Particle Size Distribution Models for Metallurgical Coke Grinding Products
Abstract
1. Introduction
2. Materials and Methods
3. Results
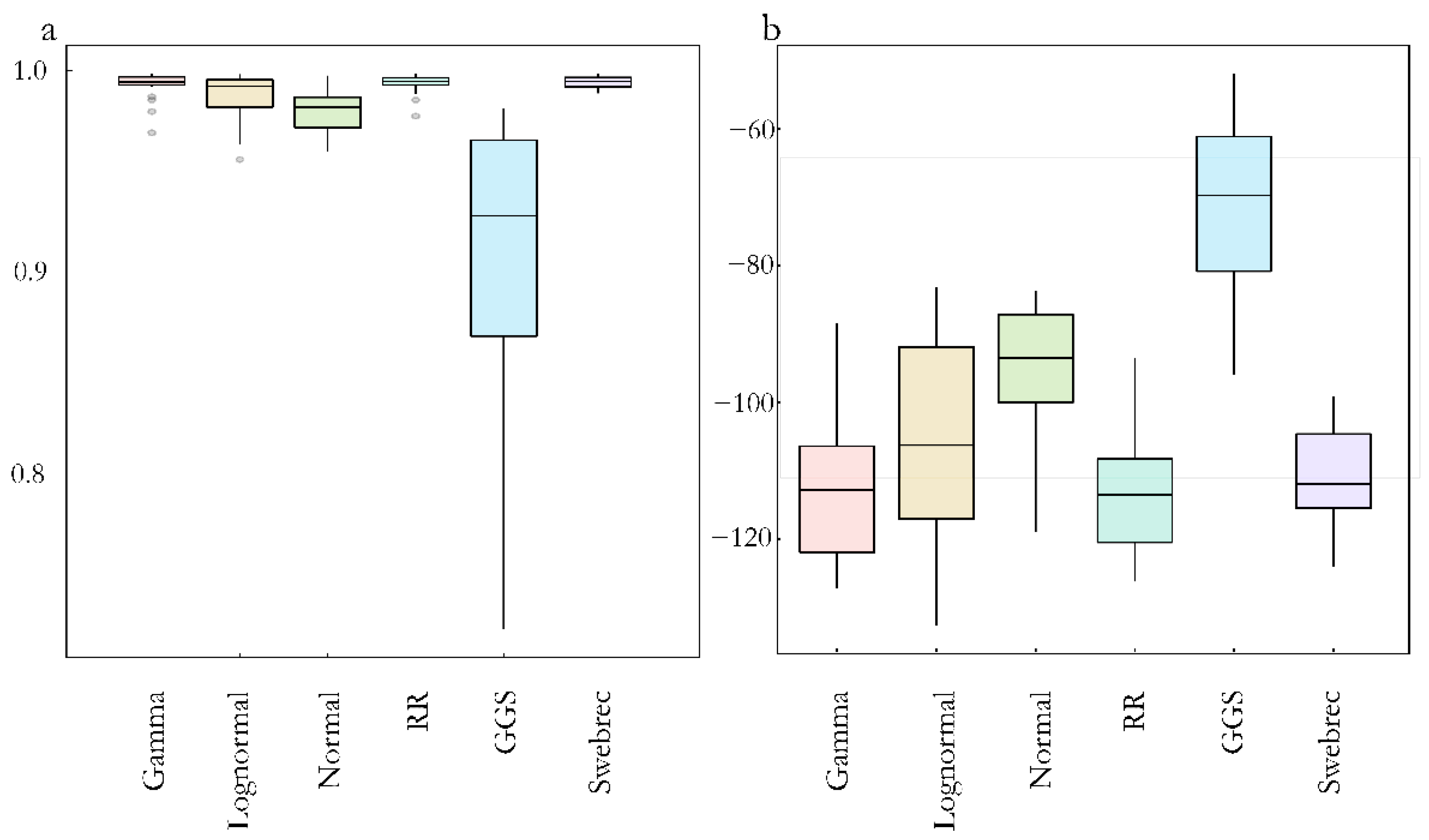
3.1. Comparison of PSD Models’ Goodness-of-Fit
3.2. Models’ Prediction Ability in Grinding Conditions
3.3. Distribution Parameters’ Assessment
4. Discussion
5. Conclusions
- The two better-fitting models, considering grinding media size and grinding time variations, were Swebrec and RR distribution models, presenting superior goodness-of fit-to all defined behaviour conditions.
- The Swebrec distribution undulation parameter b showed larger values to all ball sizes after grinding 4 min with high data at 4.00 cm ball size.
- The Rosin–Rammler λ parameter does not show a defined tendency with grinding conditions. However, with a 2.54 cm ball size, a less spread-out PSD is obtained, ranging λ values between 0.9–1.20. k parameter values are clearly defined with lesser sizes and greater ball size and grinding times.
- The Swebrec and RR models predicted well the metallurgical coke grinding product PSD. Regarding the Swebrec distribution function, it presented excellent fitting conditions in grinding products compared to traditional distributions.
- Oversized and ultrafine particles were found with 4.00 cm ball size depending on the grinding time. The 2.54 cm ball size results showed a slight variation of particle median diameter with time, while 3.00 cm ball size required more grinding time to reduce metallurgical coke particle size.
- The PSD model goodness-of-fit strongly depended on metallurgical coke grinding conditions.
Supplementary Materials
Author Contributions
Funding
Institutional Review Board Statement
Informed Consent Statement
Data Availability Statement
Acknowledgments
Conflicts of Interest
References
- Xing, X.; Rogers, H.; Zhang, G.; Hockings, K.; Zulli, P.; Ostrovski, O. Changes in Pore Structure of Metallurgical Cokes under Blast Furnace Conditions. Energy Fuels 2015, 30, 161–170. [Google Scholar] [CrossRef]
- Babich, A.; Senk, D. Coke in the iron and steel industry. In New Trends in Coal Conversion; Woodhead Publishing: Sawston, UK, 2018; pp. 367–404. [Google Scholar] [CrossRef]
- European Commission. Study on the EU’s List of Critical Raw Materials. Available online: https://ec.europa.eu/commission/presscorner/detail/en/ip_20_1542 (accessed on 30 June 2021).
- Babich, A.; Senk, D.; Gudenau, H.W. Effect of coke reactivity and nut coke on blast furnace operation. Ironmak. Steelmak. 2009, 36, 222–229. [Google Scholar] [CrossRef]
- Huang, J.; Guo, R.; Tao, L.; Wang, Q.; Liu, Z. Effects of Stefan Flow on Metallurgical Coke Gasification with CO2. Energy Fuels 2020, 34, 2936–2944. [Google Scholar] [CrossRef]
- Cameron, I.; Sukhram, M.; Lefebvre, K.; Davenport, W. Blast Furnace Ironmaking: Analysis, Control, and Optimisation; Elsevier: Amsterdam, The Netherlands, 2019. [Google Scholar]
- Mousa, E.; Wang, C.; Riesbeck, J.; Larsson, M. Biomass applications in iron and steel industry: An overview of challenges and opportunities. Renew. Sustain. Energy Rev. 2016, 65, 1247–1266. [Google Scholar] [CrossRef]
- Jha, G.; Soren, S.; Mehta, K.D. Partial substitution of coke breeze with biomass and charcoal in metallurgical sintering. Fuel 2020, 278, 118350. [Google Scholar] [CrossRef]
- Fröhlichová, M.; Legemza, J.; Findorák, R.; Maslejová, A. Biomass as a Source of Energy in Iron Ore Agglomerate Production Process. Arch. Met. Mater. 2014, 59, 815–820. [Google Scholar] [CrossRef]
- Geerdes, M.; Chaigneau, R.; Kurunov, I.; Lingiardi, O.; Ricketts, J. Modern Blast Furnace Ironmaking: An Introduction; IOS Press: Amsterdam, The Netherlands, 2015. [Google Scholar]
- Shin, S.-M.; Jung, S.-M. Gasification Effect of Metallurgical Coke with CO2 and H2O on the Porosity and Macrostrength in the Temperature Range of 1100 to 1500 °C. Energy Fuels 2015, 29, 6849–6857. [Google Scholar] [CrossRef]
- Weitkamp, E.A.; Lipsky, E.M.; Pancras, P.J.; Ondov, J.M.; Polidori, A.; Turpin, B.J.; Robinson, A.L. Fine particle emission profile for a large coke production facility based on highly time-resolved fence line measurements. Atmos. Environ. 2005, 39, 6719–6733. [Google Scholar] [CrossRef]
- Al-Hamamre, Z.; Saidan, M.; Hararah, M.; Rawajfeh, K.; Alkhasawneh, H.E.; Al-Shannag, M. Wastes and biomass materials as sustainable-renewable energy resources for Jordan. Renew. Sustain. Energy Rev. 2017, 67, 295–314. [Google Scholar] [CrossRef]
- Mohamed, F.; El-Hussiny, N.; Shalabi, M. Granulation of coke breeze fine for using in the sintering process. Sci. Sinter. 2010, 42, 193–202. [Google Scholar] [CrossRef]
- Umadevi, T.; Deodhar, A.V.; Kumar, S.; Prasad, C.S.G.; Ranjan, M. Influence of coke breeze particle size on quality of sinter. Ironmak. Steelmak. 2008, 35, 567–574. [Google Scholar] [CrossRef]
- Dabbagh, A.; Moghadam, A.H.; Naderi, S.; Hamdi, M. A study on the effect of coke particle size on the thermal profile of the sinters produced in Esfahan Steel Company (ESCO). S. Afr. Inst. Min. Metall. 2013, 113, 941–945. [Google Scholar]
- Tobu, Y.; Nakano, M.; Nakagawa, T.; Nagasaka, T. Effect of Granule Structure on the Combustion Behavior of Coke Breeze for Iron Ore Sintering. ISIJ Int. 2013, 53, 1594–1598. [Google Scholar] [CrossRef]
- Maeda, T.; Kikuchi, R.; Ohno, K.-I.; Shimizu, M.; Kunitomo, K. Effect of Particle Size of Iron Ore and Coke on Granulation Property of Quasi-Particle. ISIJ Int. 2013, 53, 1503–1509. [Google Scholar] [CrossRef][Green Version]
- Niesler, M.; Stecko, J.; Blacha, L.; Oleksiak, B. Applications of fine grained coke breeze fractions in the process of iron ore sintering. Metalurgija 2014, 53, 37–39. [Google Scholar]
- Mingshun, Z.; Han, S.; Wang, L.; Jiang, X.; Xu, L.; Zhai, L.; Liu, J.; Zhang, H.; Qin, X.; Shen, F.; et al. Effect of Size Distribution of Coke Breeze on Sintering Performance. Steel Res. Int. 2015, 86, 1242–1251. [Google Scholar] [CrossRef]
- Chung, J.K.; Lee, S.M.; Shin, M.S. Effect of Coke Size on Reducing Agent Ratio (RAR) in Blast Furnace. ISIJ Int. 2018, 58, 2228–2235. [Google Scholar] [CrossRef]
- Xiong, L.; Peng, Z.; Gu, F.; Ye, L.; Wang, L.; Rao, M.; Zhang, Y.; Li, G.; Jiang, T. Combustion behavior of granulated coke breeze in iron ore sintering. Powder Technol. 2018, 340, 131–138. [Google Scholar] [CrossRef]
- Ma, H.; Pan, W.; Liu, L.; Zhang, Z.; Wang, C. Effects of Particle Size of Coke on Iron Ore Sintering Process. Metal. Sisak Zagreb 2019, 649–656. [Google Scholar] [CrossRef]
- Perfect, E.; Xu, Q.; Terry, D.L. Improved Parameterization of Fertilizer Particle Size Distribution. J. AOAC Int. 1998, 81, 935–942. [Google Scholar] [CrossRef]
- Botula, Y.-D.; Cornelis, W.M.; Baert, G.; Mafuka, P.; Van Ranst, E. Particle size distribution models for soils of the humid tropics. J. Soils Sediments 2013, 13, 686–698. [Google Scholar] [CrossRef]
- Bu, X.; Chen, Y.; Ma, G.; Sun, Y.; Ni, C.; Xie, G. Wet and dry grinding of coal in a laboratory-scale ball mill: Particle-size distributions. Powder Technol. 2019, 359, 305–313. [Google Scholar] [CrossRef]
- Schuhmann, R., Jr. Energy input and size distribution in comminution. Trans. SME/AIME 1960, 17, 22–25. [Google Scholar]
- Rosin, P.; Rammler, E. Laws governing the fineness of powdered coal. J. Inst. Fuel 1933, 7, 29–36. [Google Scholar] [CrossRef]
- Yang, X.; Lee, J.; Barker, D.E.; Wang, X.; Zhang, Y. Comparison of six particle size distribution models on the goodness-of-fit to particulate matter sampled from animal buildings. J. Air Waste Manag. Assoc. 2012, 62, 725–735. [Google Scholar] [CrossRef]
- Pinho, H.J.O.; Mateus, D.M.R.; Alves, S.S. Probability density functions for bubble size distribution in air–water systems in stirred tanks. Chem. Eng. Commun. 2018, 205, 1105–1118. [Google Scholar] [CrossRef]
- Buchan, G.D. Applicability of the Simple Lognormal Model to Particle-Size Distribution in Soils. Soil Sci. 1989, 147, 155–161. [Google Scholar] [CrossRef]
- Esmaeelnejad, L.; Siavashi, F.; Seyedmohammadi, J.; Shabanpour, M. The best mathematical models describing particle size distribution of soils. Model. Earth Syst. Environ. 2016, 2, 1–11. [Google Scholar] [CrossRef]
- Ouchterlony, F. The Swebrec© function: Linking fragmentation by blasting and crushing. Trans. Inst. Min. Metall. Sect. A Min. Technol. 2005, 114, 29–44. [Google Scholar] [CrossRef]
- Osório, A.; Menendez-Aguado, J.M.; Bustamante, O.; Restrepo, G. Fine grinding size distribution analysis using the Swrebec function. Powder Technol. 2014, 258, 206–208. [Google Scholar] [CrossRef]
- Menéndez-Aguado, J.M.M.; Carpio, E.P.; Sierra, C. Particle size distribution fitting of surface detrital sediment using the Swrebec function. J. Soils Sediments 2015, 15, 2004–2011. [Google Scholar] [CrossRef]
- Shangguan, W.; Dai, Y.; García-Gutiérrez, C.; Yuan, H. Particle-size distribution models for the conversion of Chinese data to FAO/USDA system. Sci. World J. 2014, 2014, 109310. [Google Scholar] [CrossRef]
- Akaike, H.; Parzen, E.; Tanabe, K.; Kitagawa, G. Information theory and an extension of the maximum likehood principle. Second. Int. Symp. Inf. Theory 1973, 3, 267–281. [Google Scholar]
- Spiess, A.-N.; Neumeyer, N. An evaluation of R2 as an inadequate measure for nonlinear models in pharmacological and biochemical research: A Monte Carlo approach. BMC Pharmacol. 2010, 10, 6. [Google Scholar] [CrossRef]
- Liu, S.; Wang, H.; Wang, H. Effect of grinding time on the particle size distribution characteristics of tuff powder. Medziagotyra 2021, 27, 205–209. [Google Scholar] [CrossRef]
- Harris, C.C. A Mull-Purpose Alyavdin-Rosin-Rammler-Weibull Chart. Powder Technol. 1971, 10027, 3–6. [Google Scholar] [CrossRef]
- Allaire, S.; Parent, L.-E. Size Guide Number and Rosin–Rammler Approaches to describe Particle Size Distribution of Granular Organic-based Fertilisers. Biosyst. Eng. 2003, 86, 503–509. [Google Scholar] [CrossRef]
- Austin, L.; Shoji, K.; Luckie, P. The effect of ball size on mill performance. Powder Technol. 1976, 14, 71–79. [Google Scholar] [CrossRef]
- Bwalya, M.; Moys, M.; Finnie, G.; Mulenga, F. Exploring ball size distribution in coal grinding mills. Powder Technol. 2014, 257, 68–73. [Google Scholar] [CrossRef]
- Bürger, R.; Bustamante, O.; Fulla, M.; Rivera, I. A population balance model of ball wear in grinding mills: An experimental case study. Miner. Eng. 2018, 128, 288–293. [Google Scholar] [CrossRef]
- Austin, L.G.; Klimpel, K.K.; Luckie, P.T. Process Engineering of Size Reduction: Ball Milling; Society of Mining of the American Institute of Mining, Metallurgical, and Petroleum Enginireers: Englewood, CO, USA, 1984. [Google Scholar]
- Khumalo, N.; Glasser, D.; Hildebrandt, D.; Hausberger, B.; Kauchali, S. The application of the attainable region analysis to comminution. Chem. Eng. Sci. 2006, 61, 5969–5980. [Google Scholar] [CrossRef]






| Sample | C | H | O | N | S | |||
|---|---|---|---|---|---|---|---|---|
| Metallurgical Coke | 82.55 | 0.79 | 14.46 | 1.3 | 0.9 | |||
| Fixed Carbon | Volatiles | Moisture | Ash | |||||
| SiO2 | Fe2O3 | Al2O3 | CaO | Others | Σ | |||
| 76.87 | 0.91 | 0.047 | 28.90 | 26.73 | 10.62 | 10.28 | 23.45 | 100 |
| Particle Size Models | Cumulative Distribution Function | Independent Variables |
|---|---|---|
| Gamma | F(xi) = | α, β |
| Lognormal | F(xi) = | GMD †, σ |
| Normal | F(xi) = | μ, σ |
| Rosin–Rammler | F(xi) = 1 − | λ, k |
| Schuhmann | F(xi) = | K, α |
| Swebrec | F(xi) = | xmax, x50, b |
| Grinding Time (min) | Ball Size (cm) | |||||
|---|---|---|---|---|---|---|
| 2.54 | 3.00 | 4.00 | ||||
| Measured | Predicted | Measured | Predicted | Measured | Predicted | |
| 0.5 | 1015 | 1010.03 | 1520 | 1523.44 | 1605 | 1603.40 |
| 1.0 | 850 | 840.75 | 1400 | 1378.12 | 1380 | 1362.85 |
| 2.0 | 830 | 826.46 | 1250 | 1226.03 | 725 | 734.81 |
| 3.0 | 512 | 504.06 | 800 | 802.39 | 360 | 366.17 |
| 4.0 | 450 | 448.56 | 790 | 800.87 | 380 | 386.72 |
| 5.0 | 390 | 407.5 | 420 | 436.00 | 300 | 308.40 |
| 6.0 | 280 | 311.88 | 380 | 384.10 | 216 | 216.11 |
| 10 | 265 | 265.44 | 225 | 226.40 | 190 | 193.22 |
Publisher’s Note: MDPI stays neutral with regard to jurisdictional claims in published maps and institutional affiliations. |
© 2021 by the authors. Licensee MDPI, Basel, Switzerland. This article is an open access article distributed under the terms and conditions of the Creative Commons Attribution (CC BY) license (https://creativecommons.org/licenses/by/4.0/).
Share and Cite
Colorado-Arango, L.; Menéndez-Aguado, J.M.; Osorio-Correa, A. Particle Size Distribution Models for Metallurgical Coke Grinding Products. Metals 2021, 11, 1288. https://doi.org/10.3390/met11081288
Colorado-Arango L, Menéndez-Aguado JM, Osorio-Correa A. Particle Size Distribution Models for Metallurgical Coke Grinding Products. Metals. 2021; 11(8):1288. https://doi.org/10.3390/met11081288
Chicago/Turabian StyleColorado-Arango, Laura, Juan M. Menéndez-Aguado, and Adriana Osorio-Correa. 2021. "Particle Size Distribution Models for Metallurgical Coke Grinding Products" Metals 11, no. 8: 1288. https://doi.org/10.3390/met11081288
APA StyleColorado-Arango, L., Menéndez-Aguado, J. M., & Osorio-Correa, A. (2021). Particle Size Distribution Models for Metallurgical Coke Grinding Products. Metals, 11(8), 1288. https://doi.org/10.3390/met11081288

