Structural and Magnetic Properties of P Microalloyed Fe76Cu0.8Nb2.2B9Si12 Alloys
Abstract
:1. Introduction
2. Experimental
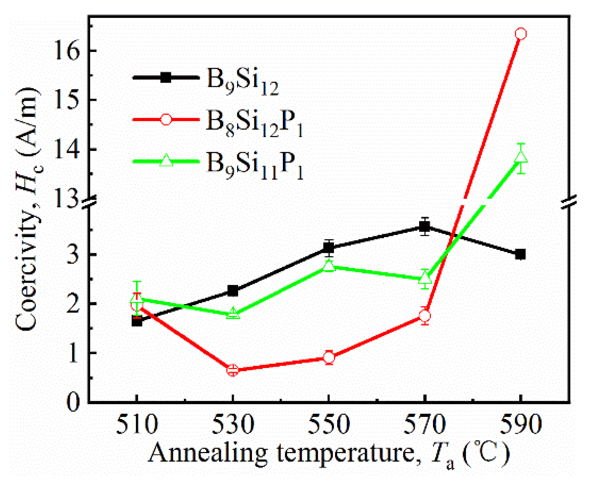
3. Results and Discussion
4. Conclusions
Author Contributions
Funding
Institutional Review Board Statement
Informed Consent Statement
Data Availability Statement
Conflicts of Interest
References
- Yoshizawa, Y.; Oguma, S.; Yamauchi, K. New Fe-based soft magnetic alloys composed of ultrafine grain structure. J. Appl. Phys. 1988, 64, 6044–6046. [Google Scholar] [CrossRef]
- Willard, M.A.; Daniil, M. Chapter Four-Nanocrystalline Soft Magnetic Alloys Two Decades of Progress. In Handbook of Magnetic Materials; Buschow, K.H.J., Ed.; Elsevier: Amsterdam, The Netherlands, 2013; pp. 173–342. [Google Scholar]
- Herzer, G. Modern soft magnets: Amorphous and nanocrystalline materials. Acta Mater. 2013, 61, 718–734. [Google Scholar] [CrossRef]
- Li, F.C.; Liu, T.; Zhang, J.Y.; Shuang, S.; Wang, Q.; Wang, A.D.; Wang, J.G.; Yang, Y. Amorphous–nanocrystalline alloys: Fabrication, properties, and applications. Mater. Today Adv. 2019, 4, 100027. [Google Scholar] [CrossRef]
- Azuma, D.; Ito, N.; Ohta, M. Recent progress in Fe-based amorphous and nanocrystalline soft magnetic materials. J. Magn. Magn. Mater. 2020, 501, 166373. [Google Scholar] [CrossRef]
- Lopatina, E.; Soldatov, I.; Budinsky, V.; Marsilius, M.; Schultz, L.; Herzer, G.; Schafer, R. Surface crystallization and magnetic properties of Fe84.3Cu0.7Si4B8P3 soft magnetic ribbons. Acta Mater. 2015, 96, 10–17. [Google Scholar]
- Pradeep, K.G.; Herzer, G.; Choi, P.; Raabe, D. Atom probe tomography study of ultrahigh nanocrystallization rates in FeSiNbBCu soft magnetic amorphous alloys on rapid annealing. Acta Mater. 2014, 68, 295–309. [Google Scholar] [CrossRef]
- Yoshizawa, Y.; Fujii, S.; Ping, D.H.; Ohnuma, M.; Hono, K. Magnetic properties of nanocrystalline Fe–Co–Cu–M–Si–B alloys (M: Nb, Zr). Mater. Sci. Eng. A. 2004, 375–377, 207–212. [Google Scholar] [CrossRef]
- Yoshizawa, Y.; Fujii, S.; Ping, D.H.; Ohnuma, M.; Hono, K. Magnetic properties of nanocrystalline FeMCuNbSiB alloys (M: Co, Ni). Scripta Mater. 2003, 48, 863–868. [Google Scholar] [CrossRef]
- Wan, F.P.; He, A.N.; Zhang, J.H.; Song, J.C.; Wang, A.D.; Chang, C.T.; Wang, X.M. Development of FeSiBNbCu Nanocrystalline Soft Magnetic Alloys with High Bs and Good Manufacturability. J. Electron. Mater. 2016, 45, 4913–4918. [Google Scholar] [CrossRef]
- Hasiak, M.; Fukunaga, H.; Ciurzyńska, W.H.; Yamashiro, Y. Effect of Co addition on microstructure and magnetic properties of (Fe86−xCox)-Zr-B alloys. Scripta Mater. 2001, 44, 1465–1469. [Google Scholar] [CrossRef]
- Li, H.; Wang, A.; Liu, T.; Chen, P.; He, A.; Li, Q.; Luan, J.; Liu, C.T. Design of Fe-based nanocrystalline alloys with superior magnetization and manufacturability. Mater. Today 2021, 42, 49–56. [Google Scholar] [CrossRef]
- Shi, L.; Yao, K. Composition design for Fe-based soft magnetic amorphous and nanocrystalline alloys with high Fe content. Mater. Des. 2020, 189, 108511. [Google Scholar]
- Makino, A.; Men, H.; Kubota, T.; Yubuta, K.; Inoue, A. FeSiBPCu Nanocrystalline Soft Magnetic Alloys with High Bs of 1.9 Tesla Produced by Crystallizing Hetero-Amorphous Phase. Mater. Trans. 2009, 50, 204–209. [Google Scholar] [CrossRef] [Green Version]
- Ohta, M.; Yoshizaw, Y. Magnetic properties of nanocrystalline Fe82.65Cu1.35SixB16−x alloys (x=0–7). Appl. Phys. Lett. 2007, 91, 062517. [Google Scholar]
- Parsons, R.; Li, Z.; Suzuki, K. Nanocrystalline soft magnetic materials with a saturation magnetization greater than 2 T. J. Magn. Magn. Mater. 2019, 485, 180–186. [Google Scholar] [CrossRef]
- Suzuki, K.; Parsons, R.; Zang, B.; Onodera, K.; Kishimoto, H.; Kato, A. Copper-free nanocrystalline soft magnetic materials with high saturation magnetization comparable to that of Si steel. Appl. Phys. Lett. 2017, 110, 012407. [Google Scholar] [CrossRef]
- Ohnuma, M.; Hono, K.; Linderoth, S.; Pedersen, J.S.; Yoshizawa, Y.; Onodera, H. Small-angle neutron scattering and differential scanning calorimetry studies on the copper clustering stage of Fe-Si-B-Nb-Cu nanocrystalline alloys. Acta Mater. 2000, 48, 4783–4790. [Google Scholar] [CrossRef]
- Kuhnt, M.; Xu, X.D.; Amalraj, M.; Kozikowski, P.; Pradeep, K.G.; Ohkubo, T.; Marsilius, M.; Strache, T.; Polak, C.; Ohnuma, M.; et al. The effect of Co addition on magnetic and structural properties of nanocrystalline (Fe,Co)-Si-B-P-Cu alloys. J. Alloy Compd. 2018, 766, 686–693. [Google Scholar] [CrossRef]
- Wang, C.; Li, J.; Zhang, X.; Wu, J.; He, A.; Dong, Y. Effect of P microalloying on magnetic properties and structure of FeSiBNbCu nanocrystalline alloy. J. Mater. Sci. Mater. Electron. 2021, 32, 4177–4184. [Google Scholar] [CrossRef]
- Xiao, H.Y.; Dong, Y.Q.; He, A.N.; Sun, H.; Wang, A.D.; Li, H.; Liu, L.; Liu, X.C.; Li, R.W. Magnetic softness and magnetization dynamics of FeSiBNbCu(P,Mo) nanocrystalline alloys with good high-frequency characterization. J. Magn. Magn. Mater. 2019, 478, 192–197. [Google Scholar] [CrossRef]
- Wu, J.; He, A.; Dong, Y.; Li, J.; Lu, Y. Structural and magnetic characterization of Al microalloying nanocrystalline FeSiBNbCu alloys. J. Magn. Magn. Mater. 2020, 505, 166746. [Google Scholar] [CrossRef]
- Wu, L.; Li, Y.; Yubuta, K.; He, A.; Zhang, Y.; Zhang, W. Optimization of the structure and soft magnetic properties of a Fe87B13 nanocrystalline alloy by additions of Cu and Nb. J. Magn. Magn. Mater 2020, 497, 166001. [Google Scholar] [CrossRef]
- Ohta, M.; Chiwata, N. Development of Fe-based high Bs nanocrystalline alloy powder. J. Magn. Magn. Mater. 2020, 509, 166838. [Google Scholar] [CrossRef]
- Ohta, M.; Hasegawa, R.; Itabashi, H. Development of Block Cores Comprising High-Bs Nanocrystalline Alloy Ribbon. IEEE Trans. Magn. 2018, 54, 1–4. [Google Scholar] [CrossRef]
- Zanaeva, E.N.; Bazlov, A.I.; Milkova, D.A.; Churyumov, A.Y.; Inoue, A.; Tabachkova, N.Y.; Wang, F.; Kong, F.L.; Zhu, S.L. High-Frequency soft magnetic properties of Fe-Si-B-P-Mo-Cu amorphous and nanocrystalline alloys. J. Non-Cryst Solids 2019, 526, 119702. [Google Scholar] [CrossRef]
- Jia, X.; Li, Y.; Xie, G.; Qi, T.; Zhang, W. Role of Mo addition on structure and magnetic properties of the Fe85Si2B8P4Cu1 nanocrystalline alloy. J. Non-Cryst Solids 2018, 481, 590–593. [Google Scholar] [CrossRef]
- Fan, X.; Zhang, T.; Jiang, M.; Yang, W.; Shen, B. Synthesis of novel FeSiBPCCu alloys with high amorphous forming ability and good soft magnetic properties. J Non-Cryst Solids 2019, 503, 36–43. [Google Scholar] [CrossRef]
- Jia, Y.R.; Wang, Z.; Wang, F.; Han, Y.; Xie, Z.Y.; Li, L.J.; Zhang, L. Effect of P substitution for Nb on structure and soft magnetic properties of Si-rich FeCuNbSiB nanocrystalline alloys. Mater. Sci. Eng. B 2017, 222, 55–59. [Google Scholar] [CrossRef]
- Butvinova, B.; Butvin, P.; Brzozka, K.; Kuzminski, M.; Mat’Ko, I.; Sr, P.S.; Chromcikova, M. Effects of surface crystallization and oxidation in nanocrystalline FeNbCuSiB(P) ribbons. J. Magn. Magn. Mater. 2017, 424, 233–237. [Google Scholar] [CrossRef]
- Xu, J.; Yang, Y.; Yan, Q.; Hou, F.; Fan, C.; Wang, G.; Luo, T. Effects of the substitution of Si by P on crystallization behavior, soft magnetic properties and bending ductility of FeSiBCuPC alloys. J. Alloy Compd. 2019, 816, 152534. [Google Scholar] [CrossRef]
- Xiao, H.; Wang, A.; Zhao, C.; He, A.; Zhang, G.; Li, H.; Li, R.-w.; Liu, X. Industrialization of a FeSiBNbCu nanocrystalline alloy with high Bs of 1.39 T and outstanding soft magnetic properties. J. Mate. Sci. Mater. Electron. 2018, 29, 19517–19523. [Google Scholar] [CrossRef]
- Zhang, B.; Yang, F.; He, A.; Xiao, H.; Dong, Y.; Li, J.; Han, Y. Rapid Annealing Optimizing Magnetic Softness and Thermal Stability of Mn-Substituted Fe-Based Nanocrystalline Alloys. Metals 2021, 11, 20. [Google Scholar] [CrossRef]
- Takeuchi, A.; Inoue, A. Classification of bulk metallic glasses by atomic size difference, heat of mixing and period of constituent elements and its application to characterization of the main alloying element. Mater. Trans. 2005, 46, 2817–2829. [Google Scholar] [CrossRef] [Green Version]
- McHenry, M.E.; Willard, M.A.; Laughlin, D.E. Laughlin, Amorphous and nanocrystalline materials for applications as soft magnets. Prog. Mater. Sci. 1999, 44, 291–433. [Google Scholar] [CrossRef]
- Herzer. Chapter 3-Nanocrystalline soft magnetic alloys. In Handbook of Magnetic Materials; Buschow, K.H.J., Ed.; Elsevier: Amsterdam, The Netherlands, 1997; pp. 415–462. [Google Scholar]
- Makino, A. Nanocrystalline Soft Magnetic Fe-Si-B-P-Cu Alloys With High Bs of 1.8–1.9T Contributable to Energy Saving. IEEE Trans. Magn. 2012, 48, 1331–1335. [Google Scholar] [CrossRef]
- Cullity, B.D.; Stock, S.R. Elements of X ray Diffraction, 3rd ed.; Prentice Hall: Upper Saddle River, NJ, USA, 2001. [Google Scholar]
- Mitra, R.; Ungár, T.; Weertman, J.R. A comparison of grain size measurements by X-ray diffraction and transmission electron microscopy methods. Trans. Indian Inst. Met. 2005, 58, 1125. [Google Scholar]
- Gubicza, J. X-ray Line Profile Analysis in Materials Science; IGI-Global: Hershey, PA, USA, 2014; ISBN 978-1-4666-5852-3. [Google Scholar]
- Inoue, A. Stabilization of metallic supercooled liquid and bulk amorphous alloys. Acta Mater. 2000, 48, 279–306. [Google Scholar] [CrossRef]







Publisher’s Note: MDPI stays neutral with regard to jurisdictional claims in published maps and institutional affiliations. |
© 2021 by the authors. Licensee MDPI, Basel, Switzerland. This article is an open access article distributed under the terms and conditions of the Creative Commons Attribution (CC BY) license (https://creativecommons.org/licenses/by/4.0/).
Share and Cite
Li, J.; Ding, Q.; Wang, C.; He, A.; Dong, Y.; Li, D. Structural and Magnetic Properties of P Microalloyed Fe76Cu0.8Nb2.2B9Si12 Alloys. Metals 2021, 11, 1110. https://doi.org/10.3390/met11071110
Li J, Ding Q, Wang C, He A, Dong Y, Li D. Structural and Magnetic Properties of P Microalloyed Fe76Cu0.8Nb2.2B9Si12 Alloys. Metals. 2021; 11(7):1110. https://doi.org/10.3390/met11071110
Chicago/Turabian StyleLi, Jiawei, Qian Ding, Changjiu Wang, Aina He, Yaqiang Dong, and Deren Li. 2021. "Structural and Magnetic Properties of P Microalloyed Fe76Cu0.8Nb2.2B9Si12 Alloys" Metals 11, no. 7: 1110. https://doi.org/10.3390/met11071110
APA StyleLi, J., Ding, Q., Wang, C., He, A., Dong, Y., & Li, D. (2021). Structural and Magnetic Properties of P Microalloyed Fe76Cu0.8Nb2.2B9Si12 Alloys. Metals, 11(7), 1110. https://doi.org/10.3390/met11071110

