Investigation of Through-Thickness Residual Stress, Microstructure and Texture in Radial Forged High-Strength Alloy Steel Tubes
Abstract
:1. Introduction
2. Materials and Methods
2.1. Materials and Cold Radial Forging
2.2. Residual Stress Determination
2.3. Microhardness and Texture
2.4. Microstructural Characteristics
3. Results
3.1. Residual Stress
3.2. Microhardness
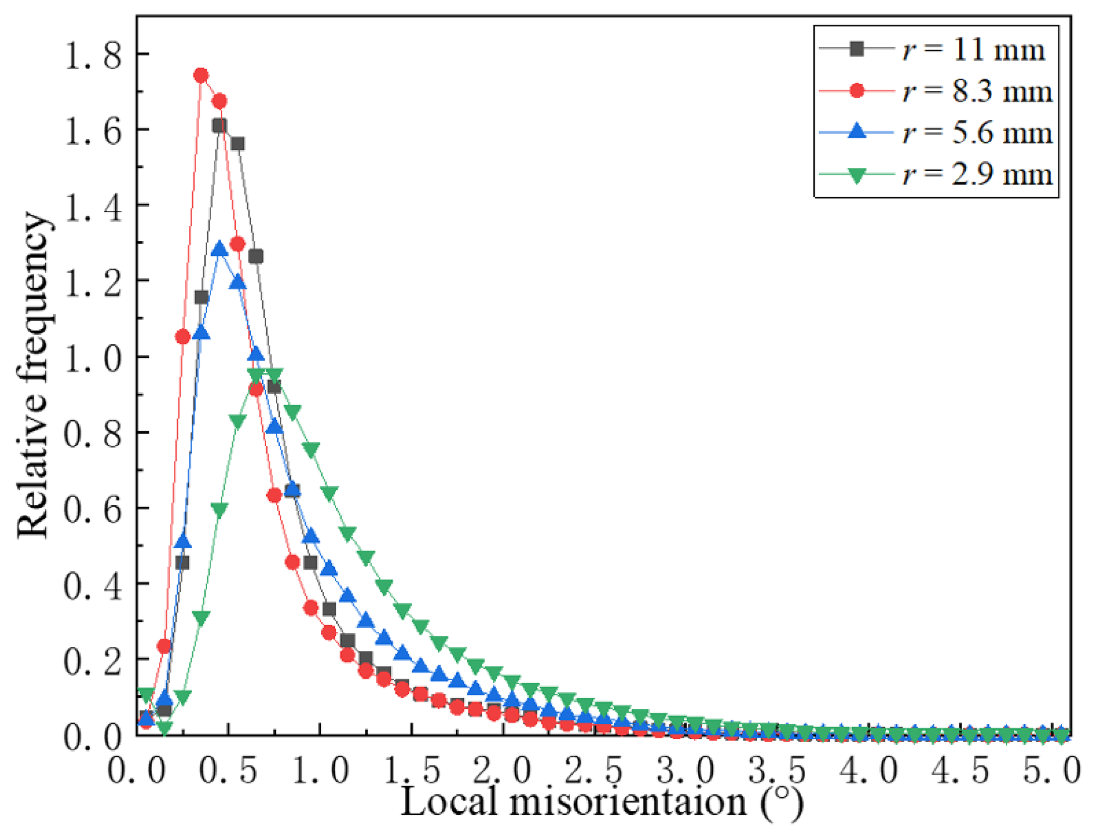
3.3. Microstructure Evolution
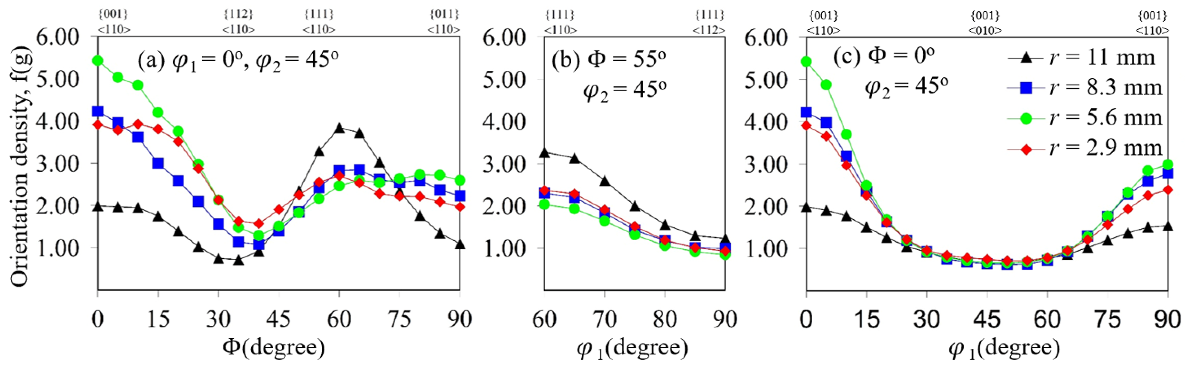
3.4. Texture Evolution
4. Discussion
4.1. Relationship of Through-Thickness Microstructure and Residual Stresses
4.2. Effect of Through-Thickness Microstructure on Strength
4.3. Through-Thickness Texture and Anisotropy
4.4. Influence of Thickness Reduction on Strength and Anisotropy
5. Conclusions
- (1)
- The microhardness of the outer surface is lower than the inner. There is a tensile, residual stress up to 728 MPa near the inner surface. The residual stress on the outer surface is compressive. The axial and hoop residual stress of the one-third thickness (r = 8.3 mm) are close to 0 MPa.
- (2)
- The main texture components of the forged tube include texture {111}<110>, {001}<110> and {114}<110>. From the outer to inner surface, texture {111}<110> deflects gradually toward {114}<110>, {112}<110> and {110}<110>. There is a larger shear texture {001}<110> in the middle layer than the inner and outer surface. The anisotropy of the outer surface is the most obvious.
- (3)
- There is the smallest GND and LAGB fraction in the one-third thickness of the forged tube. The GND and LAGB increase gradually from the one-third thickness to the inner surface. The variation of the through-thickness strength mainly resulted from the difference of dislocation density. The strength inhomogeneity in the radial direction is reduced with a larger thickness reduction.
Author Contributions
Funding
Data Availability Statement
Conflicts of Interest
References
- Huang, J.; Slater, C.D.; Mandral, A.; Blackwell, P. A Dynamic Model for Simulation of Hot Radial Forging Process. Procedia Eng. 2017, 207, 478–483. [Google Scholar] [CrossRef] [Green Version]
- Yang, Y.; Fan, L.; Xu, C.; Dong, X. Experimental Study of Mechanical Properties of 30SiMn2MoVA Steel Gun Barrel Processed by Cold Radial Forging. J. Press. Vessel Technol. 2020, 143, 011501. [Google Scholar] [CrossRef]
- Kumar, G.; Lodh, A.; Singh, J.; Singh, R.; Srivastava, D.; Dey, G.; Samajdar, I. Experimental characterization and finite element modeling of through thickness deformation gradient in a cold rolled zirconium sheet. CIRP J. Manuf. Sci. Technol. 2017, 19, 176–190. [Google Scholar] [CrossRef]
- Zhu, J.J.; Yuan, W.H. Effect of Pre-Stretching on Residual Stresses and Microstructures of Inconel 718 Superalloy. Metals 2021, 11, 614. [Google Scholar] [CrossRef]
- Chu, Q.B.; Kong, X.F.; Tan, W. Introducing Compressive Residual Stresses into a Stainless-Steel T-Pipe Joint by an Overlay Weld. Metals 2021, 11, 1109. [Google Scholar] [CrossRef]
- Chen, J.; Poole, W.J.; Parson, N.C. The effect of through thickness texture variation on the anisotropic mechanical response of an extruded Al-Mn-Fe-Si alloy. Mater. Sci. Eng. A 2018, 730, 24–35. [Google Scholar] [CrossRef]
- Zdunek, J.; Maj, P.; Kulczyk, M.; Mizera, J. Texture, residual stresses and mechanical properties analysis in the commercial 1.4462 duplex stainless steel subjected to hydrostatic extrusion. Arch. Civ. Mech. Eng. 2019, 19, 525–534. [Google Scholar] [CrossRef]
- Olivier, L.; Andrei, K.; Vladimir, L. Microstructural, Mechanical, Texture and Residual Stress Characterizations of X52 Pipeline Steel. Metals 2017, 7, 306. [Google Scholar]
- Jang, D.; Liou, J. Study of stress development in axi-symmetric products processed by radial forging using a 3-D non-linear finite-element method. J. Mater. Process. Technol. 1998, 74, 74–82. [Google Scholar] [CrossRef]
- Mungi, M.; Rasane, S.; Dixit, P. Residual stresses in cold axisymmetric forging. J. Mater. Process. Technol. 2003, 142, 256–266. [Google Scholar] [CrossRef]
- Ameli, A.; Movahhedy, M.R. A parametric study on residual stresses and forging load in cold radial forging process. Int. J. Adv. Manuf. Technol. 2006, 33, 7–17. [Google Scholar] [CrossRef]
- Wu, Y.; Dong, X. An upper bound model with continuous velocity field for strain inhomogeneity analysis in radial forging process. Int. J. Mech. Sci. 2016, 115–116, 385–391. [Google Scholar] [CrossRef]
- Ishkina, S.; Charni, D.; Herrmann, M.; Liu, Y.; Epp, J.; Schenck, C.; Kuhfuss, B.; Zoch, H.-W. Influence of Process Fluctuations on Residual Stress Evolution in Rotary Swaging of Steel Tubes. Materials 2019, 12, 855. [Google Scholar] [CrossRef] [PubMed] [Green Version]
- Ghaei, A.; Movahhedy, M.; Taheri, A.K. Finite element modelling simulation of radial forging of tubes without mandrel. Mater. Des. 2008, 29, 867–872. [Google Scholar] [CrossRef]
- Yang, Y.; Fan, L.; Xu, C. The microstructure, texture evolution and plasticity anisotropy of 30SiMn2MoVA high strength alloy steel tube processed by cold radial forging. Mater. Charact. 2020, 169, 110641. [Google Scholar] [CrossRef]
- Arreola-Herrera, R.; Cruz-Ramírez, A.; Suárez-Rosales, M.; Sánchez-Álvarado, R.G. The effect of cold forming on structure and properties of 32 CDV 13 steel by radial forging process. Mater. Res. 2014, 17, 445–450. [Google Scholar] [CrossRef] [Green Version]
- Xiao, Z.; Liu, H.; Liu, B.; Sun, H.; Liu, D.; Liu, G. The effect of forming parameter on multi-stage cold forging with 20MnTiB steel. Int. J. Adv. Manuf. Technol. 2015, 83, 1189–1197. [Google Scholar] [CrossRef]
- Kamikawa, N.; Tsuji, N.; Minamino, Y. Microstructure and texture through thickness of ultralow carbon IF steel sheet severely deformed by accumulative roll-bonding. Sci. Technol. Adv. Mater. 2004, 5, 163–172. [Google Scholar] [CrossRef] [Green Version]
- Barrett, C. Influence of lubrication on through thickness texture of ferritically hot rolled interstitial free steel. Ironmak. Steelmak. 1999, 26, 393–397. [Google Scholar] [CrossRef]
- Gao, X.; Wu, H.-B.; Liu, M.; Zhang, Y.-X.; Gao, F.; Zhou, X.-D. Effect of Thickness Reduction on Microstructure and Properties of Rolled C71500 Cupronickel Alloy Tube. J. Mater. Eng. Perform. 2021, 30, 3273–3283. [Google Scholar] [CrossRef]
- Xu, W.; Mo, J.; Zhang, J.; Lian, Y.; Ji, P. Evolution of Residual Stress and Microstructure during Annealing of 30SiMn2MoVA High-Strength Alloy Steel Tube Processed by Cold Radial Forging. J. Mater. Eng. Perform. 2021, 30, 5889–5897. [Google Scholar] [CrossRef]
- Thibault, D.; Bocher, P.; Thomas, M.; Gharghouri, M.; Côté, M. Residual stress characterization in low transformation temperature 13%Cr–4%Ni stainless steel weld by neutron diffraction and the contour method. Mater. Sci. Eng. A 2010, 527, 6205–6210. [Google Scholar] [CrossRef]
- Woo, W.; Em, V.T.; Seong, B.S.; Mikula, P.; An, G.B. Residual stress determination in a thick ferritic steel weld plate using neutron diffraction. J. Mater. Sci. 2012, 47, 5617–5623. [Google Scholar] [CrossRef]
- Kamal, S.M.; Borsaikia, A.C.; Dixit, U.S. Experimental assessment of residual stresses induced by the thermal autofrettage of thick-walled cylinders. J. Strain Anal. Eng. Des. 2015, 51, 144–160. [Google Scholar] [CrossRef]
- Skvortsov, V.; Boznak, A.; Kim, A.; Arlyapov, A.Y.; Dmitriev, A. Reduction of the residual stresses in cold expanded thick-walled cylinders by plastic compression. Def. Technol. 2016, 12, 473–479. [Google Scholar] [CrossRef] [Green Version]
- Goloujeh, M.R.; Soltanpour, M. Simple shear forging as a method for severe plastic deformation. Int. J. Light. Mater. Manuf. 2020, 4, 165–178. [Google Scholar] [CrossRef]
- Zhang, K.; Marthinsen, K.; Holmedal, B.; Aukrust, T.; Segatori, A. Through thickness variations of deformation texture in round profile extrusions of 6063-type aluminium alloy: Experiments, FEM and crystal plasticity modelling. Mater. Sci. Eng. A 2018, 722, 20–29. [Google Scholar] [CrossRef]
- Shamsujjoha, M.; Agnew, S.R.; Fitz-Gerald, J.M.; Moore, W.R.; Newman, T.A. High Strength and Ductility of Additively Manufactured 316L Stainless Steel Explained. Met. Mater. Trans. A 2018, 49, 3011–3027. [Google Scholar] [CrossRef]
- Hwang, J.K. Correlation of Strain Path, Texture, Twinning, and Mechanical Properties in Twinning-Induced Plasticity Steel during Wire Drawing. Materials 2020, 13, 2250. [Google Scholar] [CrossRef]
- Das, A.; Verma, V.; Basak, C.B. Elucidating microstructure of spinodal copper alloy through annealing. Mater. Charact. 2016, 120, 152–158. [Google Scholar] [CrossRef]
- Zhang, K.; Zhang, K.; Zhu, Y.; Wu, X.; Williams, J.; Liang, E.; Ma, J.; Zhang, R.; Lim, C.V.S.; Huang, A. Effect of Deformation Reduction on Microstructure, Texture, and Mechanical Properties of Forged Ti-6Al-4V. J. Mater. Eng. Perform. 2021, 30, 1147–1156. [Google Scholar] [CrossRef]
- Guo, X.; Wang, L.; Wang, M.; Qin, J.; Zhang, D.; Lu, W. Effects of degree of deformation on the microstructure, mechanical properties and texture of hybrid-reinforced titanium matrix composites. Acta Mater. 2012, 60, 2656–2667. [Google Scholar] [CrossRef]
- Grydin, O.; Anatolii, A.; Briukhanov, A.; Briukhanova, Z.; Schaper, M. Evolution of Microstructure, Properties and Texture of a Two-Phase Low-Carbon Steel at Cold Asymmetric Rolling. Steel Res. Int. 2017, 88, 1600397. [Google Scholar] [CrossRef]
- Wang, Y.-Q.; Zhang, X.-M.; He, Z.; Zu, G.-Q.; Ji, G.-F.; Duan, J.-Y.; Misra, R. Effect of copper precipitates on mechanical and magnetic properties of Cu-bearing non-oriented electrical steel processed by twin-roll strip casting. Mater. Sci. Eng. A 2017, 703, 340–347. [Google Scholar] [CrossRef]
- Pavel, K.; Gunnel, F.; Krister, S.; Igor, Y.; Ina, Y.; Mattias, T.; Ru, P. Microstructure, Solidification Texture, and Thermal Stability of 316 L Stainless Steel Manufactured by Laser Powder Bed Fusion. Metals 2018, 8, 643. [Google Scholar]
- Yen, H.-W.; Chen, P.-Y.; Huang, C.-Y.; Yang, J.-R. Interphase precipitation of nanometer-sized carbides in a titanium–molybdenum-bearing low-carbon steel. Acta Mater. 2011, 59, 6264–6274. [Google Scholar] [CrossRef]
- Wang, Y.; Zhang, Y.-X.; Lu, X.; Fang, F.; Cao, G.-M.; Li, C.-G.; Xu, Y.-B.; Misra, R.D.K.; Wang, G.-D. Effect of Hot Rolling on Texture, Precipitation, and Magnetic Properties of Strip-Cast Grain-Oriented Silicon Steel. Steel Res. Int. 2016, 87, 1601–1608. [Google Scholar] [CrossRef]












| C | Ni | Cr | Mo | W | V | P, S |
|---|---|---|---|---|---|---|
| 0.22–0.28 | 2.60–3.20 | 1.20–2.30 | 0.45–0.75 | 0.30–0.60 | 0.15–0.35 | ≤0.01 |
| Ro | Ri | ro | ri | |
|---|---|---|---|---|
| 15.10 | 5.60 | 11.00 | 2.90 | 42.7% |
| 15.10 | 5.60 | 10.45 | 2.90 | 48.7% |
| Radial (mm) | LAGBs (%) | MAGBs (%) | HAGBs (%) | AGS (μm) |
|---|---|---|---|---|
| 11.0 | 47 | 14 | 39 | 0.48 |
| 8.3 | 40 | 17 | 43 | 0.48 |
| 5.6 | 54 | 13 | 33 | 0.44 |
| 2.9 | 60 | 12 | 28 | 0.41 |
| Radial (mm) | 11 | 8.3 | 5.6 | 2.9 |
| GND (1015 m−2) | 1.31 | 1.18 | 1.52 | 1.95 |
| Texture Component | {112} <110> | {223} <110> | {111} <110> | {110} <110> | {001} <110> | {114} <110> | {111} <011> | {001} <110> | α-fiber | γ-fiber | λ-fiber |
|---|---|---|---|---|---|---|---|---|---|---|---|
| Euler Angle | (0, 30, 45) | (0, 45, 45) | (0, 57, 45) | (0, 90, 45) | (0, 0, 45) | (0, 20, 45) | (60, 55, 45) | (90, 0, 45) | - | - | - |
| 11 mm | 3.62 | 6.48 | 10.85 | 2.66 | 3.41 | 4.92 | 10.50 | 3.40 | 14.68 | 22.15 | 11.89 |
| 8.3 mm | 5.48 | 5.77 | 8.14 | 3.93 | 5.29 | 7.77 | 7.96 | 5.28 | 16.75 | 17.41 | 14.43 |
| 5.6 mm | 6.46 | 5.91 | 7.47 | 4.28 | 5.59 | 9.00 | 7.38 | 5.57 | 16.62 | 16.30 | 14.92 |
| 2.9 mm | 6.56 | 6.96 | 8.27 | 3.55 | 4.65 | 8.30 | 8.37 | 4.64 | 15.37 | 18.13 | 13.92 |
| Radial (mm) | 11 | 8.3 | 5.6 | 2.9 |
|---|---|---|---|---|
| Δσρ | 527 | 500 | 568 | 643 |
| ΔσGB | 25 | 25 | 26 | 27 |
| Radial (mm) | 11 | 8.3 | 5.6 | 2.9 | |
|---|---|---|---|---|---|
| Tensile direction | AD | 3.316 | 3.153 | 3.200 | 3.212 |
| HD | 3.015 | 3.058 | 3.005 | 3.016 | |
| Position | HV500 | GND (1015 m−2) | |
|---|---|---|---|
| Outer surface | 376 | 1.37 | 539 |
| Inner surface | 396 | 1.77 | 612 |
Publisher’s Note: MDPI stays neutral with regard to jurisdictional claims in published maps and institutional affiliations. |
© 2022 by the authors. Licensee MDPI, Basel, Switzerland. This article is an open access article distributed under the terms and conditions of the Creative Commons Attribution (CC BY) license (https://creativecommons.org/licenses/by/4.0/).
Share and Cite
Xu, W.; Zhang, J. Investigation of Through-Thickness Residual Stress, Microstructure and Texture in Radial Forged High-Strength Alloy Steel Tubes. Metals 2022, 12, 622. https://doi.org/10.3390/met12040622
Xu W, Zhang J. Investigation of Through-Thickness Residual Stress, Microstructure and Texture in Radial Forged High-Strength Alloy Steel Tubes. Metals. 2022; 12(4):622. https://doi.org/10.3390/met12040622
Chicago/Turabian StyleXu, Weisheng, and Jin Zhang. 2022. "Investigation of Through-Thickness Residual Stress, Microstructure and Texture in Radial Forged High-Strength Alloy Steel Tubes" Metals 12, no. 4: 622. https://doi.org/10.3390/met12040622
APA StyleXu, W., & Zhang, J. (2022). Investigation of Through-Thickness Residual Stress, Microstructure and Texture in Radial Forged High-Strength Alloy Steel Tubes. Metals, 12(4), 622. https://doi.org/10.3390/met12040622
