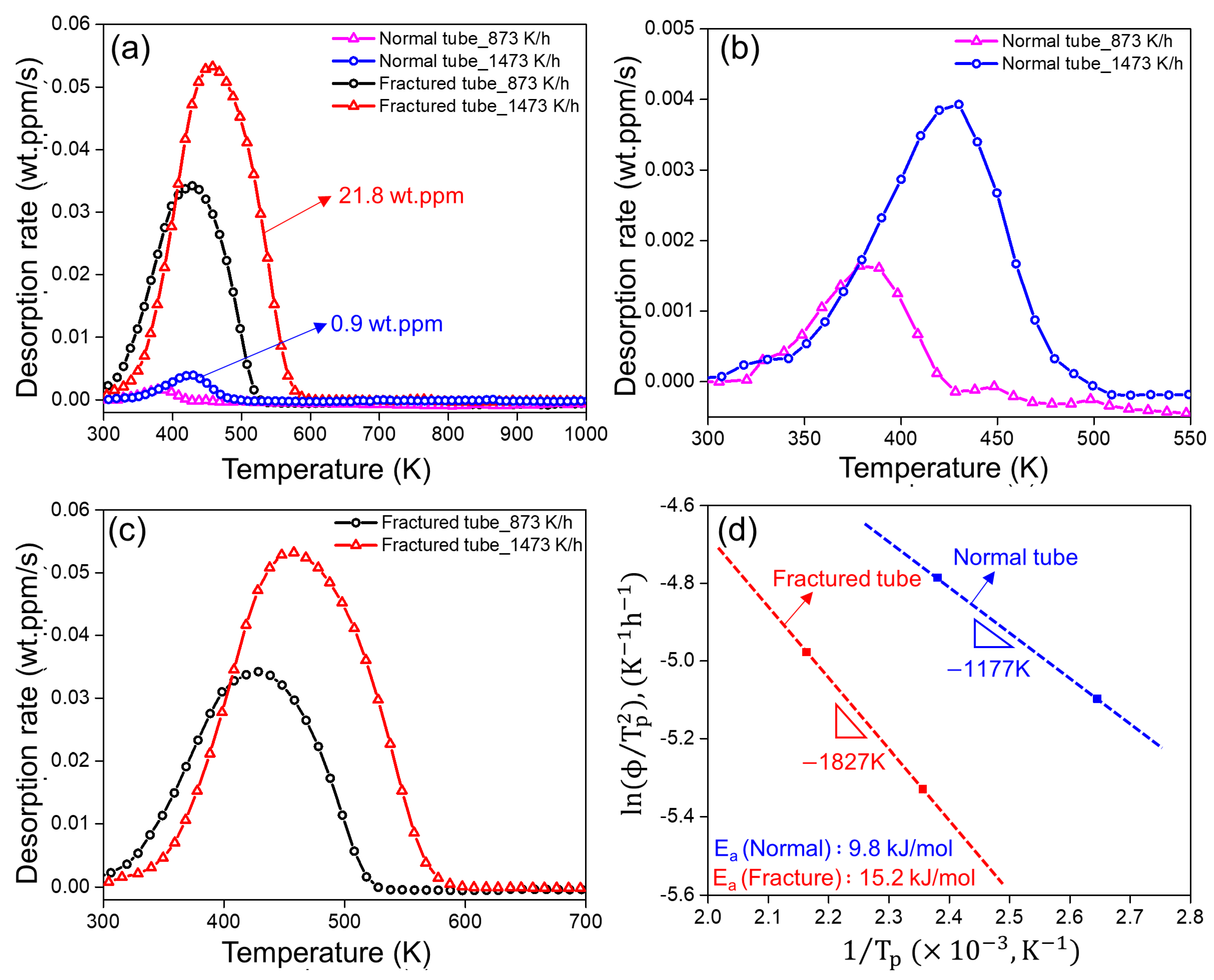
3.4. Hydrogen Desorption and Trapping Sites
3.5. Failure Mechanism
4. Conclusions
- (1)
- The microstructure of a normal tube initially consists of ferrite and pearlite, but overheating in a localized region changed the initial microstructure into martensite and a small amount of bainite, which have more susceptibility for hydrogen embrittlement.
- (2)
- The damaged tube exhibited a clear difference in hardness, indicating that the hardness (328 HV) in the overheated zone was about twice as high as the hardness in the non-overheated zone (172 HV). The higher hardness in the overheated zone was due to the microstructural evolution of martensite and bainite with high strength.
- (3)
- Decarburization was found in the entire water-facing side, whether it was overheated or not. However, micro- and macrocracks located at the grain boundaries were only observed in the overheated zone, which was due to the development of tensile residual stresses in the water side and the microstructural change into martensite, which has a higher hydrogen trapping density than ferrite.
- (4)
- The hydrogen trapping sites of the fractured tube were at the grain boundaries, which facilitated the formation of microcracks and an intergranular fracture.
- (5)
- The combined effects of the brittle microstructures of martensite and bainite, high temperature hydrogen embrittlement, and tensile residual stresses accelerated hydrogen-induced stress corrosion cracking, leading to a final fracture.
Author Contributions
Funding
Data Availability Statement
Conflicts of Interest
References
- Chang, Y.S.; Jung, S.W.; Lee, S.M.; Choi, J.B.; Kim, Y.J. Fatigue data acquisition, evaluation and optimization of district heating pipes. Appl. Therm. Eng. 2007, 27, 2524–2535. [Google Scholar] [CrossRef]
- Gadd, H.; Werner, S. Daily heat load variations in Swedish district heating systems. Appl. Energy 2013, 106, 47–55. [Google Scholar] [CrossRef] [Green Version]
- Connolly, D.; Lund, H.; Mathiesen, B.V.; Werner, S.; Möller, B.; Persson, U.; Boermans, T.; Trier, D.; Østergaard, P.A.; Nielsen, S. Heat roadmap Europe: Combining district heating with heat savings to decarbonise the EU energy system. Energy Policy 2014, 65, 475–489. [Google Scholar] [CrossRef]
- Lund, H.; Werner, S.; Wiltshire, R.; Svendsen, S.; Thorsen, J.E.; Hvelplund, F.; Mathiesen, B.V. 4th Generation District Heating (4GDH). Integrating smart thermal grids into future sustainable energy systems. Energy 2014, 68, 1–11. [Google Scholar] [CrossRef]
- Woodtli, J.; Kieselbach, R. Damage due to hydrogen embrittlement and stress corrosion cracking. Eng. Fail. Anal. 2000, 7, 427–450. [Google Scholar] [CrossRef]
- Djukic, M.B.; Sijacki Zeravcic, V.; Bakic, G.M.; Sedmak, A.; Rajicic, B. Hydrogen damage of steels: A case study and hydrogen embrittlement model. Eng. Fail. Anal. 2015, 58, 485–498. [Google Scholar] [CrossRef]
- Mohtadi-Bonab, M.A.; Eskandari, M.; Karimdadashi, R.; Szpunar, J.A. Effect of different microstructural parameters on hydrogen induced cracking in an API X70 pipeline steel. Met. Mater. Int. 2017, 23, 726–735. [Google Scholar] [CrossRef]
- Jeong, D.; Jung, W.; Kim, Y.; Goto, M.; Kim, S. Stress corrosion cracking behavior of X80 steel in artificial seawater under controlled strain rate and applied potentials. Met. Mater. Int. 2015, 21, 785–792. [Google Scholar] [CrossRef]
- Bakhtiari, R.; Zangeneh, S. Evaluation of hydrogen damage in a fire tube using microstructure/mechanical properties studies. Eng. Fail. Anal. 2018, 90, 231–244. [Google Scholar] [CrossRef]
- Yu, S.H.; Lee, S.M.; Lee, S.; Nam, J.H.; Lee, J.S.; Bae, C.M.; Lee, Y.K. Effects of lamellar structure on tensile properties and resistance to hydrogen embrittlement of pearlitic steel. Acta Mater. 2019, 172, 92–101. [Google Scholar] [CrossRef]
- Moshtaghi, M.; Loder, B.; Safyari, M.; Willidal, T.; Hojo, T.; Mori, G. Hydrogen trapping and desorption affected by ferrite grain boundary types in shielded metal and flux-cored arc weldments with Ni addition. Int. J. Hydrogen Energy 2022, 47, 20676–20683. [Google Scholar] [CrossRef]
- Mohtadi-Bonab, M.A.; Szpunar, J.A.; Razavi-Tousi, S.S. Hydrogen induced cracking susceptibility in different layers of a hot rolled X70 pipeline steel. Int. J. Hydrogen Energy 2013, 38, 13831–13841. [Google Scholar] [CrossRef]
- Liou, H.Y.; Shieh, R.I.; Wei, F.I.; Wang, S.C. Roles of microalloying elements in hydrogen induced cracking resistant property HSLA steel. Corrosion 1993, 49, 389–398. [Google Scholar] [CrossRef]
- Oriani, R.A. The diffusion and trapping of hydrogen in steel. Acta Metall. 1970, 18, 147–157. [Google Scholar] [CrossRef]
- Luder, D.; Erenburg, B.; Iskevitch, E.; Ariely, S.; Yalin, M. Investigation of failure of steel steam generating evaporator tube involving delamination defects and corrosion. Eng. Fail. Anal. 2018, 84, 196–204. [Google Scholar] [CrossRef]
- Ahmad, J.; Purbolaksono, J.; Beng, L.C.; Rashid, A.Z.; Khinani, A.; Ali, A.A. Failure investigation on rear water wall tube of boiler. Eng. Fail. Anal. 2009, 16, 2325–2332. [Google Scholar] [CrossRef]
- Dorri, M.; Harandizadeh, D. Failure analysis of perforation in salty water-wall tubes of a power plant. Eng. Fail. Anal. 2012, 19, 87–96. [Google Scholar] [CrossRef]
- Munda, P.; Husain, M.M.; Rajinikanth, V.; Metya, A.K. Evolution of Microstructure During Short-term Overheating Failure of a Boiler Water Wall Tube Made of Carbon Steel. J. Fail. Anal. Prev. 2018, 18, 199–211. [Google Scholar] [CrossRef]
- Ahmad, J.; Purbolaksono, J.; Beng, L.C. Thermal fatigue and corrosion fatigue in heat recovery area wall side tubes. Eng. Fail. Anal. 2010, 17, 334–343. [Google Scholar] [CrossRef]
- Hong, M.; Chae, H.; Kim, W.C.; Kim, J.G.; Kim, H.; Lee, S.Y. Failure Analysis of a Water Wall Boiler Tube for Power Generation in a District Heating System. Met. Mater. Int. 2019, 25, 1191–1201. [Google Scholar] [CrossRef]
- Duarte, C.A.; Espejo, E.; Martinez, J.C. Failure analysis of the wall tubes of a water-tube boiler. Eng. Fail. Anal. 2017, 79, 704–713. [Google Scholar] [CrossRef]
- Poorhaydari, K. A Comprehensive Examination of High-Temperature Hydrogen Attack—A Review of over a Century of Investigations. J. Mater. Eng. Perform. 2021, 30, 7875–7908. [Google Scholar] [CrossRef]
- Park, G.T.; Koh, S.U.; Jung, H.G.; Kim, K.Y. Effect of microstructure on the hydrogen trapping efficiency and hydrogen induced cracking of linepipe steel. Corros. Sci. 2008, 50, 1865–1871. [Google Scholar] [CrossRef]
- Basantia, S.K.; Bhattacharya, A.; Khutia, N.; Das, D. Plastic Behavior of Ferrite–Pearlite, Ferrite–Bainite and Ferrite–Martensite Steels: Experiments and Micromechanical Modelling. Met. Mater. Int. 2021, 27, 1025–1043. [Google Scholar] [CrossRef]
- Harjo, S.; Tsuchida, N.; Abe, J.; Gong, W. Martensite phase stress and the strengthening mechanism in TRIP steel by neutron diffraction. Sci. Rep. 2017, 7, 2–4. [Google Scholar] [CrossRef]
- Krauss, G. Martensite in steel: Strength and structure. Mater. Sci. Eng. A 1999, 273–275, 40–57. [Google Scholar] [CrossRef]
- Kim, H.J.; Jeon, S.H.; Yang, W.S.; Yoo, B.G.; Chung, Y.D.; Ha, H.Y.; Chung, H.Y. Effects of titanium content on hydrogen embrittlement susceptibility of hot-stamped boron steels. J. Alloys Compd. 2018, 735, 2067–2080. [Google Scholar] [CrossRef]
- Wang, M.; Akiyama, E.; Tsuzaki, K. Effect of hydrogen on the fracture behavior of high strength steel during slow strain rate test. Corros. Sci. 2007, 49, 4081–4097. [Google Scholar] [CrossRef]
- Choo, W.Y.; Lee, J.Y. Thermal Analysis of Trapped Hydrogen in Pure Iron. Metall. Trans. A 1982, 13, 135–140. [Google Scholar] [CrossRef]
- Yoo, J.; Jo, M.C.; Kim, D.W.; Song, H.; Koo, M.; Sohn, S.S.; Lee, S. Effects of Cu addition on resistance to hydrogen embrittlement in 1 GPa-grade duplex lightweight steels. Acta Mater. 2020, 196, 370–383. [Google Scholar] [CrossRef]
- Kang, H.J.; Yoo, J.S.; Park, J.T.; Ahn, S.T.; Kang, N.; Cho, K.M. Effect of nano-carbide formation on hydrogen-delayed fracture for quenching and tempering steels during high-frequency induction heat treatment. Mater. Sci. Eng. A 2012, 543, 6–11. [Google Scholar] [CrossRef]
- Ono, K.; Meshii, M. Hydrogen detrapping from grain boundaries and dislocations in high purity iron. Acta Metall. Mater. 1992, 40, 1357–1364. [Google Scholar] [CrossRef]
- Wang, Z.; Liu, J.; Huang, F.; Bi, Y.J.; Zhang, S.Q. Hydrogen Diffusion and Its Effect on Hydrogen Embrittlement in DP Steels With Different Martensite Content. Front. Mater. 2020, 7, 620000. [Google Scholar] [CrossRef]








Publisher’s Note: MDPI stays neutral with regard to jurisdictional claims in published maps and institutional affiliations. |
© 2022 by the authors. Licensee MDPI, Basel, Switzerland. This article is an open access article distributed under the terms and conditions of the Creative Commons Attribution (CC BY) license (https://creativecommons.org/licenses/by/4.0/).
Share and Cite
Kim, Y.S.; Kim, W.C.; Jain, J.; Huang, E.-W.; Lee, S.Y. Hydrogen Embrittlement of a Boiler Water Wall Tube in a District Heating System. Metals 2022, 12, 1276. https://doi.org/10.3390/met12081276
Kim YS, Kim WC, Jain J, Huang E-W, Lee SY. Hydrogen Embrittlement of a Boiler Water Wall Tube in a District Heating System. Metals. 2022; 12(8):1276. https://doi.org/10.3390/met12081276
Chicago/Turabian StyleKim, You Sub, Woo Cheol Kim, Jayant Jain, E-Wen Huang, and Soo Yeol Lee. 2022. "Hydrogen Embrittlement of a Boiler Water Wall Tube in a District Heating System" Metals 12, no. 8: 1276. https://doi.org/10.3390/met12081276
APA StyleKim, Y. S., Kim, W. C., Jain, J., Huang, E.-W., & Lee, S. Y. (2022). Hydrogen Embrittlement of a Boiler Water Wall Tube in a District Heating System. Metals, 12(8), 1276. https://doi.org/10.3390/met12081276

