Influence of Nb, Ta and Zr on the Interdiffusion Coefficients and Solid Solution Strengthening of γ-TiAl Single Phase Alloys
Abstract
:1. Introduction
2. Materials and Methods
3. Data Evaluation
4. Results
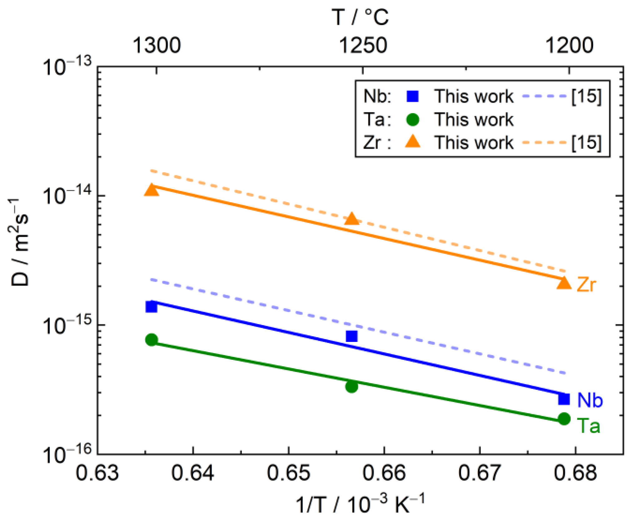
4.1. Interdiffusion Coefficients
4.2. Solid Solution Hardening Coefficient
4.3. Strain Rate Jump Tests
5. Discussion
6. Conclusions
- Ta is the slowest diffusing element, followed by Nb and Zr in γ-Ti-54Al single phase alloys.
- The solid solution hardening coefficients determined on diffusion couples are 0.26 GPa/(at.%2/3) for Nb, 0.30 GPa/(at.%2/3) for Ta and 0.47 GPa/(at.%2/3) for Zr in the γ-TiAl phase, which correlates with the atomic size mismatch between the solutes and Ti. The solid solution hardening coefficients determined on the bulk alloys also show a higher solid solution hardening coefficient of Zr than Nb and Ta and are therefore in good agreement with the measurements on the diffusion couples.
- The addition of 5 at.% Nb or Ta increases the strength compared to a binary γ-Ti54Al alloy. The Zr-containing γ-TiAl single phase alloy reveals the highest strength at 750 °C and 900 °C due to the strong solid solution hardening effect of Zr, but shows in comparison to the other alloys a quite brittle behavior up to 900 °C. The lower diffusivity of Ta compared to Nb leads to a higher strength of the Ta-modified alloy at 900 °C.
Supplementary Materials
Author Contributions
Funding
Data Availability Statement
Acknowledgments
Conflicts of Interest
References
- Chen, Y.Y.; Yang, F.; Kong, F.T.; Xiao, S.L. Microstructure, Mechanical Properties, Hot Deformation and Oxidation Behavior of Ti–45Al–5.4V–3.6Nb–0.3Y Alloy. J. Alloys Compd. 2010, 498, 95–101. [Google Scholar] [CrossRef]
- Noda, T. Application of Cast Gamma TiAl for Automobiles. Intermetallics 1998, 6, 709–713. [Google Scholar] [CrossRef]
- Tetsui, T.; Ono, S. Endurance and Composition and Microstructure Effects on Endurance of TiAl Used in Turbochargers. Intermetallics 1999, 7, 689–697. [Google Scholar] [CrossRef]
- Worth, B.D.; Jones, J.W.; Allison, J.E. Creep Deformation in Near-γ TiAl: The Influence of Microstructure on Creep Deformation in Ti-49Al-1V. Metall. Mater. Trans. A 1995, 26, 2947–2959. [Google Scholar] [CrossRef]
- Maruyama, K.; Yamamoto, R.; Nakakuki, H.; Fujitsuna, N. Effects of Lamellar Spacing, Volume Fraction and Grain Size on Creep Strength of Fully Lamellar TiAl Alloys. Mater. Sci. Eng. A 1997, 239, 419–428. [Google Scholar] [CrossRef]
- Cao, G.; Fu, L.; Lin, J.; Zhang, Y.; Chen, C. The Relationships of Microstructure and Properties of a Fully Lamellar TiAl Alloy. Intermetallics 2000, 8, 647–653. [Google Scholar] [CrossRef]
- Bresler, J.; Neumeier, S.; Ziener, M.; Pyczak, F.; Göken, M. The Influence of Niobium, Tantalum and Zirconium on the Microstructure and Creep Strength of Fully Lamellar γ/α2 Titanium Aluminides. Mater. Sci. Eng. A 2019, 744, 46–53. [Google Scholar] [CrossRef]
- Neumeier, S.; Bresler, J.; Zenk, C.; Haußmann, L.; Stark, A.; Pyczak, F.; Göken, M. Partitioning Behavior of Nb, Ta, and Zr in Fully Lamellar γ/α2 Titanium Aluminides and Its Effect on the Lattice Misfit and Creep Behavior. Adv. Eng. Mater. 2021, 23, 2100156. [Google Scholar] [CrossRef]
- Karunaratne, M.S.A.; Carter, P.; Reed, R.C. Interdiffusion in the Face-Centred Cubic Phase of the Ni–Re, Ni–Ta and Ni–W Systems between 900 and 1300 °C. Mater. Sci. Eng. A 2000, 281, 229–233. [Google Scholar] [CrossRef]
- Franke, O.; Durst, K.; Göken, M. Nanoindentation Investigations to Study Solution Hardening in Ni-Based Diffusion Couples. J. Mater. Res. 2011, 24, 1127–1134. [Google Scholar] [CrossRef]
- Neumeier, S.; Rehman, H.U.; Neuner, J.; Zenk, C.H.; Michel, S.; Schuwalow, S.; Rogal, J.; Drautz, R.; Göken, M. Diffusion of Solutes in Fcc Cobalt Investigated by Diffusion Couples and First Principles Kinetic Monte Carlo. Acta Mater. 2016, 106, 304–312. [Google Scholar] [CrossRef]
- Ustad, T.; Sørum, H. Interdiffusion in the Fe-Ni, Ni-Co, and Fe-Co Systems. Phys. Status Solidi (a) 1973, 20, 285–294. [Google Scholar] [CrossRef]
- Gong, X.; Ma, Y.; Guo, H.; Gong, S. Effect of Thermal Cycling on Microstructure Evolution and Elements Diffusion Behavior near the Interface of Ni/NiAl Diffusion Couple. J. Alloys Compd. 2015, 642, 117–123. [Google Scholar] [CrossRef]
- Fu, C.L.; Reed, R.C.; Janotti, A.; Krcmar, M. On the Diffusion of Alloying Elements in the Nickel-Base Superalloys. Superalloys 2004, 2004, 867–876. [Google Scholar]
- Herzig, C.; Przeorski, T.; Friesel, M.; Hisker, F.; Divinski, S. Tracer Solute Diffusion of Nb, Zr, Cr, Fe, and Ni in γ-TiAl: Effect of Preferential Site Occupation. Intermetallics 2001, 9, 461–472. [Google Scholar] [CrossRef]
- Divinski, S.; Hisker, F.; Klinkenberg, C.; Herzig, C. Niobium and Titanium Diffusion in the High Niobium-Containing Ti–54Al–10Nb Alloy. Intermetallics 2006, 14, 792–799. [Google Scholar] [CrossRef]
- Loretto, M.H.; Wu, Z.; Chu, M.Q.; Saage, H.; Hu, D.; Attallah, M.M. Deformation of Microstructurally Refined Cast Ti46Al8Nb and Ti46Al8Ta. Intermetallics 2012, 23, 1–11. [Google Scholar] [CrossRef]
- Vojtěch, D.; Popela, T.; Hamáček, J.; Kützendörfer, J. The Influence of Tantalum on the High Temperature Characteristics of Lamellar Gamma+alpha 2 Titanium Aluminide. Mater. Sci. Eng. A 2011, 528, 8557–8564. [Google Scholar] [CrossRef]
- Liu, Z.C.; Lin, J.P.; Li, S.J.; Chen, G.L. Effects of Nb and Al on the Microstructures and Mechanical Properties of High Nb Containing TiAl Base Alloys. Intermetallics 2002, 10, 653–659. [Google Scholar] [CrossRef]
- Zhang, W.; Liu, Z.; Chen, G.; Kim, Y.-W. Deformation Mechanisms in a High-Nb Containing γ–TiAl Alloy at 900 °C. Mater. Sci. Eng. A 1999, 271, 416–423. [Google Scholar] [CrossRef]
- Durst, K.; Franke, O.; Böhner, A.; Göken, M. Indentation Size Effect in Ni–Fe Solid Solutions. Acta Mater. 2007, 55, 6825–6833. [Google Scholar] [CrossRef]
- Sauer, F.; Freise, V. Diffusion in Binären Gemischen Mit Volumenänderung. Z. Elektrochem. Ber. Bunsenges. Phys. Chem. 1962, 66, 353–362. [Google Scholar] [CrossRef]
- Moré, J.J. The Levenberg-Marquardt Alorithm: Implementation and Theory. In Numerical Analysis; Springer: Berlin/Heidelberg, Germany, 1978; pp. 105–116. [Google Scholar]
- Oliver, W.C.; Pharr, G.M. An Improved Technique for Determining Hardness and Elastic Modulus Using Load and Displacement Sensing Indentation Experiments. J. Mater. Res. 1992, 7, 1564–1583. [Google Scholar] [CrossRef]
- Labusch, R. Statistische Theorien der Mischkristallhärtung. Acta Metall. 1972, 20, 917–927. [Google Scholar] [CrossRef]
- Hart, E.W. Theory of the Tensile Test. Acta Metall. 1967, 15, 351–355. [Google Scholar] [CrossRef]
- Ghosh, A.K. On the Measurement of Strain-Rate Sensitivity for Deformation Mechanism in Conventional and Ultra-Fine Grain Alloys. Mater. Sci. Eng. A 2007, 463, 36–40. [Google Scholar] [CrossRef]
- Smigelskas, A.D.; Kirkendall, E.O. Zinc Diffusion in Alpha Brass. Trans. AIME 1946, 171, 130–142. [Google Scholar]
- Schuster, J.C.; Palm, M. Reassessment of the Binary Aluminum-Titanium Phase Diagram. J. Phase Equilibria Diffus. 2006, 27, 255–277. [Google Scholar] [CrossRef]
- Tetsui, T. Effects of High Niobium Addition on the Mechanical Properties and High-Temperature Deformability of Gamma TiAl Alloy. Intermetallics 2002, 10, 239–245. [Google Scholar] [CrossRef]
- Gebhard, S.; Pyczak, F.; Göken, M. Microstructural and Micromechanical Characterisation of TiAl Alloys Using Atomic Force Microscopy and Nanoindentation. Mater. Sci. Eng. A 2009, 523, 235–241. [Google Scholar] [CrossRef] [Green Version]
- Schwaighofer, E.; Rashkova, B.; Clemens, H.; Stark, A.; Mayer, S. Effect of Carbon Addition on Solidification Behavior, Phase Evolution and Creep Properties of an Intermetallic b-Stabilized g-TiAl Based Alloy. Intermetallics 2014, 46, 173–184. [Google Scholar] [CrossRef] [Green Version]
- Sun, F.-S.; Cao, C.-X.; Yan, M.-G.; Kim, S.-E. Alloying Mechanism of Beta Stabilizers in a TiAl Alloy. Metall. Mater. Trans. A 2001, 32, 1573–1589. [Google Scholar] [CrossRef]
- Zhang, W.; Deevi, S.; Chen, G. On the Origin of Superior High Strength of Ti–45Al–10Nb Alloys. Intermetallics 2002, 10, 403–406. [Google Scholar] [CrossRef]
- Kawabata, T.; Fukai, H.; Izumi, O. Effect of Ternary Additions on Mechanical Properties of TiAl. Acta Mater. 1998, 46, 2185–2194. [Google Scholar] [CrossRef]
- Goldschmidt, V.M. Crystal Structure and Chemical Constitution. Trans. Faraday Soc. 1929, 25, 253–283. [Google Scholar] [CrossRef]
- Janotti, A.; Krcmar, M.; Fu, C.L.; Reed, R.C. Solute Diffusion in Metals: Larger Atoms Can Move Faster. Phys. Rev. Lett. 2004, 92, 085901. [Google Scholar] [CrossRef]
- Karunaratne, M.S.A.; Reed, R.C. Interdiffusion of Niobium and Molybdenum in Nickel between 900–1300 °C. In Proceedings of the Diffusion in Materials—DIMAT2004, Cracow, Poland, 18–23 July 2004; Volume 237, pp. 420–425. [Google Scholar]
- Saage, H.; Huang, A.J.; Hu, D.; Loretto, M.H.; Wu, X. Microstructures and Tensile Properties of Massively Transformed and Aged Ti46Al8Nb and Ti46Al8Ta Alloys. Intermetallics 2009, 17, 32–38. [Google Scholar] [CrossRef]
- Tanda, D.; Tanabe, T.; Tamura, R.; Takeuchi, S. Synthesis of Ternary L10 Compounds of Ti–Al–Zr System and Their Mechanical Properties. Mater. Sci. Eng. A 2004, 387–389, 991–995. [Google Scholar] [CrossRef]
- Court, S.A.; Vasudevan, V.K.; Fraser, H.L. Deformation Mechanisms in the Intermetallic Compound TiAl. Philos. Mag. A 1990, 61, 141–158. [Google Scholar] [CrossRef]
- Sriram, S.; Dimiduk, D.M.; Hazzledine, P.M.; Vasudevan, V.K. The Geometry and Nature of Pinning Points of ½ ⟨110] Unit Dislocations in Binary TiAl Alloys. Philos. Mag. A 1997, 76, 965–993. [Google Scholar] [CrossRef]
- Viguier, B.; Hemker, K.J.; Bonneville, J.; Louchet, F.; Martin, J.-L. Modelling the Flow Stress Anomaly in γ-TiAl I. Experimental Observations of Dislocation Mechanisms. Philos. Mag. A 1995, 71, 1295–1312. [Google Scholar] [CrossRef]
- Greenberg, B.A.; Gornostirev, Y.N. Possible Factors Affecting the Brittleness of the Intermetallic Compound TiAl. I. Transformations of Dislocations to Non-Planar Configurations. Scr. Metall. 1988, 22, 853–857. [Google Scholar] [CrossRef]
- Kawabata, T.; Kanai, T.; Izumi, O. Positive Temperature Dependence of the Yield Stress in TiAl L10 Type Superlattice Intermetallic Compound Single Crystals at 293–1273 K. Acta Metall. 1985, 33, 1355–1366. [Google Scholar] [CrossRef]
- Greenberg, B.F.; Anisimov, V.I.; Gornostirev, Y.N.; Taluts, G.G. Possible Factors Affecting the Brittleness of the Intermetallic Compound TiAl. II. Peierls Manyvalley Relief. Scr. Metall. 1988, 22, 859–864. [Google Scholar] [CrossRef]
- Labusch, R. A Statistical Theory of Solid Solution Hardening. Phys. Status Solidi B 1970, 41, 659–669. [Google Scholar] [CrossRef]








| Alloys | Ti | Al | Nb | Ta | Zr | Cu | Fe | C | N | O |
|---|---|---|---|---|---|---|---|---|---|---|
| Ti-54Al | 46 (45.92) | 54 (53.93) | - | - | - | - | - | - (0.012) | - (0.013) | - (0.110) |
| Ti-54Al-5Nb | 41 (40.95) | 54 (53.86) | 5 (5.02) | - | - | - (0.012) | - | - (0.013) | - (0.017) | - (0.114) |
| Ti-54Al-5Ta | 41 (41.01) | 54 (53.81) | - | 5 (5.04) | - | - | - | - (0.029) | - (0.019) | - (0.084) |
| Ti-54Al-5Zr | 41 (40.86) | 54 (53.89) | - | - | 5 (5.02) | - | - (0.075) | - (0.013) | - (0.017) | - (0.111) |
| Temperature | |||
|---|---|---|---|
| 1200 °C | 2.66 × 10−16 | 1.88 × 10−16 | 2.06 × 10−15 |
| 1250 °C | 8.18 × 10−16 | 3.33 × 10−16 | 6.45 × 10−15 |
| 1300 °C | 1.38 × 10−15 | 7.69 × 10−16 | 1.08 × 10−14 |
| Element | Activation Energy Q/kJ·mol−1 | Frequency Factor/m2·s−1 |
|---|---|---|
| Nb | 318 | 5.63 × 10−5 |
| Ta | 271 | 7.12 × 10−7 |
| Zr | 320 | 5.19 × 10−4 |
| Alloy | Kssh (IDZ)/GPa/(at.%2/3) | H (Bulk)/GPa | Kssh (Bulk)/GPa/(at.%2/3) |
|---|---|---|---|
| Ti-54Al | - | 3.46 ± 0.38 | - |
| Ti-54Al-5Nb | 0.26 | 4.38 ± 0.41 | 0.31 ± 0.38 |
| Ti-54Al-5Ta | 0.30 | 4.22 ± 0.49 | 0.26 ± 0.42 |
| Ti-54Al-5Zr | 0.47 | 4.99 ± 0.41 | 0.52 ± 0.38 |
Publisher’s Note: MDPI stays neutral with regard to jurisdictional claims in published maps and institutional affiliations. |
© 2022 by the authors. Licensee MDPI, Basel, Switzerland. This article is an open access article distributed under the terms and conditions of the Creative Commons Attribution (CC BY) license (https://creativecommons.org/licenses/by/4.0/).
Share and Cite
Haußmann, L.; Neumeier, S.; Bresler, J.; Keim, S.; Pyczak, F.; Göken, M. Influence of Nb, Ta and Zr on the Interdiffusion Coefficients and Solid Solution Strengthening of γ-TiAl Single Phase Alloys. Metals 2022, 12, 752. https://doi.org/10.3390/met12050752
Haußmann L, Neumeier S, Bresler J, Keim S, Pyczak F, Göken M. Influence of Nb, Ta and Zr on the Interdiffusion Coefficients and Solid Solution Strengthening of γ-TiAl Single Phase Alloys. Metals. 2022; 12(5):752. https://doi.org/10.3390/met12050752
Chicago/Turabian StyleHaußmann, Lukas, Steffen Neumeier, Johannes Bresler, Simon Keim, Florian Pyczak, and Mathias Göken. 2022. "Influence of Nb, Ta and Zr on the Interdiffusion Coefficients and Solid Solution Strengthening of γ-TiAl Single Phase Alloys" Metals 12, no. 5: 752. https://doi.org/10.3390/met12050752
APA StyleHaußmann, L., Neumeier, S., Bresler, J., Keim, S., Pyczak, F., & Göken, M. (2022). Influence of Nb, Ta and Zr on the Interdiffusion Coefficients and Solid Solution Strengthening of γ-TiAl Single Phase Alloys. Metals, 12(5), 752. https://doi.org/10.3390/met12050752

