Synergism Red Mud-Acid Mine Drainage as a Sustainable Solution for Neutralizing and Immobilizing Hazardous Elements
Abstract
1. Introduction
2. Materials, Characterization and Experimental Procedure
2.1. Materials
2.2. Characterization of the Studied Materials
2.3. Methodology
- L is the volume of used leaching agent (in L);
- is the dry mass of the test portion (in kg);
- is the moisture content ratio (in %).
- A is the release of a constituent at L/S = 10 (in mg/kg of dry matter);
- C is the concentration of a particular constituent in the eluate (in mg/L);
- L is the volume of leachate used (in L);
- is the dry mass of the test portion (in kg);
- is the moisture content ratio (in %).
- RM10%: RM 10 wt% + AMD 90 wt%
- RM20%: RM 20 wt% + AMD 80 wt%
- RM30%: RM 30 wt% + AMD 70 wt%
- RM40%: RM 40 wt% + AMD 60 wt%
- AMD: 100% solution of acid mining rain
- RM 1:10 H2O: EN 124557-2 standard elution test with distillate water with liquid/solid ratio 1:10.
3. Results and Discussion
3.1. pH Influence
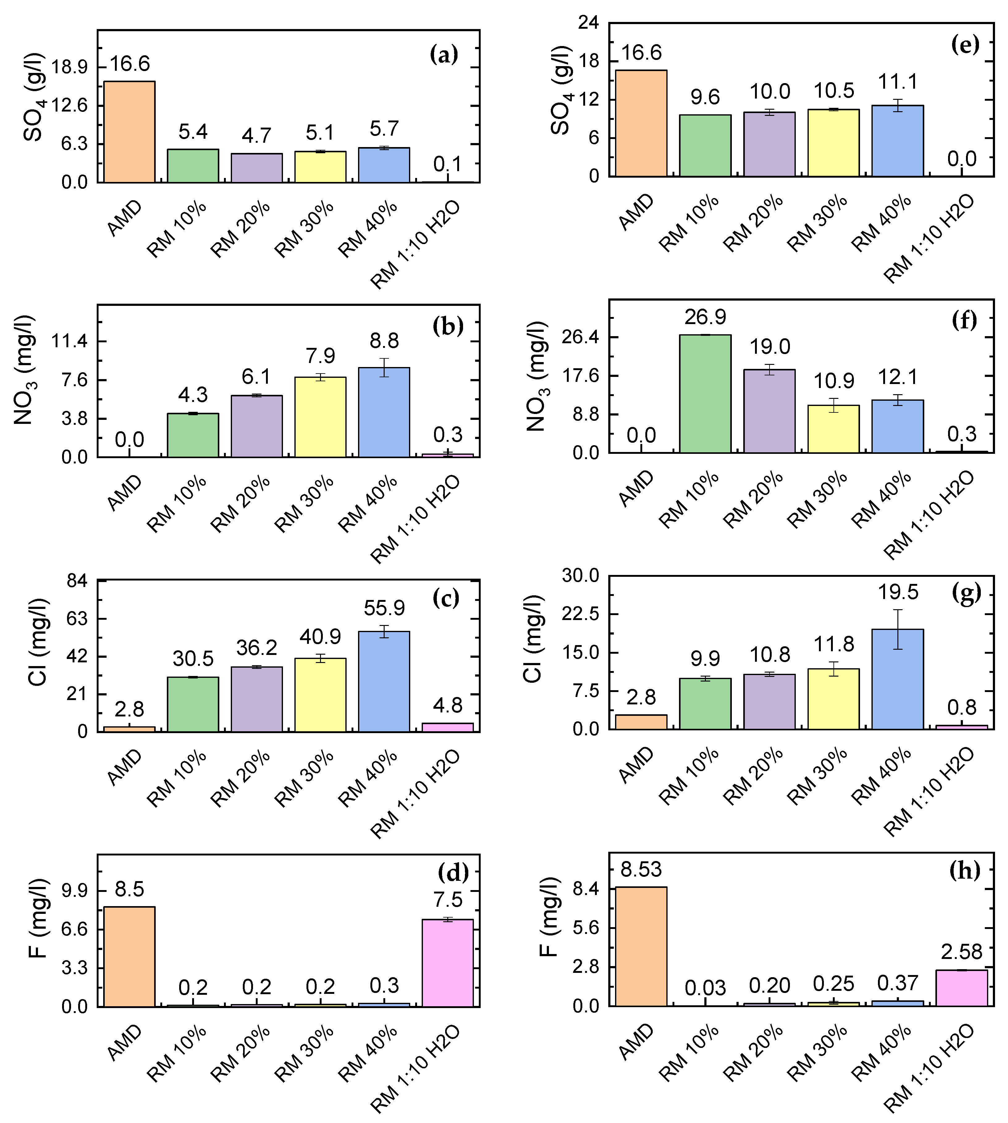
3.2. Influence of RM-Addition on Anions Concentration
3.3. Influence of RM-Addition on Cation Concentration
3.3.1. AMD:RM Negative Synergism
- (a)
- Chromium
- (b)
- Barium
- (c)
- Antimony
- (d)
- Selenium
3.3.2. AMD:RM Positive Synergism: RM over AMD
3.4. Discussion of Concentration of Elements in the Mineral Phase
4. Conclusions
- AMD has benefited from RM’s alkaline character, favoring a complete immobilization of fluoride ions and a substantial reduction of sulfates. Nevertheless, the decrease of sulfates was not enough to reach a concentration of 5 g/L, which is the limit for not being considered hazardous according to the EU Landfill Directive 1999/31/EC.
- NO3 concentration by using Greek or German RM to neutralize AMD showed different trends, and these results should be deeply studied, especially the interaction of AMD microbial communities with RM.
- There is a net positive synergism on mixing an alkaline waste such as RM with AMD from an environmental perspective. RM over AMD was efficient to neutralize Cd, Pb, Ni, Cu, and Zn. On the other hand, AMD was effective to immobilize As, Mo, and V from RM.
- Regarding Cr, Ba, Se, and Sb, the mix offers selective separation despite a negative increment of these ions in the eluates. Nevertheless, Ba and Sb’s increments were low compared to legally established limits to consider waste as harmful. The selective dissolution of Cr and the immobilization of most of the metallic ions in the mineral phase can be a strategy to explore in order to recover this element.
- Valuable elements present in RM such as La, Nd, and Nb tend to remain in the mineral phase. Elements such as Ce and Y present in AMD precipitates under the effect of RM enriching the mineral phase. Several authors had explored a pyrometallurgical treatment of RM to recover pig iron and enhance the content of critical raw material (CRM) in the final slag [22,23,24]. This approach can be beneficial to increase both pig iron and CRM from the filter cakes produce after coagulating AMD ions into an RM matrix.
- Except for an increase of Cr in solution, both RM showed a positive net effect in decreasing and immobilizing the primary metal ions considered hazardous to human life and ecosystems. M. Cvijovic et al. [25] proposed improved chemical treatment of surface water and sludge application as a compost. As shown in their work, the metals with content over the maximum limit (mg/kg), 169 Ni, 69 Cr, and 5.7 Pb, can be reduced by zeolite, which is maybe a solution for removal of Cr from our solution.
Author Contributions
Funding
Data Availability Statement
Acknowledgments
Conflicts of Interest
References
- WHG. Federal Water Act; German Federal Ministry of Justice and Consumer Protection: Berlin, Germany, 2009; Chapter 32.b. [Google Scholar]
- Knight, J.; Rogerson, C.M. The Geography of South Africa, 1st ed.; Springer International Publishing: Cham, Germany, 2019; Chapter 4; pp. 27–31. [Google Scholar]
- McCarthy, T.S. The impact of acid mine drainage in South Africa. S. Afr. J. Sci. 2011, 107, 5–6. [Google Scholar] [CrossRef]
- Tabelin, C.B.; Igarashi, T.; Tabelin, M.V.; Park, I.; Opiso, E.M.; Ito, M.; Hiroyoshi, N. Arsenic, selenium, boron, lead, cadmium, copper and zinc in naturally contaminated rocks: A review of their sources, modes of enrichment, mechanisms of release and mitigation strategies. Sci. Total Environ. 2018, 645, 1522–1553. [Google Scholar] [CrossRef]
- Park, I.; Tabelin, C.B.; Jeon, S.; Li, X.; Seno, K.; Ito, M.; Hiroyoshi, N. A review of recent strategies for acid mine drainage prevention and mine tailings recycling. Chemosphere 2019, 219, 588–606. [Google Scholar] [CrossRef]
- Igarashi, T.; Herrera, P.S.; Uchiyama, H.; Miyamae, H.; Iyatomi, N.; Hashimoto, K.; Tabelin, C.B. The two-step neutralization ferrite-formation process for sustainable acid mine drainage treatment: Removal of copper, zinc and arsenic and the influence of coexisting ions on ferritization. Sci. Total Environ. 2020, 715, 136877. [Google Scholar] [CrossRef]
- Bwapwa, J.K. A Review of Acid Mine Drainage in a Water-Scarce Country: Case of South Africa. Environ. Manag. Sustain. Dev. 2017, 7, 1. [Google Scholar] [CrossRef]
- Singer, P.C.; Stumm, W. Acidic Mine Drainage: The Rate-Determining Step. Sciense 1970, 167, 1121–1123. [Google Scholar] [CrossRef]
- Plumlee, G.S.; Smith, K.S.; Montour, M.R.; Ficklin, W.H.; Mosier, E.L. Geologic Controls on the Composition of Natural Waters and Mine Waters Draining Diverse Mineral-Deposit Types. In The Environmental Geochemistry of Mineral Deposits; Reviews in Economic Geology; Society of Economic Geologists: Littleton, CO, USA, 1999; Volume 6, Chapter 19; pp. 373–435. [Google Scholar]
- Lim, J.; Yu, J.; Wang, L.; Jeong, Y.; Shin, J.H. Heavy Metal Contamination Index Using Spectral Variables for White Precipitates Induced by Acid Mine Drainage: A Case Study of Soro Creek, South Korea. IEEE Trans. Geosci. Remote Sens. 2019, 57, 4870–4888. [Google Scholar] [CrossRef]
- Mwewa, B.; Stopic, S.; Ndlovu, S.; Simate, G.S.; Xakalashe, B.; Friedrich, B. Synthesis of Poly-Alumino-Ferric Sulphate Coagulant from Acid Mine Drainage by Precipitation. Metals 2019, 9, 1166. [Google Scholar] [CrossRef]
- Keller, V.; Stopic, S.; Xakalashe, B.; Ma, Y.; Ndlovu, S.; Mwewa, B.; Simate, G.; Friedrich, B. Effectiveness of Fly Ash and Red Mud as Strategies for Sustainable Acid Mine Drainage Management. Minerals 2020, 10, 707. [Google Scholar] [CrossRef]
- Kaussen, F.; Friedrich, B. Phase characterization and thermochemical simulation of (landfilled) bauxite residue (“red mud”) in different alkaline processes optimized for aluminum recovery. Hydrometallurgy 2018, 176, 49–61. [Google Scholar] [CrossRef]
- Alkan, G.; Diaz, F.; Gronen, L.; Stopic, S.; Friedrich, B. A mineralogical assessment on bauxite residue (red mud) after acidic leaching for titanium recovery. Metals 2017, 7, 458. [Google Scholar] [CrossRef]
- Paradis, M.; Duchesne, J.; Lamontagne, A.; Isabel, D. Using red mud bauxite for the neutralization of acid mine tailings: A column leaching test. Can. Geotech. J. 2006, 43, 1167–1179. [Google Scholar] [CrossRef]
- Dai, Z.; Guo, X.; Yin, H.; Liang, Y.; Cong, J.; Liu, X. Identification of Nitrogen-Fixing Genes and Gene Clusters from Metagenomic Library of Acid Mine Drainage. PLoS ONE 2014, 9, e87976. [Google Scholar] [CrossRef]
- Kaksonen, A.H.; Puhakka, J.A. Sulfate Reduction Based Bioprocesses for the Treatment of Acid Mine Drainage and the Recovery of Metals. Eng. Life Sci. 2007, 7, 541–564. [Google Scholar] [CrossRef]
- Sun, W.; Xiao, E.; Krumins, V.; Dong, Y.; Li, B.; Deng, J.; Wang, Q.; Xiao, T.; Liu, J. Comparative Analyses of the Microbial Communities Inhabiting Coal Mining Waste Dump and an Adjacent Acid Mine Drainage Creek. Microb. Ecol. 2019, 78, 651–664. [Google Scholar] [CrossRef]
- Oshiki, M.; Ishii, S.; Yoshida, K.; Fujii, N.; Ishiguro, M.; Satoh, H.; Okabe, S. Nitrate-Dependent Ferrous Iron Oxidation by Anaerobic Ammonium Oxidation (Anammox) Bacteria. Appl. Environ. Microbiol. 2013, 79, 4087–4093. [Google Scholar] [CrossRef] [PubMed]
- Gummow, B. Vanadium: Environmental Pollution and Health Effects. In Encyclopedia of Environmental Health; Elsevier: Amsterdam, The Netherlands, 2011; pp. 628–636. [Google Scholar] [CrossRef]
- Di Carlo, E.; Boullemant, A.; Courtney, R. Ecotoxicological risk assessment of revegetated bauxite residue: Implications for future rehabilitation programmes. Sci. Total Environ. 2020, 698, 134344. [Google Scholar] [CrossRef]
- Alkan, G.; Yagmurlu, B.; Gronen, L.; Dittrich, C.; Ma, Y.; Stopic, S.; Friedrich, B. Selective silica gel free scandium extraction from Iron-depleted red mud slags by dry digestion. Hydrometallurgy 2019, 185, 266–272. [Google Scholar] [CrossRef]
- Borra, C.R.; Blanpain, B.; Pontikes, Y.; Binnemans, K.; Van Gerven, T. Recovery of Rare Earths and Other Valuable Metals From Bauxite Residue (Red Mud): A Review. J. Sustain. Met. 2016, 2, 365–386. [Google Scholar] [CrossRef]
- Valeev, D.; Zinoveev, D.; Kondratiev, A.; Lubyanoi, D.; Pankratov, D. Reductive Smelting of Neutralized Red Mud for Iron Recovery and Produced Pig Iron for Heat-Resistant Castings. Metals 2019, 10, 32. [Google Scholar] [CrossRef]
- Cvijović, M.; Murić, M.; Čudić, V. Improved chemical treatment of Sušica surface water, Zlatibor area, and sludge application. Vojn. Glas. 2020, 68, 293–320. [Google Scholar] [CrossRef]

















| Element | AMD | RM.Gr | RM.De |
|---|---|---|---|
| F [mg/L] | 8.5 | 7.5 | 2.6 |
| Cl [mg/L] | 2.8 | 4.8 | 0.8 |
| NO3 [mg/L] | <0.1 | 0.3 | 0.3 |
| SO4 [g/L] | 16.6 | 0.1 | <0.1 |
| As [μg/L] | 15.4 | 389.5 | 6.7 |
| Ba [μg/L] | 1.9 | <0.1 | <0.1 |
| Cd [μg/L] | 67.8 | 0.1 | <0.1 |
| Cr [μg/L] | 34.6 | 18.4 | 555.2 |
| Cu [μg/L] | 216.2 | <5 | <5 |
| Mo [μg/L] | <0.1 | 19.1 | <0.1 |
| Ni [μg/L] | 982.2 | 0.2 | <0.1 |
| Pb [μg/L] | 8.4 | <0.1 | <0.1 |
| Sb [μg/L] | <0.1 | <0.1 | <0.1 |
| Se [μg/L] | 1.3 | 11.8 | 4.0 |
| V [μg/L] | 0.6 | 2,623.4 | 202.9 |
| Zn [μg/L] | 7,250.3 | <0.1 | <0.1 |
| pH | 2.0 | 10.3 | 11.3 |
| Element [mg/kg] | Limits for Inert Waste | Limits for Non-hazardous Waste | Limits for Hazardous Waste | RM Greece | RM Germany |
|---|---|---|---|---|---|
| Cl | 800 | 15,000 | 25,000 | 48.07 | 7.70 |
| F | 10 | 150 | 500 | 74.57 | 25.83 |
| SO4 | 1000 | 20,000 | 50,000 | 1100 | 37.27 |
| Ni | 0.4 | 10 | 40 | <0.01 | <0.01 |
| Pb | 0.5 | 10 | 50 | <0.01 | <0.01 |
| Sb | 0.06 | 0.7 | 5 | <0.01 | <0.01 |
| Se | 0.1 | 0.5 | 7 | 0.12 | 0.04 |
| Zn | 4 | 50 | 200 | <0.10 | <0.10 |
| As | 0.5 | 2 | 25 | 3.89 | 0.07 |
| Ba | 20 | 100 | 300 | <0.01 | <0.01 |
| Cd | 0.04 | 1 | 5 | <0.01 | <0.01 |
| Cr total | 0.5 | 10 | 70 | 0.18 | 5.55 |
| Cu | 2 | 50 | 100 | <0.05 | <0.05 |
| Hg | 0.01 | 0.2 | 2 | <0.01 | <0.01 |
| Mo | 0.5 | 10 | 30 | 0.19 | <0.01 |
| Mineral [wt%] | RM.Gr | RM.De |
|---|---|---|
| Cancrinite [Na6Ca1.5Al6Si6O24(CO3)1.6] | 15 | – |
| Perovskite [CaTiO₃] | 4.5 | – |
| Hematite [Fe2O3] | 30 | 44 |
| Boehmite [AlO(OH)] | 3 | 13 |
| Goethite [FeO(OH)] | 9 | – |
| Anatase [TiO2] | 0.5 | 5 |
| Calcium aluminium iron silicate hydroxide[Ca3AlFe(SiO4)(OH)8] | 17 | – |
| Quartz [SiO2] | 2 | – |
| Rutile [TiO2] | 0.5 | 3 |
| Calcite [CaCO3] | 4 | – |
| Chamosite [(Fe2+,Mg)5Al(AlSi3O10)(OH)8] | 4 | – |
| Diaspore [AlO(OH)] | 9 | – |
| Gibbsite [Al(OH)3]] | 2 | 15 |
| Sodalite [Na4(SiAl)3O12Cl] | – | 7 |
| Nepheline [Na3KAl4Si4O16] | – | 7 |
| Albite [NaAlSi3O3] | – | 4 |
| Katoite [Ca3Al2(SIO4)1.5(OH)6] | – | 2 |
| %OH-species | 12.3 | 14.0 |
| wt% | SiO2 | Al2O3 | CaO | Na2O | TiO2 | Fe | S |
|---|---|---|---|---|---|---|---|
| RM.Gr | 6.3 | 16.3 | 8.1 | 2.8 | 5.2 | 32.5 | 0.04 |
| RM.Gr.10 | 6.2 | 13.9 | 10.6 | 2.6 | 5.0 | 34.1 | 3.39 |
| RM.Gr.20 | 7.4 | 16.3 | 10.2 | 2.2 | 5.7 | 34.6 | 2.12 |
| RM.Gr.30 | 7.6 | 16.8 | 10.0 | 2.7 | 5.6 | 35.5 | 1.34 |
| RM.Gr.40 | 7.9 | 16.7 | 10.0 | 2.9 | 5.0 | 34.3 | 0.95 |
| RM.De | 12.3 | 16.1 | 6.4 | 9.1 | 10.8 | 20.7 | 0.02 |
| RM.De.10 | 13.0 | 17.0 | 6.2 | 8.0 | 9.9 | 25.9 | 1.53 |
| RM.De.20 | 15.3 | 19.4 | 6.4 | 7.7 | 10.4 | 21.5 | 0.70 |
| RM.De.30 | 12.7 | 14.8 | 6.7 | 7.5 | 11.5 | 28.5 | 0.50 |
| RM.De.40 | 11.7 | 12.7 | 6.9 | 7.0 | 12.3 | 31.4 | 0.42 |
Publisher’s Note: MDPI stays neutral with regard to jurisdictional claims in published maps and institutional affiliations. |
© 2021 by the authors. Licensee MDPI, Basel, Switzerland. This article is an open access article distributed under the terms and conditions of the Creative Commons Attribution (CC BY) license (https://creativecommons.org/licenses/by/4.0/).
Share and Cite
Lucas, H.; Stopic, S.; Xakalashe, B.; Ndlovu, S.; Friedrich, B. Synergism Red Mud-Acid Mine Drainage as a Sustainable Solution for Neutralizing and Immobilizing Hazardous Elements. Metals 2021, 11, 620. https://doi.org/10.3390/met11040620
Lucas H, Stopic S, Xakalashe B, Ndlovu S, Friedrich B. Synergism Red Mud-Acid Mine Drainage as a Sustainable Solution for Neutralizing and Immobilizing Hazardous Elements. Metals. 2021; 11(4):620. https://doi.org/10.3390/met11040620
Chicago/Turabian StyleLucas, Hugo, Srecko Stopic, Buhle Xakalashe, Sehliselo Ndlovu, and Bernd Friedrich. 2021. "Synergism Red Mud-Acid Mine Drainage as a Sustainable Solution for Neutralizing and Immobilizing Hazardous Elements" Metals 11, no. 4: 620. https://doi.org/10.3390/met11040620
APA StyleLucas, H., Stopic, S., Xakalashe, B., Ndlovu, S., & Friedrich, B. (2021). Synergism Red Mud-Acid Mine Drainage as a Sustainable Solution for Neutralizing and Immobilizing Hazardous Elements. Metals, 11(4), 620. https://doi.org/10.3390/met11040620

