Experiments and Crystal Plasticity Simulations on Plastic Anisotropy of Naturally Aged and Annealed Al–Mg–Si Alloy Sheets
Abstract
:1. Introduction
2. Uniaxial Tension Tests for Al–Mg–Si Alloy Sheets in T4 and O Temper
2.1. Material
2.2. Procedure for Uniaxial Tension Test
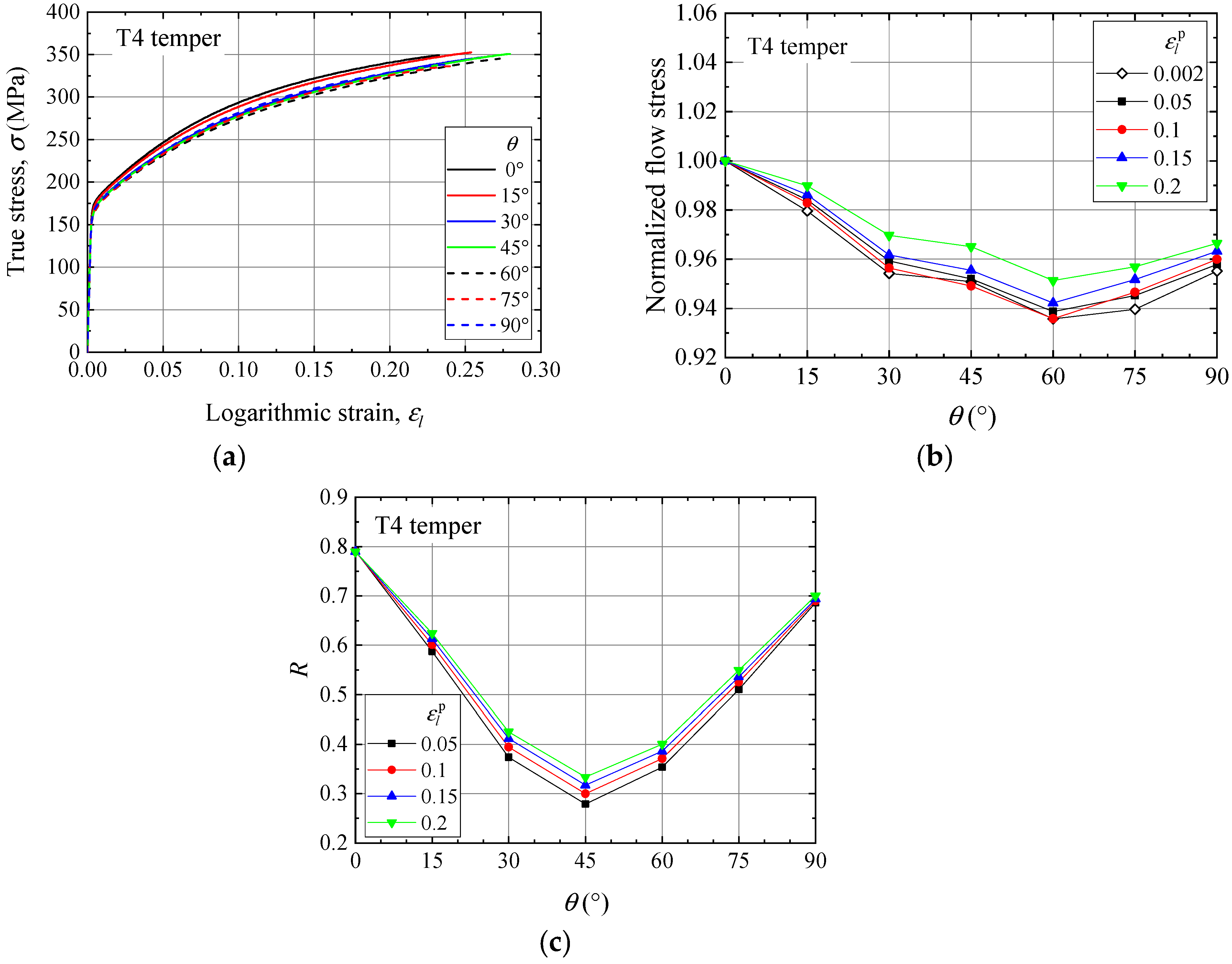
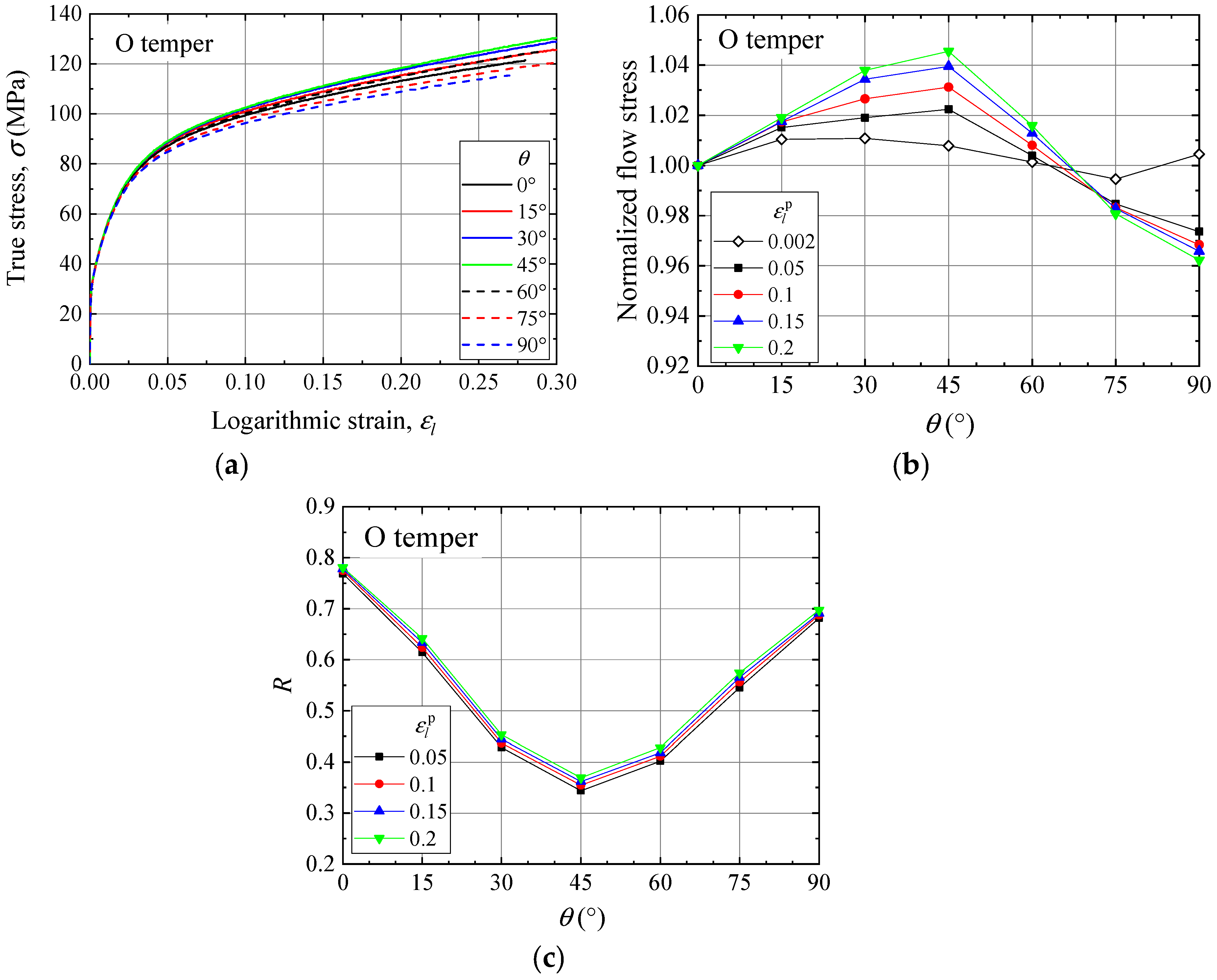
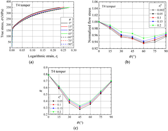
2.3. Results of Uniaxial Tension Test
3. Crystal Plasticity Simulations
3.1. Dislocation-Density Based Crystal Plasticity Model
3.2. Procedure for Simulation of Polycrystalline Sheet
4. Results
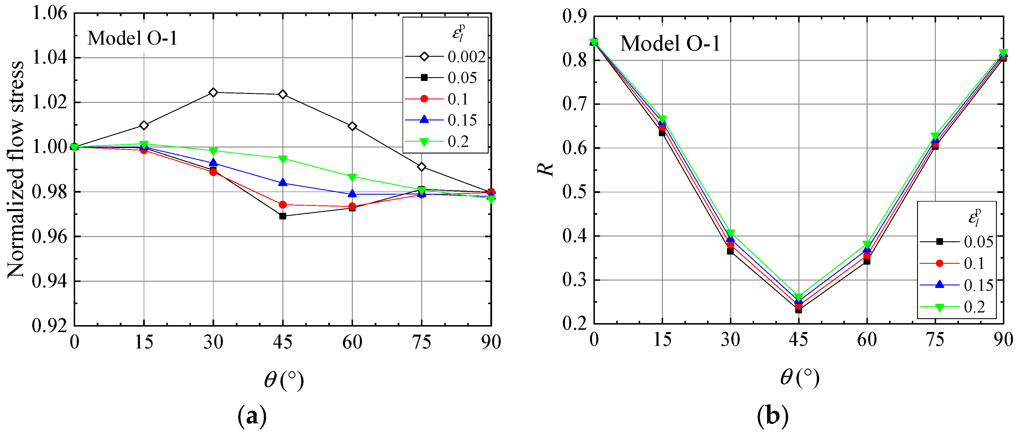
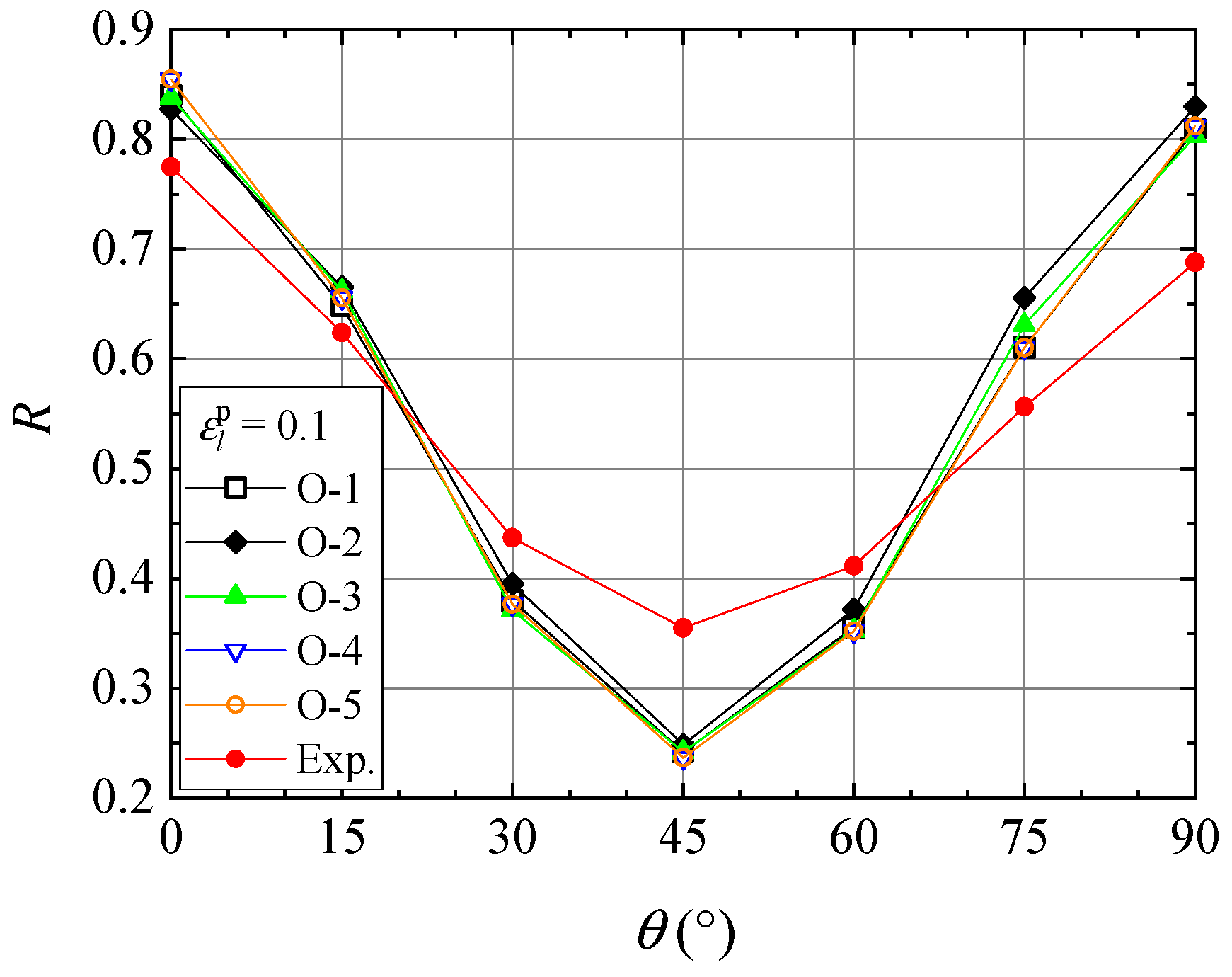
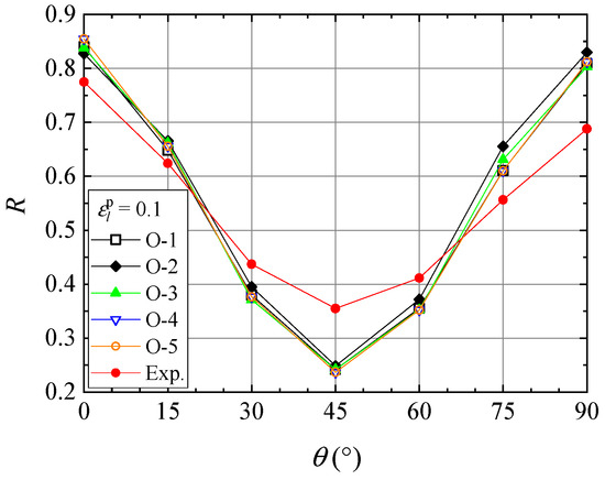
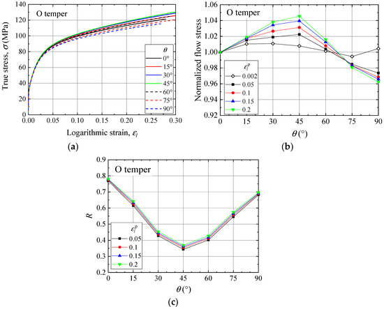
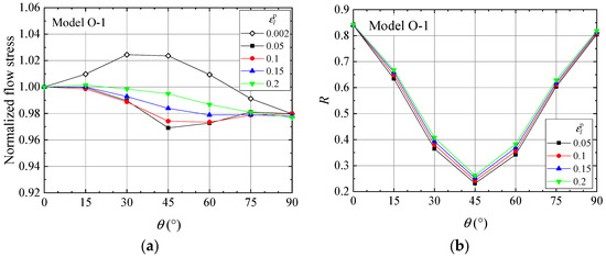
4.1. O Temper Sheet
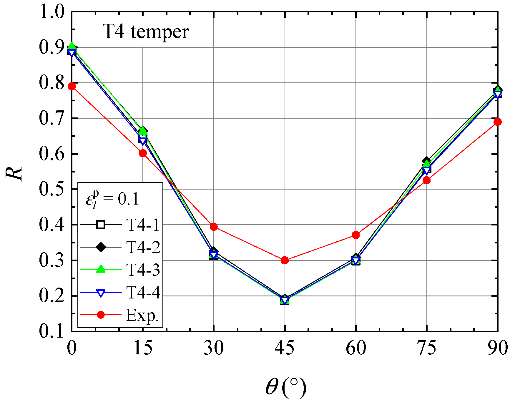
4.2. T4 Temper Sheet
5. Discussion
6. Conclusions
Author Contributions
Funding
Institutional Review Board Statement
Informed Consent Statement
Data Availability Statement
Conflicts of Interest
Appendix A
- Discretization of ODF
References
- Ringer, S.P.; Polmear, I.J.; Hono, K.; Sakurai, T. Cluster hardening in an aged Al-Cu-Mg alloy. Scr. Mater. 1997, 36, 517–521. [Google Scholar] [CrossRef]
- Marceau, R.K.; de Vaucorbeil, A.; Sha, G.; Ringer, S.P.; Poole, W.J. Analysis of strengthening in AA6111 during the early stages of aging: Atom probe tomography and yield stress modelling. Acta Mater. 2013, 61, 7285–7303. [Google Scholar] [CrossRef]
- Aruga, Y.; Kozuka, M.; Takaki, Y.; Sato, T. Formation and reversion of clusters during natural aging and subsequent artificial aging in an Al–Mg–Si alloy. Mater. Sci. Eng. A 2015, 631, 86–96. [Google Scholar] [CrossRef]
- Engler, O.; Schäfer, C.; Myhr, O.R. Effect of natural ageing and pre-straining on strength and anisotropy in aluminium alloy AA6016. Mater. Sci. Eng. A 2015, 639, 65–74. [Google Scholar] [CrossRef]
- Khadyko, M.; Dumoulin, S.; Hopperstad, O.S. Texture gradients and strain localisation in extruded aluminium profile. Int. J. Solids Struct. 2016, 97, 239–255. [Google Scholar] [CrossRef]
- Khadyko, M.; Myhr, O.R.; Hopperstad, O.S. Work hardening and plastic anisotropy of naturally and artificially aged aluminium alloy AA6063. Mech. Mater. 2019, 136, 103069. [Google Scholar] [CrossRef]
- Kuwabara, T.; Mori, T.; Asano, M.; Hakoyama, T.; Barlat, F. Material modeling of 6016-O and 6016-T4 aluminum alloy sheets and application to hole expansion forming simulation. Int. J. Plast. 2017, 93, 164–186. [Google Scholar] [CrossRef]
- Li, F.; Bate, P.S. Strain path change effects in cube textured aluminium sheet. Acta Metal. Mater. 1991, 39, 2639–2650. [Google Scholar] [CrossRef]
- Lopes, A.B.; Barlat, F.; Gracio, J.J.; Duarte, J.F.; Rauch, E.F. Effect of texture and microstructure on strain hardening anisotropy for aluminum deformed in uniaxial tension and simple shear. Int. J. Plast. 2003, 19, 1–22. [Google Scholar] [CrossRef]
- Zhang, K.; Holmedal, B.; Hopperstad, O.S.; Dumoulin, S.; Gawad, J.; Van Bael, A.; Van Houtte, P. Multi-level modelling of mechanical anisotropy of commercial pure aluminium plate: Crystal plasticity models, advanced yield functions and parameter identification. Int. J. Plast. 2015, 66, 3–30. [Google Scholar] [CrossRef]
- Lademo, O.G.; Engler, O.; Keller, S.; Berstad, T.; Pedersen, K.O.; Hopperstad, O.S. Identification and validation of constitutive model and fracture criterion for Al-Mg-Si alloy with application to sheet forming. Mater. Des. 2009, 30, 3005–3019. [Google Scholar] [CrossRef]
- Kami, A.; Dariani, B.M.; Vanini, A.S.; Comsa, D.S.; Banabic, D. Numerical determination of the forming limit curves of anisotropic sheet metals using GTN damage model. J. Mater. Process. Technol. 2015, 216, 472–483. [Google Scholar] [CrossRef]
- Lee, M.G.; Kim, D.; Kim, C.; Wenner, M.L.; Wagoner, R.H.; Chung, K. Spring-back evaluation of automotive sheets based on isotropic-kinematic hardening laws and non-quadratic anisotropic yield functions Part II: Characterization of material properties. Int. J. Plast. 2005, 21, 883–914. [Google Scholar]
- Bate, P.; Roberts, W.T.; Wilson, D.V. The plastic anisotropy of two-phase aluminum alloys—I. Anisotropy in unidirectional deformation. Acta Metall. 1981, 29, 1797–1814. [Google Scholar] [CrossRef]
- Han, C.S.; Wagoner, R.H.; Barlat, F. On precipitate induced hardening in crystal plasticity: Theory. Int. J. Plast. 2004, 20, 477–494. [Google Scholar] [CrossRef]
- Li, Y.L.; Kohar, C.P.; Mishra, R.K.; Inal, K. A new crystal plasticity constitutive model for simulating precipitation-hardenable aluminum alloys. Int. J. Plast. 2020, 132, 102759. [Google Scholar] [CrossRef]
- Wu, P.D.; Lloyd, D.J. Analysis of surface roughening in AA6111 automotive sheet. Acta Mater. 2004, 52, 1785–1798. [Google Scholar] [CrossRef]
- Khadyko, M.; Dumoulin, S.; Cailletaud, G.; Hopperstad, O.S. Latent hardening and plastic anisotropy evolution in AA6060 aluminium alloy. Int. J. Plast. 2016, 76, 51–74. [Google Scholar] [CrossRef] [Green Version]
- Zecevic, M.; Knezevic, M. Latent hardening within the elasto-plastic self-consistent polycrystal homogenization to enable the prediction of anisotropy of AA6022-T4 sheets. Int. J. Plast. 2018, 105, 141–163. [Google Scholar] [CrossRef] [Green Version]
- Xie, Q.; Van Bael, A.; An, Y.G.; Lian, J.; Sidor, J.J. Effects of the isotropic and anisotropic hardening within each grain on the evolution of the flow stress, the r-value and the deformation texture of tensile tests for AA6016 sheets. Mater. Sci. Eng. A 2018, 721, 154–164. [Google Scholar] [CrossRef]
- Hama, T.; Yagi, S.; Maeda, Y.; Maeda, Y.; Takuda, H. Evolution of plastic deformation behavior upon strain-path changes in an A6022-T4 Al alloy sheet. Int. J. Plast. 2021, 137, 102913. [Google Scholar] [CrossRef]
- Khadyko, M.; Marioara, C.D.; Dumoulin, S.; Børvik, T.; Hopperstad, O.S. Effects of heat-treatment on the plastic anisotropy of extruded aluminium alloy AA6063. Mater. Sci. Eng. A 2017, 708, 208–221. [Google Scholar] [CrossRef]
- Barlat, F.; Richmond, O. Prediction of tricomponent plane stress yield surfaces and associated flow and failure behavior of strongly textured fcc polycrystalline sheets. Mater. Sci. Eng. 1987, 95, 15–29. [Google Scholar] [CrossRef]
- Kuroda, M.; Ikawa, S. Texture optimization of rolled aluminum alloy sheets using a genetic algorithm. Mater. Sci. Eng. A 2004, 385, 235–244. [Google Scholar] [CrossRef]
- Kubin, L.; Devincre, B.; Hoc, T. Modeling dislocation storage rates and mean free paths in face-centered cubic crystals. Acta Mater. 2008, 56, 6040–6049. [Google Scholar] [CrossRef]
- Yoshida, K.; Ishii, A.; Tadano, Y. Work-hardening behavior of polycrystalline aluminum alloy under multiaxial stress paths. Int. J. Plast. 2014, 53, 17–39. [Google Scholar] [CrossRef]
- Kocks, U.F.; Mecking, H. Physics and phenomenology of strain hardening: The FCC case. Progress Mater. Sci. 2003, 48, 171–273. [Google Scholar] [CrossRef]
- Teodosiu, C. Dislocation Modelling of Crystalline Plasticity. In Large Plastic Deformation of Crystalline Aggregates; Teodosiu, C., Ed.; Springer: Vienna, Austria, 1997; pp. 21–80. [Google Scholar]
- Yoshida, K.; Okada, N. Plastic flow behavior of fcc polycrystal subjected to nonlinear loadings over large strain range. Int. J. Plast. 2020, 127, 102639. [Google Scholar] [CrossRef]
- Wu, X.; Ohno, N. A homogenization theory for time-dependent nonlinear composites with periodic internal structures. Int. J. Solids Struct. 1999, 36, 4991–5012. [Google Scholar] [CrossRef]
- Ohno, N.; Okumura, D.; Noguchi, H. Microscopic symmetric bifurcation condition of cellular solids based on a homogenization theory of finite deformation. J. Mech. Phys. Solids 2002, 50, 1125–1153. [Google Scholar] [CrossRef]
- Liu, Q.; Juul Jensen, D.; Hansen, N. Effect of grain orientation on deformation structure in cold-rolled polycrystalline aluminium. Acta Mater. 1998, 46, 5819–5838. [Google Scholar] [CrossRef]
- Rauch, E.F.; Gracio, J.J.; Barlat, F.; Lopes, A.B.; Duarte, J.F. Hardening behavior and structural evolution upon strain reversal of aluminum alloys. Scr. Mater. 2002, 46, 881–886. [Google Scholar] [CrossRef]
- Singh, C.V.; Mateos, A.J.; Warner, D.H. Atomistic simulations of dislocation–precipitate interactions emphasize importance of cross-slip. Scr. Mater. 2011, 64, 398–401. [Google Scholar] [CrossRef]
- Toth, L.S.; Van Houtte, P. Discretization techniques for orientation distribution functions. Textures Microstruct. 1992, 19, 229–244. [Google Scholar] [CrossRef]









| Si | Fe | Cu | Mn | Mg | Cr | Zn | Ti | Al |
|---|---|---|---|---|---|---|---|---|
| 0.9 | 0.17 | 0.01 | 0.08 | 0.48 | <0.01 | 0.23 | 0.03 | Bal. |
| Notation | ||||
|---|---|---|---|---|
| O-1 | 6.90 | 6.35 × 10−8 | 1.0 for all | Bself = Bcp = 0; 1.0 for others |
| O-2 | 6.42 | 6.68 × 10−8 | Aself = Acp = ALC = 1, Ac1 = 5.12, AH = 0.57, Agl = 1.12 | |
| O-3 | 6.83 | 6.12 × 10−8 | Aself = Acp = 1; 1.4 for others | |
| O-4 | 8.95 | 5.81 × 10−8 | 1.0 for all | 1.0 for all |
| O-5 | 10.52 | 5.87 × 10−8 | Bself = Bcp = BLC = 1, Bc1 = 5.12, BH = 0.57, and Bgl = 1.12 |
| Notation | ||||
|---|---|---|---|---|
| T4-1 | 10.7 | 1.57 × 10−8 | 1.0 for all | Bself = Bcp = 0; 1.0 for others |
| T4-2 | 11.1 | 1.45 × 10−8 | Aself = Acp = ALC = 1, Ac1 = 5.12, AH = 0.57, Agl = 1.12 | |
| T4-3 | 10.7 | 1.56 × 10−8 | Aself = Acp = 1; 1.4 for others | |
| T4-4 | 8.17 | 1.72 × 10−8 | Aself = Acp = 1; 0.5 for others |
Publisher’s Note: MDPI stays neutral with regard to jurisdictional claims in published maps and institutional affiliations. |
© 2021 by the authors. Licensee MDPI, Basel, Switzerland. This article is an open access article distributed under the terms and conditions of the Creative Commons Attribution (CC BY) license (https://creativecommons.org/licenses/by/4.0/).
Share and Cite
Yoshida, K.; Yamazaki, Y.; Nakanishi, H. Experiments and Crystal Plasticity Simulations on Plastic Anisotropy of Naturally Aged and Annealed Al–Mg–Si Alloy Sheets. Metals 2021, 11, 1979. https://doi.org/10.3390/met11121979
Yoshida K, Yamazaki Y, Nakanishi H. Experiments and Crystal Plasticity Simulations on Plastic Anisotropy of Naturally Aged and Annealed Al–Mg–Si Alloy Sheets. Metals. 2021; 11(12):1979. https://doi.org/10.3390/met11121979
Chicago/Turabian StyleYoshida, Kengo, Yasuhito Yamazaki, and Hidetaka Nakanishi. 2021. "Experiments and Crystal Plasticity Simulations on Plastic Anisotropy of Naturally Aged and Annealed Al–Mg–Si Alloy Sheets" Metals 11, no. 12: 1979. https://doi.org/10.3390/met11121979
APA StyleYoshida, K., Yamazaki, Y., & Nakanishi, H. (2021). Experiments and Crystal Plasticity Simulations on Plastic Anisotropy of Naturally Aged and Annealed Al–Mg–Si Alloy Sheets. Metals, 11(12), 1979. https://doi.org/10.3390/met11121979

