Evaluation of Tannins as Potential Green Corrosion Inhibitors of Aluminium Alloy Used in Aeronautical Industry
(This article belongs to the Section Corrosion and Protection)
Abstract
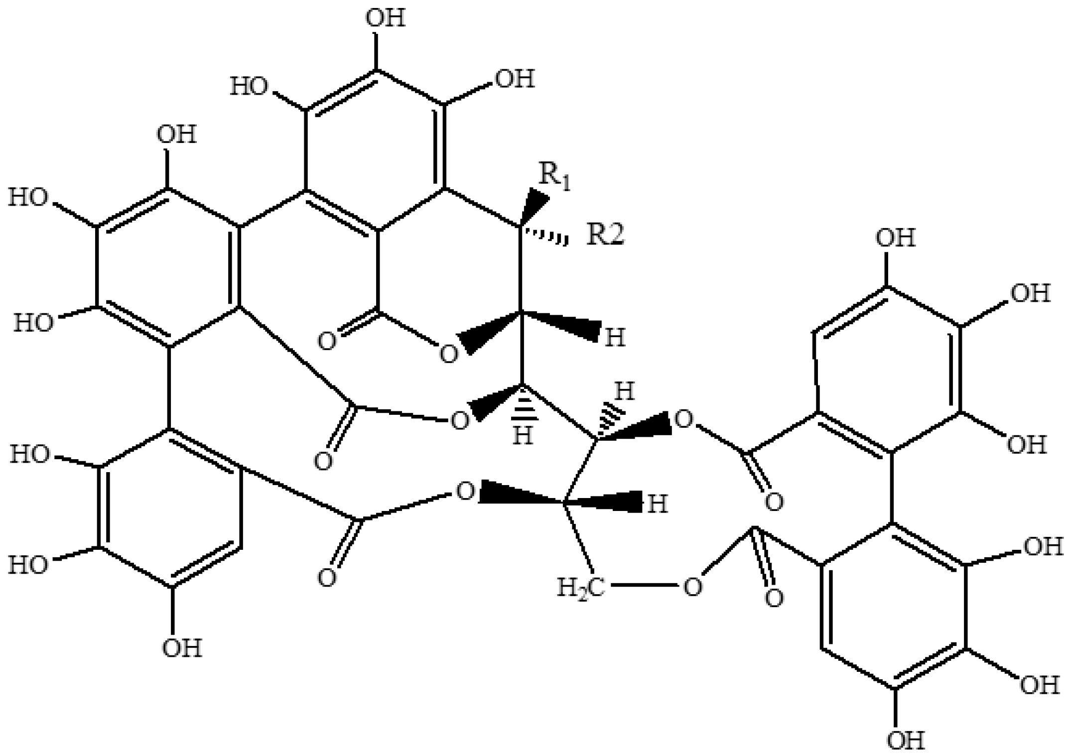
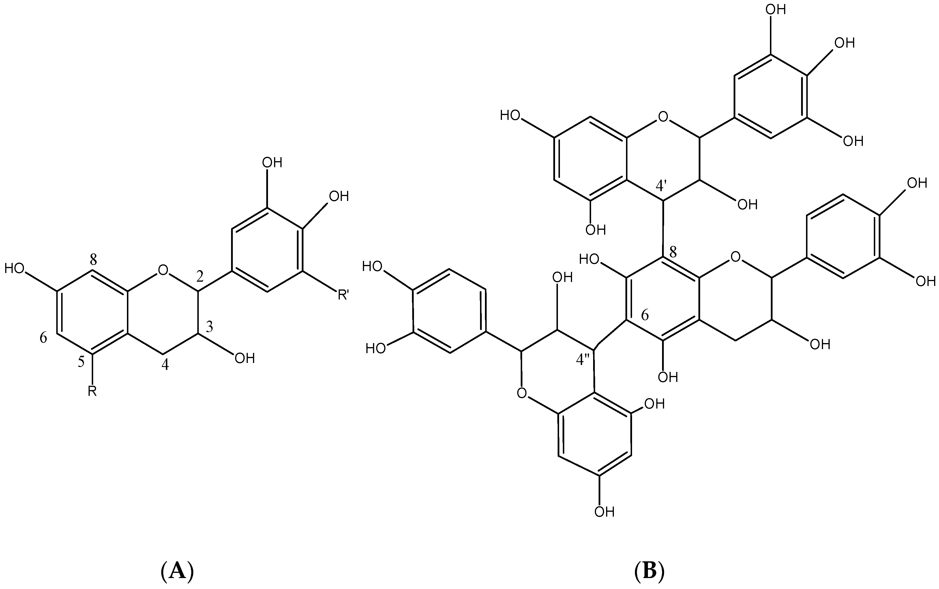
:1. Introduction
- (a)
- electrostatic attraction between the organic molecules and the metal;
- (b)
- interaction of oxygen lone electron pairs with the metal;
- (c)
- interaction of tannin molecule π-electrons with the metal;
- (d)
- combination of (a) and (c).
2. Materials and Methods
2.1. Sample Preparation
2.2. UV-Vis Spectra
2.3. Electrochemical Measurements
2.4. FTIR Spectroscopy
2.5. Scanning Electron Microscopy (SEM)
3. Results and Discussion
3.1. Morphology Analysis
3.2. Coating Characterization
| SA | GSA | TNSA | CSA | MSA | Assignments | References |
|---|---|---|---|---|---|---|
| 3815 vs | 3990 vs | 3963 vs | νas O-H | [40] | ||
| 3414 vs 3037 vs | 3400 vs 3062 vs | 3531 vs | 3446 vs | 3427 vs | νO-H streching | [40,50,52] |
| 1635 vs | 1637 m | 1624 s | νO-H (H2O) and νsCOO− | [16,40] | ||
| 1552 s 1464 s | 1577 s 1475 s | 1543 s | νasCOO− | [16,40] | ||
| 1132 m | 1132 s | 1134 m | ν C-O-C cyclic ether | [40,42,51,52,53,54] | ||
| 980 s | 980 s | 980 s | 980 s | 980 s | νas AlO4 and δAlO4 | [40,42,51,52,53,54] |
| 629 vw | 633 vw | 638 w | 629 w | 623 w | νas AlO4 | [40,42,51,52,53,54] |
| 561 s | 560 w | 559 w | 561 w | 530 w | νas AlO6 | [40,42,51,52,53,54] |
| SA | GSA | TNSA | CSA | MSA | Assignments | References |
|---|---|---|---|---|---|---|
| 3984 vs | 3813 vs | 3826 vs | 3840 vs | νas O-H | [40] | |
| 3695 vs | νs O-H | [40,51] | ||||
| 3325 vs | 3495 vs 3174 vs | 3537 vs 3089 vs | 3485 vs | 3477 vs 3190 vs | νO-H streching | [40,51] |
| 1635 w | 1635 m | 1635 s | 1633 w | 1641 m | νO-H (H2O) and νsCOO− | [16,40] |
| 1151 m | 1144 m | 1140 m | 1138 m | ν C-O-C cyclic ether | [40,51,52,53,54,55] | |
| 1051 w | 1059 vw | 1078 vw | 1057 w | β = C-H deformation | [40,51,52,53,54,55] | |
| 947 w | 903 w | 908 w | 918 w | 916 w | νas AlO4 and δAlO4 | [40,51,52,53,54,55] |
| 654 vw | 650 vw | 665 w | νas AlO4 | [40,51,52,53,54,55] | ||
| 501 s | 513 vw | 511 w | 519 w | νas AlO6 | [40,51,52,53,54,55] | |
| 476 s | 476 s | 478 w | 476 s | δAlO4 | [40,51,52,53,54,55] |
3.3. Stability of the Bath Solution
3.4. Electrochemical Measurements
4. Conclusions
Author Contributions
Funding
Data Availability Statement
Conflicts of Interest
References
- Qi, J.; Hashimoto, T.; Walton, J.; Zhou, X.; Skeldon, P.; Thompson, G.E. Formation of a Trivalent Chromium Conversion Coating on AA2024-T351 Alloy. J. Electrochem. Soc. 2016, 163, C25–C35. [Google Scholar] [CrossRef]
- Qi, J.; Hashimoto, T.; Thompson, G.E.; Carr, J. Influence of Water Immersion Post-Treatment Parameters on Trivalent Chromium Conversion Coatings Formed on AA2024-T351 Alloy. J. Electrochem. Soc. 2016, 163, C131–C138. [Google Scholar] [CrossRef]
- Chidambaram, D.; Clayton, C.R.; Kending, M.W.; Halada, G.P. Surface pretreatments of aluminuim alloy AA2024-T3 and Formation of Chromate Conversion Coatings. J. Electrochem. Soc. 2004, 151, B613–B620. [Google Scholar] [CrossRef]
- Qi, J.; Němcová, A.; Walton, J.; Zhou, X.; Skeldon, P.; Thompson, G. Influence of pre- and post-treatments on formation of a trivalent chromium conversion coating on AA2024 alloy. Thin Solid Film. 2016, 616, 270–278. [Google Scholar] [CrossRef] [Green Version]
- Li, L.; Swain, G.P.; Howell, A.; Woodburry, D.; Swain, G.M. The Formation, Structure, Electrochemical Properties and Stability of Trivalent Chrome Process (TCP) Coatings on AA2024. J. Electrochem. Soc. 2011, 158, C274–C283. [Google Scholar] [CrossRef]
- Li, L.; Whitman, B.W.; Swain, G.M. Characterization and Performance of a Zr/Ti Pretreatment Conversion Coating on AA2024-T3. J. Electrochem. Soc. 2015, 162, C279–C284. [Google Scholar] [CrossRef] [Green Version]
- Guo, Y.; Frankel, G. Characterization of trivalent chromium process coating on AA2024-T3. Surf. Coat. Technol. 2012, 206, 3895–3902. [Google Scholar] [CrossRef]
- Hughes, A.E.; Boaga, A.; Glennb, A.M.; Cullocha, D.M.; Musterc, T.H.; Ryand, C.; Luoe, C.; Zhoue, X.; Thompsone, G.E. Corrosion of AA2024-T3 Part II: Co-Operative Corrosion. Corros. Sci. 2011, 53, 27–39. [Google Scholar] [CrossRef]
- Tiringer, U.; Kovač, J.; Milošev, I. Effects of mechanical and chemical pre-treatments on the morphology and composition of surfaces of aluminium alloys 7075-T6 and 2024-T3. Corros. Sci. 2017, 119, 46–59. [Google Scholar] [CrossRef]
- Verdalet, G.; Pierre Bonino, J.; Duluard, S.; Fori, B. Influence of Alloy Microstructure and Surface State on the Protective Properties of Trivalent Chromium Coating Grow on a 2024 Aluminium Alloy. Surf. Coat. Technol. 2018, 344, 276–287. [Google Scholar] [CrossRef] [Green Version]
- Boag, A.; Taylor, R.; Muster, T.; Goodman, N.; McCulloch, D.; Ryan, C.; Rout, B.; Jamieson, D.; Hughes, A. Stable pit formation on AA2024-T3 in a NaCl environment. Corros. Sci. 2010, 52, 90–103. [Google Scholar] [CrossRef]
- Mrad, M.; Ben Amor, Y.; Dhouibi, L.; Montemor, F. Electrochemical study of polyaniline coating electropolymerized onto AA2024-T3 aluminium alloy: Physical properties and anticorrosion performance. Synth. Met. 2017, 234, 145–153. [Google Scholar] [CrossRef]
- Mrad, M.; Dhouibi, L.; Montemor, M.F. Elaboration of γ-Glycidoxypropyltrimethosysilane Coating on AA2024-T3 Aluminum Alloy: Influence of Synthesis Route on Physicochemical and Anticorrosion Properties. Prog. Org. Coat. 2018, 121, 1–12. [Google Scholar] [CrossRef]
- Zubillaga, O.; Cano, F.; Azkarate, I.; Molchan, I.; Thompson, G.; Skeldon, P. Anodic films containing polyaniline and nanoparticles for corrosion protection of AA2024T3 aluminium alloy. Surf. Coat. Technol. 2009, 203, 1494–1501. [Google Scholar] [CrossRef]
- Arenas, M.; Conde, A.; de Damborenea, J. Effect of acid traces on hydrothermal sealing of anodising layers on 2024 aluminium alloy. Electrochim. Acta 2010, 55, 8704–8708. [Google Scholar] [CrossRef]
- Abdel-Salam, O.E.; Shoeib, M.A.; Elkilany, H.A. Characterization of the Hard Anodizing Layers Formed on 2014-T3 Al Alloy, In Sulfuric Acid Electrolyte Containing Sodium Lignin Sulphonate. Egypt. J. Pet. 2018, 27, 497–504. [Google Scholar] [CrossRef]
- Boisier, G.; Lamure, A.; Pébère, N.; Portail, N.; Villatte, M. Corrosion protection of AA2024 sealed anodic layers using the hydrophobic properties of carboxylic acids. Surf. Coat. Technol. 2009, 203, 3420–3426. [Google Scholar] [CrossRef] [Green Version]
- Curioni, M.; De Miera, M.S.; Skeldon, P.; Thompson, G.E.; Ferguson, J. Macroscopic and Local Filming Behavior of AA2024 T3 Aluminum Alloy during Anodizing in Sulfuric Acid Electrolyte. J. Electrochem. Soc. 2008, 155, C387. [Google Scholar] [CrossRef]
- Boisier, G.; Pébère, N.; Druez, C.; Villatte, M.; Suel, S. FESEM and EIS Study of Sealed AA2024 T3 Anodized in Sulfuric Acid Electrolytes: Influence of Tartaric Acid. J. Electrochem. Soc. 2008, 155, C521–C529. [Google Scholar] [CrossRef] [Green Version]
- García-Rubio, M.; Lara, M.P.; Ocón, P.; Diekhonoff, S.; Beneke, M.; Lavía, A.; García, I. Effect of posttreatment on the corrosion behavior of tartaric-sulfuric. Electrochim. Acta 2009, 54, 4789–4800. [Google Scholar] [CrossRef]
- Balaskas, A.C.; Hashimoto, T.; Curioni, M.; Thompson, G.E. Two-Shell Structured PMAA@CeO2 Nanocontainers Loaded with 2-Mercaptobenzothiazole for Corrosion Protection of Damaged Epoxy Coated AA 2024-T3. Nanoscale 2017, 9, 5499–5508. [Google Scholar] [CrossRef] [PubMed]
- Almeida, M.E.; Ferreira, M.G.S. (Eds.) Corrosão Atmosférica. In Mapas de Portugal; INETI: Lisboa, Portugal, 1997; ISBN 972-676-161-1. [Google Scholar]
- Kendig, M.W.; Bucheit, R.G. Corrosion Inhibition of Aluminum and Aluminum Alloys by Soluble Chromates, Chromate Coatings, and Chromate-Free Coatings. Corrosion 2003, 59, 379–400. [Google Scholar] [CrossRef]
- Abrahami, S.; De Kok, J.M.M.; Terryn, H.; Mol, J.M.C. Towards Cr(VI)-free anodization of aluminum alloys for aerospace adhesive bonding applications: A review. Front. Chem. Sci. Eng. 2017, 11, 465–482. [Google Scholar] [CrossRef]
- Capelossi, V.; Poelman, M.; Recloux, I.; Hernandez, R.; de Melo, H.G.; Olivier, M. Corrosion protection of clad 2024 aluminum alloy anodized in tartaric-sulfuric acid bath and protected with hybrid sol-gel coating. Electrochim. Acta 2014, 124, 69–74. [Google Scholar] [CrossRef]
- Lamaka, S.V.; Zheludkevich, M.L.; Yasakau, K.A.; Montemor, M.F.; Ferreira, M.G.S. High Effective Organic Corrosion Inhib-itors for 2024 Aluminium Alloy. Electrochim. Acta 2007, 52, 7231–7247. [Google Scholar] [CrossRef]
- Ostovari, A.; Hoseinieh, M.; Peikari, M.; Shadizadeh, S.; Hashemi, S. Corrosion inhibition of mild steel in 1M HCl solution by henna extract: A comparative study of the inhibition by henna and its constituents (Lawsone, Gallic acid, α-d-Glucose and Tannic acid). Corros. Sci. 2009, 51, 1935–1949. [Google Scholar] [CrossRef]
- Shah, A.M.; Rahim, A.A.; Hamid, S.A.; Yahya, S. Green Inhibitors for Copper Corrosion by Mangrove Tannin, International. J. Electrochem. Sci. 2013, 8, 2140–2153. [Google Scholar]
- Faustin, M.; Maciuk, A.; Salvin, P.; Roos, C.; Lebrini, M. Corrosion Inhibition of C38 Steel by Alkaloids Extract of Geissospermum leave in 1M hydrochloric acid: Electrochemical and phytochemical studies. Corros. Sci. 2015, 92, 287–300. [Google Scholar] [CrossRef]
- Rahim, A.A.; Kassim, J. Recent Development of Vegetal Tannins in Corrosion Protection of Iron and Steel. Recent Pat. Mater. Sci. 2008, 1, 223–231. [Google Scholar] [CrossRef]
- Uromen, S.A.; Eduok, U.M. Application of Carbohydrate Polymers as Corrosion Inhibitors for Metal Substrates in Different Media: A review. Carbohydr. Polym. 2016, 140, 314–341. [Google Scholar]
- Raja, P.B.; Sethuraman, M.G. Natural products as corrosion inhibitor for metals in corrosive media—A review. Mater. Lett. 2008, 62, 113–116. [Google Scholar] [CrossRef]
- Aourabi, S.; Driouch, M.; Sfaira, M.; Mahjoubi, F.; Hammouti, B.; Verma, C.; Ebenso, E.E.; Guo, L. Phenolic fraction of Ammi visnaga extract as environmentally friendly antioxidant and corrosion inhibitor for mild steel in acidic medium. J. Mol. Liq. 2021, 23, 114950. [Google Scholar] [CrossRef]
- Iroha, K.B.; Maduelosi, N.J. Corrosion Inhibitive Action and Adsorption Behavior of Justicia Secunda Leaves Extract as an Eco-Friendly Inhibitor for Aluminium in Acidic Media. Biointerface Res. Appl. Chem. 2021, 11, 13019–13030. [Google Scholar]
- Tan, B.; Xiang, S.; Zhang, S.; Qiang, Y.; Xu, L.; Chen, S.; He, J. Papaya leaves extract as a novel eco-friendly corrosion inhibitor for Cu in H2SO4 medium. J. Colloid Interface Sci. 2021, 582, 918–931. [Google Scholar] [CrossRef]
- Qian, B.; Hou, B.; Zheng, M. The inhibition effect of tannic acid on mild steel corrosion in seawater wet/dry cyclic conditions. Corros. Sci. 2013, 72, 13019–13030. [Google Scholar] [CrossRef]
- Kusmierek, E.; Chrzescijanska, E. Tannic acid as corrosion inhibitor for metals and alloys. Mater. Corros. 2013, 66, 169–174. [Google Scholar] [CrossRef]
- Rahim, A.A.; Rocca, E.; Steinmetz, J.; Kassim, M.J.; Adnan, R.; Ibrahim, M.S. Mangrove tannins and their flavanoid monomers as alternative steel corrosion inhibitors in acidic medium. Corros. Sci. 2007, 49, 402–417. [Google Scholar] [CrossRef]
- Xu, W.; Han, E.-H.; Wang, Z. Effect of tannic acid on corrosion behavior of carbon steel in NaCl solution. J. Mater. Sci. Technol. 2018, 35, 64–75. [Google Scholar] [CrossRef]
- Falcão, L.; Araújo, M.E.M. Application of ATR–FTIR spectroscopy to the analysis of tannins in historic leathers: The case study of the upholstery from the 19th century Portuguese Royal Train. Vib. Spectrosc. 2014, 74, 98–103. [Google Scholar] [CrossRef]
- Falcão, L.; Araújo, M.E.M. Vegetable Tannins Used in the Manufacture of Historic Leathers. Molecules 2018, 23, 1081. [Google Scholar] [CrossRef] [PubMed] [Green Version]
- Liu, C.; Shih, K.; Gao, Y.; Li, F.; Wei, L. Dechlorinating transformation of propachlor through nucleophilic substitution by dithionite on the surface of alumina. J. Soils Sediments 2012, 12, 724–733. [Google Scholar] [CrossRef] [Green Version]
- Martinez, S.; Stern, I. Inhibitory Mechanism of Low-Carbon Steel Corrosion by Mimosa Tannin in Sulfuric Acid Solutions. J. Appl. Electrochem. 2001, 31, 973–978. [Google Scholar] [CrossRef]
- Martinez, S. Inhibitory mechanism of mimosa tannin using molecular modeling and substitutional adsorption isotherms. Mater. Chem. Phys. 2002, 77, 97–102. [Google Scholar] [CrossRef]
- Martinez, S.; Štagljar, I. Correlation between the molecular structure and the corrosion inhibition efficiency of chestnut tannin in acidic solutions. J. Mol. Struct. THEOCHEM 2003, 640, 167–174. [Google Scholar] [CrossRef]
- Cho, J.; Roy, S.; Sathyapalan, A.; Free, L.; Fang, Z. Tannic Acid Selectively Extracting Titanium from Ilmenite: Experimental and Theoretical Investigation. J. Powder Metall. Min. 2017, 6, 183. [Google Scholar] [CrossRef]
- Fazary, A.E.; Ju, Y. Iron Complexation Studies of Gallic Acid. J. Chem. Eng. Data 2009, 54, 35–42. [Google Scholar] [CrossRef]
- Ross, T.; Francis, R. The treatment of rusted steel with mimosa tannin. Corros. Sci. 1978, 18, 351–361. [Google Scholar] [CrossRef]
- Hansen, P.; Spangent-Larsen, J. NMR and IR Investigations of Strong Intramolecular Hydrogen Bonds. Molecules 2017, 22, 552. [Google Scholar] [CrossRef] [Green Version]
- Li, Y.; Zhang, Y.; Li, S.; Zhao, P. Influence of Adipic Acid on Anodic Film Formation and Corrosion Resistance of 2024 Alu-minum Alloy. Trans. Nonferrous Met. Soc. China 2016, 26, 492–500. [Google Scholar] [CrossRef]
- Kreta, A.; Rodosek, M.; Perse, L.S.; Orel, B.; Gabercek, M.; Vuk, A.S. In situ Electrochemical AFM, ex situ Ir Reflec-tion-Absorption and Confocal Raman Studies of Corrosion Processes of AA2024-T3. Corros. Sci. 2016, 104, 290–309. [Google Scholar] [CrossRef]
- Jerman, I.; Vuk, A.; Koželj, M.; Orel, B.; Kovač, J. A Structural and Corrosion Study of Triethoxysilyl Functionalized POSS Coatings on AA 2024 Alloy. Langmuir 2008, 24, 5029–5037. [Google Scholar] [CrossRef]
- Ram, S. Infrared spectral study of molecular vibrations in amorphous, nanocrystalline and AlO(OH)·αH2O bulk crystals. Infrared Phys. Technol. 2001, 42, 547–560. [Google Scholar] [CrossRef]
- Boumaza, A.; Favaro, L.; Lédion, J.; Sattonnay, G.; Brubach, J.; Berthet, P.; Huntz, A.; Roy, P.; Tétot, R. Transition alumina phases induced by heat treatment of boehmite: An X-ray diffraction and infrared spectroscopy study. J. Solid State Chem. 2009, 182, 1171–1176. [Google Scholar] [CrossRef]
- Chernyakova, K.V.; Vrublevky, I.A.; Ivanovskaya, M.I.; Kotsikau, D.A. Impurity-Defect Structure of Anodic Aluminium Oxide Produced by Two-Sided Anodizing in Tartaric Acid. J. Appl. Spectrosc. 2012, 79, 76–82. [Google Scholar] [CrossRef]
- Suay, J.; Giménez, E.; Rodríguez, T.; Habbib, K.; Saura, J. Characterization of anodized and sealed aluminium by EIS. Corros. Sci. 2003, 45, 611–624. [Google Scholar] [CrossRef]
- Franco, M.; Anoop, S.; Rani, R.U.; Sharma, A.K. Porous Layer Characterization of Anodized and Black-Anodized Al-uminium by Electrochemical Studies. Int. Sch. Res. Netw. Corros. 2012, 2012, 1–12. [Google Scholar]
- Zhao, X.; Zuo, Y.; Zhao, J.; Xiong, J.; Tang, Y. A study on the self-sealing process of anodic films on aluminium by EIS. Surf. Coat. Technol. 2006, 200, 6846–6853. [Google Scholar] [CrossRef]
- García-Rubio, M.; Ocón, P.; Curini, M.; Thompson, G.E.; Skeldon, P.; Lavía, A.; Garcia, I. Degradation of the corrosion resistance of anodic oxide films through immersion in the anodizing electrolyte. Corros. Sci. 2010, 52, 2219–2227. [Google Scholar] [CrossRef]
- Hao, Y.; Sani, L.A.; Ge, T.; Fang, Q. The synergistic inhibition behavior of tannic acid and iodide ions on mild steel in H2SO4 solutions. Corros. Sci. 2017, 123, 158–169. [Google Scholar] [CrossRef]
- Zheludkevich, M.L.; Yasakau, K.A.; Bastos, A.C.; Karavai, O.V.; Ferreira, M.G.S. On the application of electrochemical im-pedance spectroscopy to study the self-healing properties of protective coatings. Electrochem. Commun. 2007, 9, 2622–2628. [Google Scholar] [CrossRef]
- Obot, I.B.; Madhankumar, A. Enhanced corrosion inhibition effect of tannic acid in the presence of gallic acid at mild stee/HCl acid solution interface. J. Ind. Eng. Chem. 2015, 25, 105–111. [Google Scholar] [CrossRef]
- Li, L.; Doran, K.P.; Swain, G.M. Electrochemical Characterization of Trivalent Chromium Process (TCP) Coatings on Aluminium Alloys 6061 and 7075. J. Electrochem. Soc. 2013, 160, C396–C401. [Google Scholar] [CrossRef]


















| Days | SA | GSA | TNSA | CSA | MSA | |
|---|---|---|---|---|---|---|
| np | 0 | 1.00 | 0.95 | 1.00 | 1.00 | 1.00 |
| 1 | 0.82 | 0.57 | 0.88 | 0.81 | 0.85 | |
| 3 | 0.77 | 0.41 | 0.84 | 0.72 | 0.85 | |
| 8 | 0.83 | 0.72 | 0.80 | 0.88 | 0.85 | |
| 16 | 0.79 | 0.51 | 0.75 | 0.84 | 0.72 | |
| 28 | 1.00 | 0.40 | 0.99 | 0.86 | 0.87 | |
| nb | 0 | 0.86 | 0.87 | 0.91 | 0.91 | 0.91 |
| 1 | 0.86 | 0.92 | 0.83 | 0.87 | 0.86 | |
| 3 | 0.85 | 1.00 | 0.84 | 0.91 | 0.86 | |
| 8 | 0.88 | 0.92 | 0.80 | 1.00 | 0.86 | |
| 16 | 0.77 | 0.88 | 0.74 | 0.97 | 0.88 | |
| 28 | 0.85 | 0.85 | 0.87 | 0.89 | 0.89 |
| Ecorr (V vs. SCE) | Icorr (A/cm2) | |
|---|---|---|
| SA | −0.556 ± 0.003 | |
| GSA | −0.582 ± 0.002 | |
| TNSA | −0.552 ± 0.004 | |
| CSA | −0.706 ± 0.006 | |
| MSA | −0.594 ± 0.006 |
Publisher’s Note: MDPI stays neutral with regard to jurisdictional claims in published maps and institutional affiliations. |
© 2022 by the authors. Licensee MDPI, Basel, Switzerland. This article is an open access article distributed under the terms and conditions of the Creative Commons Attribution (CC BY) license (https://creativecommons.org/licenses/by/4.0/).
Share and Cite
Proença, C.S.; Serrano, B.; Correia, J.; Araújo, M.E.M. Evaluation of Tannins as Potential Green Corrosion Inhibitors of Aluminium Alloy Used in Aeronautical Industry. Metals 2022, 12, 508. https://doi.org/10.3390/met12030508
Proença CS, Serrano B, Correia J, Araújo MEM. Evaluation of Tannins as Potential Green Corrosion Inhibitors of Aluminium Alloy Used in Aeronautical Industry. Metals. 2022; 12(3):508. https://doi.org/10.3390/met12030508
Chicago/Turabian StyleProença, Carla Sofia, Bruno Serrano, Jorge Correia, and Maria Eduarda Machado Araújo. 2022. "Evaluation of Tannins as Potential Green Corrosion Inhibitors of Aluminium Alloy Used in Aeronautical Industry" Metals 12, no. 3: 508. https://doi.org/10.3390/met12030508
APA StyleProença, C. S., Serrano, B., Correia, J., & Araújo, M. E. M. (2022). Evaluation of Tannins as Potential Green Corrosion Inhibitors of Aluminium Alloy Used in Aeronautical Industry. Metals, 12(3), 508. https://doi.org/10.3390/met12030508

