Radiation Effects in Amorphous Metallic Alloys as Revealed by Mössbauer Spectrometry: Part I. Neutron Irradiation
Abstract
1. Introduction
2. Materials and Methods
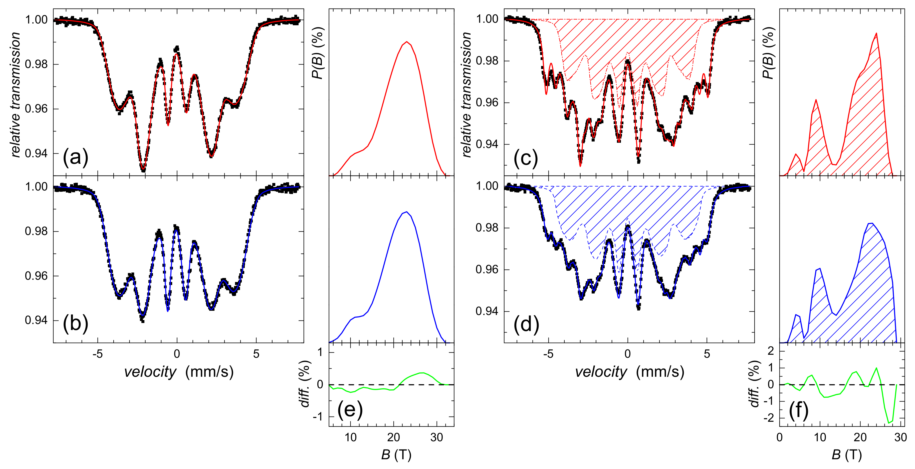
2.1. Mössbauer Spectrometry
2.2. Investigated Materials
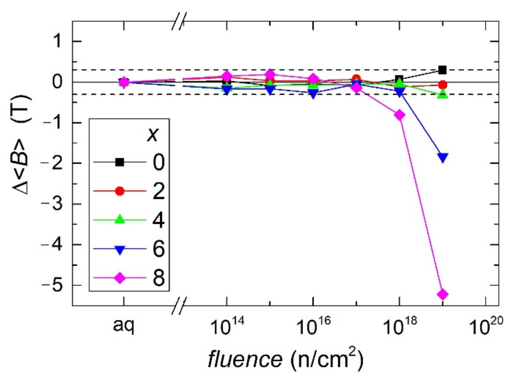
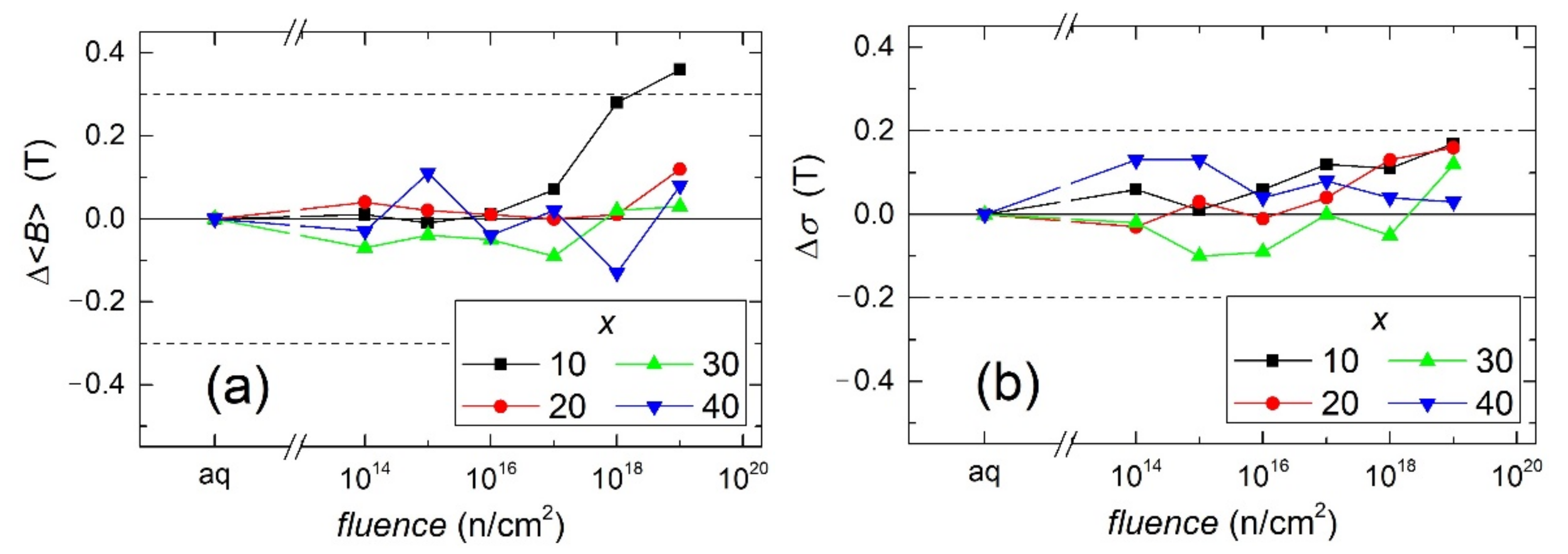
3. Results
4. Discussion
5. Conclusions
Funding
Institutional Review Board Statement
Informed Consent Statement
Data Availability Statement
Acknowledgments
Conflicts of Interest
References
- Huang, E.-W.; Liaw, P.K. High-temperature materials for structural applications: New perspectives on high-entropy alloys, bulk metallic glasses, and nanomaterials. MRS Bulletin. 2019, 44, 847–853. [Google Scholar] [CrossRef]
- Li, H.; He, A.; Wang, A.; Xie, L.; Li, Q.; Zhao, C.; Zhang, G.; Chen, P. Improvement of soft magnetic properties for distinctly high Fe content amorphous alloys via longitudinal magnetic field annealing. J. Magn. Magn. Mater. 2019, 471, 110–115. [Google Scholar] [CrossRef]
- Cao, C.C.; Wang, Y.G.; Zhu, L.; Meng, Y.; Zhai, X.B.; Dai, Y.D.; Chen, J.K.; Pan, F.M. Local structure, nucleation sites and crystallization behavior and their effects on magnetic properties of Fe81SixB10P8−xCu1 (x = 0~8). Sci. Rep. 2018, 8, 1243. [Google Scholar] [CrossRef]
- Herzer, G. Modern soft magnets: Amorphous and nanocrystalline materials. Acta Mater. 2013, 61, 718–734. [Google Scholar] [CrossRef]
- McHenry, M.E.; Laughlin, D.E. Nano-scale materials development for future magnetic applications. Acta Mater. 2000, 48, 223–238. [Google Scholar] [CrossRef]
- Khong, J.C.; Daisenberger, D.; Burca, G.; Kockelmann, W.; Tremsin, A.S.; Mi, J. Design and characterisation of metallic glassy alloys of high neutron shielding capability. Sci. Rep. 2016, 6, 36998. [Google Scholar] [CrossRef]
- Blink, J.; Farmer, J.; Choi, J.; Saw, C. Applications in the nuclear industry for thermal spray amorphous metal and ceramic coatings. Metal. Mater. Trans. A 2009, 40, 1344–1354. [Google Scholar] [CrossRef]
- Spiller, P.; Blasche, K.; Franczak, B.; Kirk, M.; Hülsmann, P.; Omet, C.; Ratschow, S.; Stadlmann, J. Accelerator plans at GSI for plasma physics applications. Nucl. Instr. Meth. A 2005, 544, 117–124. [Google Scholar] [CrossRef]
- Han, J.; Hong, J.; Kwon, S.; Choi-Yim, H. Effect of Cr Addition on Magnetic Properties and Corrosion Resistance of Optimized Co and Fe-Based Amorphous Alloys. Metals 2021, 11, 304. [Google Scholar] [CrossRef]
- Pei, L.; Zhang, X.; Yuan, Z. Reduction and immobilization of movable Cu2+ ions in soils by Fe78Si9B13 amorphous alloy. Metals 2021, 11, 310. [Google Scholar] [CrossRef]
- Kozejova, D.; Fecova, L.; Klein, P.; Sabol, R.; Hudak, R.; Sulla, I.; Mudronova, D.; Galik, J.; Varga, R. Biomedical applications of glass-coated microwires. J. Magn. Magn. Mater. 2019, 470, 2–5. [Google Scholar] [CrossRef]
- Priezjev, N.V. Cooling under applied stress rejuvenates amorphous alloys and enhances their ductility. Metals 2021, 11, 67. [Google Scholar] [CrossRef]
- Zhai, X.B.; Wang, Y.G.; Zhu, L.; Zheng, H.; Dai, Y.D.; Chen, J.K.; Pan, F.M. Influence of Ni substitution for B on crystallization behavior, microstructure and magnetic properties of FeBCu alloys. J. Magn. Magn. Mat. 2019, 480, 47–52. [Google Scholar] [CrossRef]
- Han, J.; Kwon, S.; Sohn, S.; Schroers, J.; Choi-Yim, H. Optimum soft magnetic properties of the FeSiBNbCu alloy achieved by heat treatment and tailoring B/Si ratio. Metals 2020, 10, 1297. [Google Scholar] [CrossRef]
- Meylan, C.M.; Papparotto, F.; Nachum, S.; Orava, J.; Miglierini, M.; Basykh, V.; Ferenc, J.; Kulik, T.; Greer, A.L. Simulation of shear-transformation zones in metallic glasses by cryogenic thermal cycling. J. Non-Cryst. Sol. 2020, 548, 120299. [Google Scholar] [CrossRef]
- Perea, D.; Parra, C.; Ramasamy, P.; Stoica, M.; Eckert, J.; Bolívar, F.; Echeverría, F. Structural and phase evolution upon annealing of Fe76Si9-xB10P5Mox (x = 0, 1, 2 and 3) alloys. Metals 2020, 10, 881. [Google Scholar] [CrossRef]
- Butvinová, B.; Butvin, P.; Maťko, I.; Švec Sr., P.; Kadlečíková, M. Impact of surfaces on the magnetic properties of Fe-based nanocrystalline ribbons. Appl. Surf. Sci. 2021, 538, 147942. [Google Scholar] [CrossRef]
- Aronin, A.; Abrosimova, G. Specific features of structure transformation and properties of amorphous-nanocrystalline alloys. Metals 2020, 10, 358. [Google Scholar] [CrossRef]
- Slugeň, V.; Soják, S.; Egger, W.; Kršjak, V.; Šimeg Veterníková, J.; Petriska, M. Radiation Damage of Reactor Pressure Vessel Steels Studied by Positron Annihilation Spectroscopy—A Review. Metals 2020, 10, 1378. [Google Scholar] [CrossRef]
- Shkapa, V.M.; Shalaev, A.M.; Polotnjuk, V.V.; Likhtorovich, S.P.; Nemoshkalenko, V.V.; Kotov, V.V. Positron, Mössbauer and NMR studies of γ-irradiated FeCoB metallic glass. J. Non-Cryst. Sol. 1993, 155, 90–94. [Google Scholar] [CrossRef]
- Miglierini, M.; Schaaf, P.; Škorvánek, I.; Janičkovič, D.; Carpene, E.; Wagner, S. Laser-induced structural modifications of FeMoCuB metallic glasses before and after transformation into a nanocrystalline state. J. Phys. Condens. Matter. 2001, 13, 10359–10369. [Google Scholar] [CrossRef]
- Kane, S.N.; Satalkar, M.; Ghosh, A.; Shah, M.; Ghodke, N.; Pramod, R.; Sinha, A.K.; Singh, M.N.; Dwivedi, J.; Coisson, M.; et al. Electron-irradiation induced changes in structural and magnetic properties of Fe and Co based metallic glasses. J. Alloy. Compd. 2014, 615, S324–S327. [Google Scholar] [CrossRef]
- Butvinová, B.; Butvin, P.; Janotová, I.; Janičkovič, D.; Sitek, J.; Dekan, J.; Holková, D.; Maťko, I. Magnetic response of amorphous and nanocrystalline FeSn(P)B ribbons to electron irradiation. Acta Phys. Pol. A 2020, 137, 839–842. [Google Scholar] [CrossRef]
- Miglierini, M.; Lančok, A.; Pavlovič, M. CEMS studies of structural modifications of metallic glasses by ion bombardment. Phys. Met. Metall. 2010, 109, 469–474. [Google Scholar] [CrossRef]
- Kuzmann, E.; Lakatos-Varsanyi, M.; Nomura, K.; Ujihira, Y.; Masumoto, T.; Principi, G.; Tosello, C.; Havancsák, K.; Vértes, A. Combination of electrochemical hydrogenation and Mössbauer spectroscopy as a tool to show the radiation effect of energetic heavy ions in Fe–Zr amorphous alloys. Electrochem. Commun. 2000, 2, 130–134. [Google Scholar] [CrossRef]
- Violet, C.E.; Borg, R.J.; May, L.; Rao, K.V.; Nogues, J.; Taylor, R.D.; Batra, A.P. Magnetic behavior of amorphous Fe-Ni-Zr alloys and their response to radiation damage. Hyperfine Inter. 1988, 42, 963–966. [Google Scholar] [CrossRef]
- Sitek, J.; Miglierini, M.; Balúch, S. Post Irradiation Activity of FeNiB Metallic Glasses. In Key Engineering Materials; Duhaj, P., Mrafko, P., Švec, P., Eds.; Trans. Tech. Publications: Bäch, Switzerland, 1990; Volume 40, pp. 275–279. [Google Scholar] [CrossRef]
- Zentko, A.; Timko, M.; Duhaj, P.; Škorvánek, I. The effect of neutron irradiation on the electrical resistivity of amorphous Fe47Ni25Si10 alloys. Phys. Status Solidi. A Appl. Res. 1981, 64, K19–K22. [Google Scholar] [CrossRef]
- Zentko, A.; Timko, M.; Duhaj, P. Effect of neutron irradiation on the magnetic properties of amorphous Fe74Ni25B18Si10 alloys. Phys. Status Solidi. A Appl. Res. 1981, 66, K125–K126. [Google Scholar] [CrossRef]
- Zentko, A.; Frait, Z.; Duhaj, P. Ferromagnetic resonance in neutron irradiated amorphous Fe74Ni25B18Si10 alloys. Czech. J. Phys. B 1982, 32, 359–362. [Google Scholar] [CrossRef]
- Škorvánek, I.; Zentko, A. Effects of neutron irradiation on magnetic properties of Fe80B20 amorphous alloys. Phys. Status Solidi. A Appl. Res. 1987, 99, 275–278. [Google Scholar] [CrossRef]
- Škorvánek, I.; Idzikowski, B.; Zentko, A.; Mosiniewicz-Szablewska, E. Influence of neutron irradiation on the magnetic properties of FeNiCrMoSiB amorphous alloys. Phys. Status Solidi. A Appl. Res. 1988, 108, 747–751. [Google Scholar] [CrossRef]
- Mihalik, M.; Kováč, J.; Zentko, A.; Lovas, A. Some Magnetic Properties of Neutron Irradiated Fe85−xCrxB15 Metallic Glasses. Phys. Status Solidi. A Appl. Res. 1989, 114, 679–684. [Google Scholar] [CrossRef]
- Škorvánek, I.; Zentko, A.; Uličiansky, S. Influence of neutron irradiation on the coercive field of some iron-based amorphous alloys. Acta Phys. Pol. 1989, A76, 171–175. [Google Scholar]
- Macko, L.; Mihalik, M.; Kováč, J.; Zentko, A. Magnetization studies of Cr concentration and neutron irradiation effects in Fe30Ni48-xCrxMo2Si5B15 amorphous alloys. Phys. Status Solidi. A Appl. Res. 1991, 124, 533–539. [Google Scholar] [CrossRef]
- Gerling, R.; Schimansky, F.P.; Wagner, R. Restoration of the ductility of thermally embrittled amorphous alloys under neutron-irradiation. Acta Metall. 1987, 35, 1001–1006. [Google Scholar] [CrossRef]
- Škorvánek, I.; Gerling, R.; Miglierini, M.; Zentko, A.; Seberíni, M. Structural Relaxation in Neutron Irradiated FeNiCrMoSiB Metallic Glasses. Key Eng. Mater. 1993, 81–83, 587–592. [Google Scholar]
- Illeková, E.; Janičkovič, D.; Miglierini, M.; Škorvánek, I.; Švec, P. Influence of Fe/B Ratio on Thermodynamic Properties of Amorphous Fe-Mo-Cu-B. J. Magn. Magn. Mat. 2006, 304, e636–e638. [Google Scholar] [CrossRef]
- Škorvánek, I.; Gerling, R. The influence of neutron irradiation on the soft magnetic and mechanical properties of amorphous and nanocrystalline Fe73.5Cu1Nb3Si13.5B9 alloys. J. Appl. Phys. 1992, 72, 3417–3422. [Google Scholar] [CrossRef]
- Škorvánek, I.; Gerling, R.; Graf, T.; Fricke, M.; Hesse, J. Neutron Irradiation effects on the structural, magnetic and mechanical properties of amorphous and nanocrystalline Fe73.5Cu1Nb3Si13.5B9. IEEE Trans. Magn. 1994, 30, 548–551. [Google Scholar] [CrossRef]
- Sitek, J.; Miglierini, M. Mössbauer Spectroscopy on Amorphous FexNi80-xB20 after Neutron Irradiation. Phys. Status Solidi. A Appl. Res. 1985, 89, K31–K33. [Google Scholar] [CrossRef]
- Zentko, A.; Škorvánek, I.; Eremenko, V.V.; Checherskii, V.D. Mössbauer study of neutron irradiated Fe60Ni60B20 amorphous alloys. Phys. Status Solidi. A Appl. Res. 1986, 93, K161–K164. [Google Scholar] [CrossRef]
- Habibi, S.; Gupta, A.; Principi, G. Thermal neutron irradiation of Fe-Si-B glasses. Hyperfine Interact. 1991, 69, 623–626. [Google Scholar] [CrossRef]
- Gupta, A.; Habibi, S.; Principi, G. Neutron irradiation effects in metallic glasses. Mater. Sci. Eng. A 1991, 134, 992–995. [Google Scholar] [CrossRef]
- Sitek, J.; Miglierini, M.; Lipka, J.; Tóth, I. Study of Fe-Ni-Cr-Mo-Si-B Metallic Glasses after Neutron Irradiation. Hyperfine Interact. 1991, 69, 713–716. [Google Scholar] [CrossRef]
- Gupta, A.; Habibi, S.; Principi, G. Study of short range order in Fe-Ni-Si-B amorphous alloys. Mater. Sci. Eng. 2001, A304–306, 1058–1061. [Google Scholar] [CrossRef]
- Škorvánek, I.; Miglierini, M.; Duhaj, P. Magnetism and Mössbauer spectroscopy in nanocrystalline FeNbCrCuB alloy. In Materials Science Forum; Fiorani, D., Magini, M., Eds.; Trans. Tech. Publications: Bäch, Switzerland, 1997; Volumes 235–238, pp. 771–776. [Google Scholar] [CrossRef]
- Miglierini, M.; Škorvánek, I.; Grenèche, J.-M. Microstructure and hyperfine interactions of the Fe73.5Nb4.5Cr5CuB16 nanocrystalline alloys: Mössbauer effect temperature measurements. J. Phys. Condens. Matter. 1998, 10, 3159–3176. [Google Scholar] [CrossRef]
- Miglierini, M.; Sitek, J.; Szász, Z.; Vitázek, K. 57Fe Mössbauer Study of Amorphous and Nanocrystalline Fe73.5Nb3Cu1Si13.5B9 After Neutron Irradiation. Hyperfine Interact. 1994, 84, 295–299. [Google Scholar] [CrossRef]
- Sitek, J.; Tóth, I.; Degmová, J.; Uváčik, P. Nanocrystalline alloys of Fe-Cu-Nb-Si-B after neutron irradiation. Czech. J. Phys. 1997, 47, 523–527. [Google Scholar] [CrossRef]
- Sitek, J.; Seberíni, M.; Tóth, I.; Degmová, J.; Uváčik, P. Neutron irradiation effect on amorphous and nanocrystalline FeZrB(Cu) at low temperature. Mater. Sci. Eng. A 1997, 226–228, 574–576. [Google Scholar] [CrossRef]
- Sitek, J.; Degmová, J. External influence on the FINEMET nanocrystals. Czech. J. Phys. 2001, 51, 727–733. [Google Scholar] [CrossRef]
- Degmová, J.; Sitek, J.; Grenèche, J.-M. Some magnetic properties of nanoperm alloy after irradiation. Czech. J. Phys. 2001, 51, 703–710. [Google Scholar] [CrossRef]
- Sitek, J.; Dekan, J.; Pavlovič, M. Radiation damage of Fe-based nanocrystalline materials. Acta Phys. Pol. A 2014, 126, 84–85. [Google Scholar] [CrossRef]
- Miglierini, M.; Sitek, J. Neutron Irradiation of Metallic Glasses and Mössbauer Spectroscopy. In Key Engineering Materials; Duhaj, P., Mrafko, P., Švec, P., Eds.; Trans. Tech. Publications: Bäch, Switzerland, 1990; Volumes 40–41, pp. 281–285. [Google Scholar] [CrossRef]
- Miglierini, M.; Sitek, J.; Macko, Ľ.; Mihalik, M.; Zentko, A. Mössbauer Spectroscopy and Additional Study of Neutron Irradiated Cr-doped Metallic Glasses. Hyperfine Interact. 1990, 60, 695–698. [Google Scholar] [CrossRef]
- Miglierini, M.; Sitek, J.; Balúch, S.; Cirák, J.; Lipka, J. Short-range Order of Amorphous FeNiB Alloys after Neutron Irradiation. Hyperfine Interact. 1990, 55, 1037–1041. [Google Scholar] [CrossRef]
- Miglierini, M. Mössbauer Study of Neutron Irradiated FeNiCrMoSiB Metallic Glass. Phys. Rev. B 1991, 44, 7225–7233. [Google Scholar] [CrossRef] [PubMed]
- Miglierini, M.; Škorvánek, I. Magnetic Study of Neutron Irradiated FeCrSiB Metallic Glass. Mater. Sci. Eng. A 1991, 147, 101–106. [Google Scholar] [CrossRef]
- Miglierini, M.; Nasu, S.; Sitek, J. Influence of Neutron Irradiation on Ferromagnetic Metallic Glasses. Hyperfine Interact. 1992, 70, 885–888. [Google Scholar] [CrossRef]
- Miglierini, M.; Škorvánek, I.; Nasu, S.; Sitek, J. Neutron Irradiation Effects on Magnetic Properties of Fe-based Ferromagnetic Metallic Glasses. Mater. Trans. JIM 1992, 33, 327–336. [Google Scholar] [CrossRef]
- Yang, L.; Li, H.Y.; Wang, P.W.; Wu, S.Y.; Guo, G.Q.; Liao, B.; Guo, Q.L.; Fan, X.Q.; Huang, P.; Lou, H.B.; et al. Structural responses of metallic glasses under neutron irradiation. Sci. Rep. 2017, 7, 16739. [Google Scholar] [CrossRef]
- Brechtl, J.; Wang, H.; Kumar, N.A.P.K.; Yang, T.; Lin, Y.-R.; Bei, H.; Neuefeind, J.; Dmowski, W.; Zinkle, S.J. Investigation of the thermal and neutron irradiation response of BAM-11 bulk metallic glass. J. Nucl. Mater. 2019, 526, 151771. [Google Scholar] [CrossRef]
- Xiong, F.; Li, M.; Yang, L. Effective self-healing behavior of amorphous-nanocrystalline alloy under neutron irradiation. Comp. Mater. Sci. 2020, 176, 109532. [Google Scholar] [CrossRef]
- Nasu, S. General Introduction to Mössbauer Spectroscopy. In Mössbauer Spectroscopy, Tutorial Book; Yoshida, Y., Langouche, G., Eds.; Springer-Verlag: Berlin Heidelberg, Germany, 2013; pp. 1–22. [Google Scholar] [CrossRef]
- Principi, G. The Mössbauer effect: A romantic scientific page. Metals 2020, 10, 992. [Google Scholar] [CrossRef]
- Grgač, P.; Moravčík, R.; Kusý, M.; Tóth, I.; Miglierini, M.; Illeková, E. Thermal stability of metastable austenite in rapidly solidified chromium-molybdenum-vanadium tool steel powder. Mater. Sci. Eng. A 2004, 375–377, 581–584. [Google Scholar] [CrossRef]
- Nasu, S.; Miglierini, M.; Ishihara, K.N.; Shingu, P.H. Transformation from icosahedral quasicrystalline to amorphous structure in Al65Cu20Fe15. J. Phys. Soc. Jpn. 1992, 61, 3766–3772. [Google Scholar] [CrossRef]
- Rüffer, R.; Chumakov, A.I. Historical developments and future perspectives in nuclear resonance scattering. In Modern Mössbauer Spectroscopy, New Challenges Based on Cutting-Edge Techniques; Yoshida, Y., Langouche, G., Eds.; Springer Nature Singapore Pte Ltd.: Singapore, 2021; pp. 1–55. [Google Scholar] [CrossRef]
- Machala, L.; Procházka, V.; Miglierini, M.; Sharma, V.K.; Marušák, Z.; Wille, H.-C.; Zbořil, R. Direct evidence of Fe(V) and Fe(IV) intermediates during reduction of Fe(VI) to Fe(III): A nuclear forward scattering of synchrotron radiation approach. Phys. Chem. Chem. Phys. 2015, 17, 21787–21790. [Google Scholar] [CrossRef]
- Miglierini, M.; Procházka, V.; Rüffer, R.; Zbořil, R. In situ crystallization of metallic glasses during magnetic annealing. Acta Mater. 2015, 91, 50–56. [Google Scholar] [CrossRef]
- Gütlich, P.; Bill, E.; Trautwein, A.X. Mössbauer Spectroscopy and Transition Metal Chemistry, Fundamentals and Applications; Springer: Berlin/Heidelberg, Germany, 2011; pp. 113–118. [Google Scholar] [CrossRef]
- Brand, R.A. Improving the validity of hyperfine field distributions from magnetic alloys: Part I: Unpolarized source. Nucl. Instr. Meth. Phys. Res. B 1987, 28, 398–416. [Google Scholar] [CrossRef]
- Yoshizawa, Y.; Oguma, S.; Yamauchi, K. New Fe-based soft magnetic alloys composed of ultrafine grain structure. J. Appl. Phys. 1988, 64, 6044–6046. [Google Scholar] [CrossRef]
- Hampel, G.; Pundt, A.; Hesse, J. Crystallization of Fe73.5Cu1Nb3Si13.5B9 structure and kinetics examined by X-ray diffraction and Mössbauer effect spectroscopy. J. Phys. Condens. Matter. 1992, 4, 3195–3200. [Google Scholar] [CrossRef]
- Miglierini, M.; Cesnek, M.; Štefánik, M. Fast neutron irradiation of boron-containing metallic glass. In Proceedings of the International Conference on the Applications of the Mössbauer Effect, Brasov, Romania, 5–10 September 2021. [Google Scholar]
- Dong, Y.; Li, M.; Malomo, B.; Yang, L. Microstructural evolution in ZrCu metallic glass under neutron irradiation. Comp. Mater. Sci. 2021, 188, 110183. [Google Scholar] [CrossRef]
- Baumer, R.E.; Demkowicz, M.J. Radiation response of amorphous metal alloys: Subcascades, thermal spikes and super-quenched zones. Acta Mater. 2015, 83, 419–430. [Google Scholar] [CrossRef]
- Wang, Y.; Li, M.; Yang, L. Element dependence of radiation-induced structural changes in metallic glasses. J. Non-Cryst. Sol. 2020, 533, 119933. [Google Scholar] [CrossRef]
- Andrievskii, R.A. Radiation stability of nanomaterials. Nanotechnol. Russia 2011, 6, 357–369. [Google Scholar] [CrossRef]
- Škorvánek, I.; Miglierini, M. The effects of short range order changes on hyperfine field distribution and Curie temperature of amorphous Fe30Ni36Cr12Mo2B15Si5. J. Magn. Magn. Mater. 1991, 96, 162–166. [Google Scholar] [CrossRef]
- Xiong, F.; Li, M.-F.; Malomo, B.; Yang, L. Microstructural evolution in amorphous-nanocrystalline ZrCu alloy under neutron irradiation. Acta Mater. 2020, 182, 18–28. [Google Scholar] [CrossRef]
- Pavúk, M.; Miglierini, M.; Vůjtek, M.; Mashlan, M.; Zbořil, R.; Jirásková, Y. AFM and Mössbauer spectrometry investigation of the nanocrystallization process in Fe-Mo-Cu-B rapidly quenched alloy. J. Phys. Condens. Matter. 2007, 19, 216219. [Google Scholar] [CrossRef]
- Miglierini, M.; Šafářová, K. Magnetic features at the surfaces of nanocrystalline ribbons. Acta Phys. Pol. A 2010, 118, 840–842. [Google Scholar] [CrossRef]
- Gupta, A.; Habibi, S.; Lal, S.; Principi, G. Mössbauer study of surface crystallization in metallic glasses. Hyperfine Int. 1990, 55, 967–972. [Google Scholar] [CrossRef]
- Balúch, S.; Miglierini, M.; Gröne, R.; Sitek, J. Positron lifetime and Mössbauer study of Fe80-xNixB20 metallic glasses. Phys. Status Solidi. A Appl. Res. 1989, 113, K143–K145. [Google Scholar] [CrossRef]










| Composition | Thickness (μm) | Width (mm) |
|---|---|---|
| Fe80Cr2Si4B14 | ~30 | 10 |
| Fe84B16 | ~30 | 6 |
| Fe30Ni48-xCrxMo2Si5B15 (x = 0, 2, 4, 6, 8) | 16–27 | 6 |
| Fe73.5Nb3Cu1Si13.5B9 | 27 | 10 |
| Fe80-xNixB20 (x = 10, 20, 30, 40) | ~30 | 5 |
Publisher’s Note: MDPI stays neutral with regard to jurisdictional claims in published maps and institutional affiliations. |
© 2021 by the author. Licensee MDPI, Basel, Switzerland. This article is an open access article distributed under the terms and conditions of the Creative Commons Attribution (CC BY) license (https://creativecommons.org/licenses/by/4.0/).
Share and Cite
Miglierini, M.B. Radiation Effects in Amorphous Metallic Alloys as Revealed by Mössbauer Spectrometry: Part I. Neutron Irradiation. Metals 2021, 11, 845. https://doi.org/10.3390/met11050845
Miglierini MB. Radiation Effects in Amorphous Metallic Alloys as Revealed by Mössbauer Spectrometry: Part I. Neutron Irradiation. Metals. 2021; 11(5):845. https://doi.org/10.3390/met11050845
Chicago/Turabian StyleMiglierini, Marcel B. 2021. "Radiation Effects in Amorphous Metallic Alloys as Revealed by Mössbauer Spectrometry: Part I. Neutron Irradiation" Metals 11, no. 5: 845. https://doi.org/10.3390/met11050845
APA StyleMiglierini, M. B. (2021). Radiation Effects in Amorphous Metallic Alloys as Revealed by Mössbauer Spectrometry: Part I. Neutron Irradiation. Metals, 11(5), 845. https://doi.org/10.3390/met11050845

