Enhancement of Imperfection Detection Capabilities in TIG Welding of the Infrared Monitoring System
Abstract
:1. Introduction
2. Materials
3. Methods
3.1. Emissivity and Reflected Temperature Correction
3.2. Detection and Identification of Weld Defects Based on Interpolated IR Sequences
3.3. Welds Used for the Method Evaluation
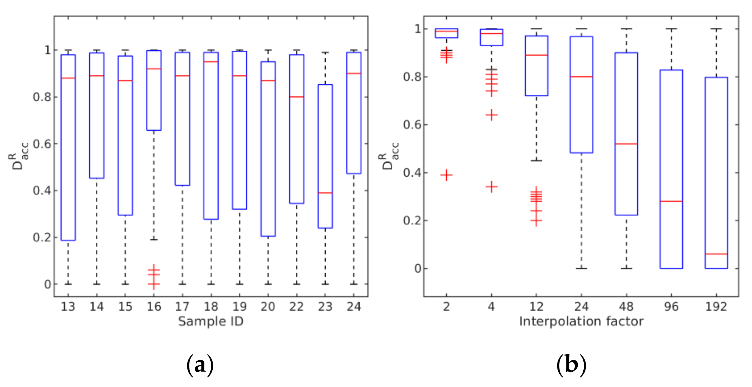
4. Results and Discussion
5. Conclusions
Author Contributions
Funding
Institutional Review Board Statement
Informed Consent Statement
Data Availability Statement
Conflicts of Interest
References
- Kik, T. Heat Source Models in Numerical Simulations of Laser Welding. Materials 2020, 13, 2653. [Google Scholar] [CrossRef]
- Rogalski, G.; Świerczyńska, A.; Landowski, M.; Fydrych, D. Mechanical and Microstructural Characterization of TIG Welded Dissimilar Joints between 304L Austenitic Stainless Steel and Incoloy 800HT Nickel Alloy. Metals 2020, 10, 559. [Google Scholar] [CrossRef]
- Ghetiya, N.; Pandya, D. Mathematical Modeling for the Bead Width and Penetration in Activated TIG Welding Process. In Proceedings of the International Conference on Multidisciplinary Research & Practice, Gujarat, India, 30 November 2014; Volume 1, pp. 247–252. [Google Scholar]
- Tomków, J.; Sobota, K.; Krajewski, S. Influence of tack welds distribution and welding sequence on the angular distortion of tig welded joint. Facta Univ. Ser. Mech. Eng. 2020, 18, 611–621. [Google Scholar] [CrossRef]
- Tseng, K.-H.; Hsu, C.-Y. Performance of activated TIG process in austenitic stainless steel welds. J. Mater. Process. Technol. 2011, 211, 503–512. [Google Scholar] [CrossRef]
- Tsai, C.-H.; Hou, K.-H.; Chuang, H.-T. Fuzzy control of pulsed GTA welds by using real-time root bead image feedback. J. Mater. Process. Technol. 2006, 176, 158–167. [Google Scholar] [CrossRef]
- Skowrońska, B.; Chmielewski, T.; Kulczyk, M.; Skiba, J.; Przybysz, S. Microstructural Investigation of a Friction-Welded 316L Stainless Steel with Ultrafine-Grained Structure Obtained by Hydrostatic Extrusion. Materials 2021, 14, 1537. [Google Scholar] [CrossRef]
- Liu, Y.; Zhang, Y. Weld penetration control in gas tungsten arc welding (GTAW) process. In Proceedings of the IECON 2013—39th Annual Conference of the IEEE Industrial Electronics Society, Vienna, Austria, 10–13 November 2013; IEEE: Piscataway, NJ, USA, 2013; pp. 3842–3847. [Google Scholar]
- Jamrozik, W.; Górka, J.; Kik, T. Temperature-Based Prediction of Joint Hardness in TIG Welding of Inconel 600, 625 and 718 Nickel Superalloys. Materials 2021, 14, 442. [Google Scholar] [CrossRef] [PubMed]
- Gucwa, M.; Winczek, J.; Giza, K.; Wieczorek, P.; Makles, K. The Effect of Welding Methods on the Corrosion Resistance of 304 Stainless Steel Joints. Acta Phys. Pol. A 2019, 135, 232–235. [Google Scholar] [CrossRef]
- Stavridis, J.; Papacharalampopoulos, A.; Stavropoulos, P. Quality assessment in laser welding: A critical review. Int. J. Adv. Manuf. Technol. 2017, 94, 1825–1847. [Google Scholar] [CrossRef]
- Maeda, K.; Suzuki, R.; Suga, T.; Kawahito, Y. Investigating delayed cracking behaviour in laser welds of high strength steel sheets using an X-ray transmission in-situ observation system. Sci. Technol. Weld. Join. 2020, 25, 377–382. [Google Scholar] [CrossRef]
- Yu, W.X.; Liu, B.X.; Chen, C.X.; Liu, M.Y.; Zhang, X.; Fang, W.; Ji, P.G.; He, J.N.; Yin, F.X. Microstructure and mechanical properties of stainless steel clad plate welding joints by different welding processes. Sci. Technol. Weld. Join. 2020, 25, 571–580. [Google Scholar] [CrossRef]
- You, D.; Gao, X.; Katayama, S. Review of laser welding monitoring. Sci. Technol. Weld. Join. 2014, 19, 181–201. [Google Scholar] [CrossRef]
- You, D.; Gao, X.; Katayama, S. Multisensor fusion system for monitoring high-power disk laser welding using support vector machine. IEEE Trans. Ind. Inform. 2014, 10, 1285–1295. [Google Scholar]
- Webster, P.J.L.; Wright, L.G.; Ji, Y.; Galbraith, C.M.; Kinross, A.W.; Van Vlack, C.; Fraser, J.M. Automatic laser welding and milling with in situ inline coherent imaging. Opt. Lett. 2014, 39, 6217–6220. [Google Scholar] [CrossRef]
- Kong, F.; Kovacevic, R. 3D finite element modeling of the thermally induced residual stress in the hybrid laser/arc welding of lap joint. J. Mater. Process. Technol. 2010, 210, 941–950. [Google Scholar] [CrossRef]
- Snedeker, D.A. Study on Development of Techniques for RESISTANCE Welding, Phases I and II; FINAL report; Martin Marietta Corp: Orlando, FL, USA, 1967. [Google Scholar]
- Bobo, S. Infrared radiation as a tool in non-destructive evaluation of welding and bonding. Non-Destr. Test. 1970, 3, 345–350. [Google Scholar] [CrossRef]
- Naksuk, N.; Nakngoenthong, J.; Printrakoon, W.; Yuttawiriya, R. Real-Time Temperature Measurement Using Infrared Thermography Camera and Effects on Tensile Strength and Microhardness of Hot Wire Plasma Arc Welding. Metals 2020, 10, 1046. [Google Scholar] [CrossRef]
- Thomas, K.R.; Unnikrishnakurup, S.; Nithin, P.V.; Balasubramaniam, K.; Rajagopal, P.; Prabhakar, K.V.P.; Padmanabham, G.; Riedel, F.; Puschmann, M. Online monitoring of cold metal transfer (CMT) process using infrared thermography. Quant. Infrared Thermogr. J. 2016, 14, 1–11. [Google Scholar] [CrossRef]
- Nagarajan, S.; Banerjee, P.; Chen, W.; Chin, B. Control of the welding process using infrared sensors. IEEE Trans. Robot. Autom. 1992, 8, 86–93. [Google Scholar] [CrossRef]
- Wilik, H.C.; Kottilingam, S.; Zee, R.H. Infrared sensing techniques for penetration depth control of the sub-merged arc welding process. J. Mater. Process. Technol. 2001, 113, 228–233. [Google Scholar]
- Al-Habaibeh, A.; Parkin, R. An autonomous low-cost infrared system for the on-line monitoring of manufacturing processes using novelty detection. Int. J. Adv. Manuf. Technol. 2003, 22, 249–258. [Google Scholar] [CrossRef]
- Bicknell, A.; Smith, J.S.; Lucas, J. Infrared sensor for top face monitoring of weld pools. Meas. Sci. Technol. 1994, 5, 371–378. [Google Scholar] [CrossRef]
- Farson, D.; Richardon, R.; Li, X. Infrared measurement of base metal temperature in gas tungsten arc welding. Weld. Res. Suppl. 1998, 77, 396. [Google Scholar]
- Steffensen, J.F. Interpolation, 2nd ed.; Dover Publications: Mineola, NY, USA, 2006. [Google Scholar]
- Umar, M.; Paulraj, S. Thermography analysis and porosity formation during laser beam welding of AA5083-H111 aluminum alloy. J. Therm. Anal. Calorim. 2020, 1–9. [Google Scholar] [CrossRef]
- Speka, M.; Matteï, S.; Pilloz, M.; Ilie, M. The infrared thermography control of the laser welding of amorphous polymers. NDT E Int. 2008, 41, 178–183. [Google Scholar] [CrossRef]
- Rinker, T.J.; McGovern, M.E.; Brown, T.; Wang, H. Thermographic detectability of porosity in multi-layered bare and anodized aluminum laser welds. Procedia Manuf. 2020, 48, 165–171. [Google Scholar] [CrossRef]


























| Super- Alloy | Element Concentration, (wt %) | |||||||||||||
|---|---|---|---|---|---|---|---|---|---|---|---|---|---|---|
| Ni | Cr | Fe | Mo | Nb | Co | Mn | Cu | Al | Ti | Si | C | S | P | |
| Inconel 600 * | 74.43 | 15.76 | 8.60 | - | 0.08 | 0.05 | 0.25 | 0.09 | 0.18 | 0.27 | 0.12 | 0.01 | 0.002 | 0.005 |
| Scheme 25 | Current (A) | Welding Speed (mm/s) | Thermocouple Offset (mm) |
|---|---|---|---|
| S25 | 50 | 5 | 3 |
| S26 | 50 | 5 | 6 |
| S27 | 50 | 4 | 3 |
| S28 | 50 | 4 | 6 |
| Sample ID | Current (A) | Welding Speed (mm/s) | Thermocouple Offset (mm) | Defect |
|---|---|---|---|---|
| S13 | 50 | 3 | - | |
| S14 | 50 | 3 | - | 510 |
| S15 | 50 | 4 | - | |
| S16 | 50 | 4 | - | |
| S17 | 50 | 5 | - | |
| S18 | 50 | 5 | - | |
| S19 | 50 | 7 | - | 511 |
| S20 | 50 | 7 | - | 402 |
| S22 | 70 | 4 | - | 510 |
| S23 | 75/80 | 4 | - | 510 |
| S24 | 70 | 4 | - | 510 |
| Interpolation Factor | Nearest (N) | Linear (L) | Cubic (C) |
|---|---|---|---|
| 2 | 47.4 | 18.18 | 17.49 |
| 4 | 62.38 | 32.69 | 32.79 |
| 4 | 150.79 | 63.79 | 53.38 |
| 5 | 246.34 | 122.7 | 116.47 |
| 42 | 347.52 | 208.61 | 209.89 |
| 98 | 403.36 | 286.38 | 287.96 |
| 196 | 449.52 | 371.03 | 378.31 |
| ID | ||||||||
|---|---|---|---|---|---|---|---|---|
| Mean | Median | Std. Dev | Variance | Mean | Median | Std. Dev | Variance | |
| S13 | 39.93 | 39.78 | 4.08 | 16.66 | ™35.44 | ™35.65 | 6.52 | 42.56 |
| S14 | 44.35 | 44.44 | 2.99 | 8.96 | ™2.76 | ™1.92 | 5.83 | 33.96 |
| S15 | 78.31 | 77.72 | 4.60 | 21.19 | ™1.61 | ™2.58 | 8.18 | 66.85 |
| S16 | 73.13 | 73.39 | 3.46 | 11.97 | 8.24 | 8.03 | 5.05 | 25.53 |
| S17 | 81.36 | 81.36 | 3.33 | 11.10 | ™2.05 | 3.04 | 17.49 | 305.98 |
| S18 | 90.46 | 90.49 | 5.85 | 34.21 | ™11.27 | ™6.65 | 17.21 | 296.32 |
| S19 | 88.42 | 88.42 | 3.38 | 11.43 | ™46.75 | ™45.92 | 15.21 | 231.47 |
| S20 | 86.31 | 86.31 | 4.56 | 20.79 | ™49.42 | ™49.62 | 13.95 | 194.48 |
| S22 | 84.21 | 84.21 | 3.88 | 15.03 | ™49.42 | ™148.26 | 47.05 | 2213.41 |
| S23* | 115.48 | 117.36 | 13.04 | 170.15 | ™158.97 | ™480.55 | 120.34 | 14,482.91 |
| S24 | 63.53 | 61.75 | 8.92 | 79.52 | ™470.30 | ™29.78 | 76.11 | 5792.80 |
Publisher’s Note: MDPI stays neutral with regard to jurisdictional claims in published maps and institutional affiliations. |
© 2021 by the authors. Licensee MDPI, Basel, Switzerland. This article is an open access article distributed under the terms and conditions of the Creative Commons Attribution (CC BY) license (https://creativecommons.org/licenses/by/4.0/).
Share and Cite
Górka, J.; Jamrozik, W. Enhancement of Imperfection Detection Capabilities in TIG Welding of the Infrared Monitoring System. Metals 2021, 11, 1624. https://doi.org/10.3390/met11101624
Górka J, Jamrozik W. Enhancement of Imperfection Detection Capabilities in TIG Welding of the Infrared Monitoring System. Metals. 2021; 11(10):1624. https://doi.org/10.3390/met11101624
Chicago/Turabian StyleGórka, Jacek, and Wojciech Jamrozik. 2021. "Enhancement of Imperfection Detection Capabilities in TIG Welding of the Infrared Monitoring System" Metals 11, no. 10: 1624. https://doi.org/10.3390/met11101624
APA StyleGórka, J., & Jamrozik, W. (2021). Enhancement of Imperfection Detection Capabilities in TIG Welding of the Infrared Monitoring System. Metals, 11(10), 1624. https://doi.org/10.3390/met11101624

