Next Article in Journal
Assessment of Dislocation Density by Various Techniques in Cold Rolled 1050 Aluminum Alloy
Next Article in Special Issue
Study on SPF/DB Technology for Two-Sheet Hollow Structure of 1420 Al-Li Alloy
Previous Article in Journal
Mesoscopic Computational Fluid Dynamics Modelling for the Laser-Melting Deposition of AISI 304 Stainless Steel Single Tracks with Experimental Correlation: A Novel Study
Previous Article in Special Issue
Dynamic Mechanical Properties of Ti–Al3Ti–Al Laminated Composites: Experimental and Numerical Investigation
 
 
Font Type:
Arial Georgia Verdana
Font Size:
Aa Aa Aa
Line Spacing:
Column Width:
Background:
Article

Strain Amplitude Dependence of High Damping Grp/Mg97Zn1Y2 Composites Ranging from Anelastic to Microplastic

School of Materials Science and Engineering, East China Jiaotong University, Nanchang 330013, China
*
Author to whom correspondence should be addressed.
Metals 2021, 11(10), 1570; https://doi.org/10.3390/met11101570
Submission received: 30 August 2021 / Revised: 13 September 2021 / Accepted: 24 September 2021 / Published: 30 September 2021

Abstract

In this paper, the damping capacities and damping mechanisms of high damping, graphite-reinforced Mg97Zn1Y2 composites were investigated. Composites consisting of different graphite particle sizes (24, 11, and 3 μm) were designed and prepared using the casting method. The microstructure of the composites was examined using optical microscopy (OM) and transmission electron microscopy (TEM), which confirmed that the graphite particles were successfully planted into the Mg97Zn1Y2 matrix. Measurements made with a dynamic mechanical analyzer (DMA) showed that the Grp/Mg97Zn1Y2 composite has a high damping capacity. At the anelastic strain amplitude stage, the damping properties of the Grp/Mg97Zn1Y2 composites were found to be higher than those of the Mg97Zn1Y2 alloy. Furthermore, decreasing the graphite particle size was found to improve the damping properties of the Grp/Mg97Zn1Y2 composites. At the microplastic strain amplitude stage, the damping properties of the Mg97Zn1Y2 alloy were found to be higher than those of the Grp/Mg97Zn1Y2 composites. Moreover, the damping properties of the Grp/Mg97Zn1Y2 composites were found to decrease with increasing graphite particle size. The reason for the increased damping of the Grp/Mg97Zn1Y2 composites during the anelastic strain amplitude stage can be attributed to the increase in the number of damping sources and weak interactions among the dislocation damping mechanisms. At the microplastic strain amplitude stage, the damping properties of the composite are mainly affected by the activation volume of the slipped dislocation.

1. Introduction

Magnesium-based materials are lightweight, have high specific strength and excellent damping properties, and are recyclable, making them suitable for use in the automobile, aerospace, and other industries [1]. In many engineering applications, it is essential to be able to reduce the vibrations of mechanical components, and this is possible both by modifying the geometry of the component and by making it with a high damping material [2]. Pure magnesium has excellent damping properties, but due to its poor strength, it cannot be used as a structural material; alloying is often used to improve its mechanical properties, but its damping capacity often decreases due to the conflict between the alloy strengthening mechanism and the dislocation damping mechanism in magnesium alloys [3,4]. Actually, in practical applications, different component parts are used to make composite materials to form the interface of different layers, which can reduce the vibration caused by internal friction [5]. Therefore, when using high damping magnesium alloys as a matrix, selecting appropriate reinforcements can improve the strength of the material while ensuring the damping of the composite. Compared with magnesium alloys, the addition of reinforcing phases will refine the grains, producing more grain boundaries and interfaces impacting magnesium matrix composite damping properties [6,7,8,9]. Graphite particles have a low thermal expansion coefficient, are friction- and wear-resistant [10], and have high intrinsic damping capacity [11], making them an excellent reinforcement for high damping composites.
The effect of graphite particles on magnesium damping properties has been a recent topic of interest for researchers [12,13,14]. Researchers are finding that graphite particles significantly improve the damping capacity of magnesium composites in a concentration-dependent manner. However, graphite particle size has largely not been considered. Madeir et al. [15] and Wang et al. [16] published work showing that strain amplitude is directly correlated to the damping capacity of materials. Because particle size affects strain amplitude, the particle size of magnesium reinforcements affects the mechanical properties of the matrix composites.
Generally, current damping research in Mg alloys is predominantly rationalized under the dislocation damping theory established by Granato and Lücke [17,18]. According to dislocation damping theory, the damping capacity of a material, including Mg alloys, usually increases with increasing strain amplitude within a specific amplitude range [19,20,21]. Thus, a curve of damping versus strain amplitude can be obtained. The damping material will provide support during vibration conditions. Hence, it is vital to know the strain amplitude-dependent damping properties of materials [22]. Moreover, it is well-accepted that the strain amplitude-dependent damping method is one of the most effective means of investigating the properties and defects of alloys [23].
Hence, in the present study, the Mg97Zn1Y2 magnesium alloy was selected as the matrix; this alloy has good mechanical properties and damping capacities due to the special long-period stacking ordered structure (LPSO structure), which has always been a popular material [24,25,26]. The magnesium matrix composites reinforced by graphite particles were prepared by stir casting, the damping capacities were tested. In this work, the strain amplitude-dependent damping properties of a Grp/Mg97Zn1Y2 composite in the anelastic and microplastic stages and the influence of graphite particle size on the damping properties of an as-cast Grp/Mg97Zn1Y2 composite are studied and the damping mechanism of the Grp/Mg97Zn1Y2 composite is discussed.

2. Experimental

2.1. Preparation of the Samples

This study used pure Mg (99.95 wt.% purity), pure Zn (99.9 wt.% purity), and Mg-Y master alloys (25 wt.% content of Y). The Mg97Zn1Y2 alloy was selected as the matrix, and graphite particles with sizes of 24, 11, and 3 μm were employed as the reinforcement, at volume fractions of 2 vol%. The composites were fabricated by a conventional stir casting method. In brief, the stirring speed was set to 800 r/min for 3 min under a protective atmosphere of 0.5% SF6 + CO2. Next, the melt was poured into a steel mold for air cooling.

2.2. Material Characterization

The samples were polished, cleaned, and immersed in 3% nitric acid/alcohol for 5–8 s. The microstructure was observed using an optical microscope (OM, COOLPIX-4500, Carl Zeiss (Shanghai) Management Co., Ltd, Shanghai, China). The interface morphology of the as-cast Grp/ Mg97Zn1Y2 composites was observed on a transmission electron microscope (TEM, Zeiss Libra, Berlin, Germany). For damping capacity measurements of 50 mm × 5 mm × 1 mm, the rectangular bending beam specimens were cut on an electric spark cutter. The damping capacity was measured by a dynamic mechanical analyzer (DMA Q800, Chicago, IL, USA) with a single cantilever vibration mode, and the vibration frequency was 1 Hz. The test pieces for the damping measurements were installed in the DMA clamping heads. The resulting sinusoidal force and deflection data were recorded, and the damping capacities of the material were evaluated by the loss tangent (tan δ), which is calculated from:
Q 1 = tan   δ = E E
where E is loss modulus and E is storage modulus. The strain amplitude-dependent damping was tested at strain amplitudes from 1 × 10−4 to 4 × 10−3 at room temperature.

3. Results and Discussion

3.1. Microstructure of the Grp/Mg97Zn1Y2 Composites

The microstructure of the Grp/Mg97Zn1Y2 composites with different sizes of graphite particles is presented in Figure 1. The results show that the graphite particles were successfully integrated into the Mg97Zn1Y2 matrix, but some graphite particles still agglomerated at grain boundaries during the stirring process. The smaller graphite particle sizes showed better distribution than larger ones.
Figure 2 shows the TEM image of the 3 μm Grp/Mg97Zn1Y2 composite and its corresponding elemental composition map. The map shows that the carbon content in the area denoted by the arrow in the TEM image is higher than in the surrounding areas. Because the chemical properties of the magnesium alloy are relatively stable, the graphite particles with a high degree of graphitization do not easily react with molten magnesium. It can be seen from the figure that the interface between the graphite particles and the matrix is relatively clear.

3.2. Different Intervals in the Strain Amplitude Damping Curve

The strain amplitude-dependent damping curve was divided into four parts according to Puškár [27], to analyze the stain amplitude damping dependence (Figure 3). In stage I (ε < εcr1), the damping is unrelated to the strain amplitude, the dislocation reciprocates between the weak pinners, and the resultant damping is Q 0 1 . In stage II (εcr1 < ε < εcr2), the dislocation line departs from the weak pinners and reciprocates between the strong pinners. The damping in stage II is weakly related to the strain amplitude, and the resultant damping is Q 0 1 . In stage Ⅲ (εcr2 < ε < εcr3), the dislocation line breaks away from the strong pinners, and the dislocation begins to proliferate irreversibly. Residual strain is generated as the dislocation structure changes, and the material endures microplastic deformation. In stage III, the material damping is closely related to the strain amplitude, and the resulting damping value is Q p 1 . In stage IV (εcr3 < ε), dislocations slip on the same crystal plane because they break away from the pinners, and the resultant damping value is Q t 1 .

3.3. Strain Amplitude-Dependent Damping in Anelastic Range

According to Granato and Lücke’s (G-L) theory [17,18], dislocations are pinned by strong pinners (dislocation nodes, secondary phases, and grain boundaries) and weak pinners (impurity atoms, vacancies, and disorders). Therefore, at low strain amplitudes, the dislocations reciprocate between the weak pinners, and the damping is independent of or weakly dependent on the strain amplitude. The strain-independent dislocation damping capacity of the composite ( Q 0 1 ) can be expressed as follows:
Q 0 1 = ρ B L c 4 ω 36 G b 2
where ρ is the density of a removable dislocation, B is the damping constant,   L c is the average distance between successive weak pinners (impurity atoms, vacancies, and disorders), ω is the angular frequency, b is the Burgers vector, and G is the shear modulus.
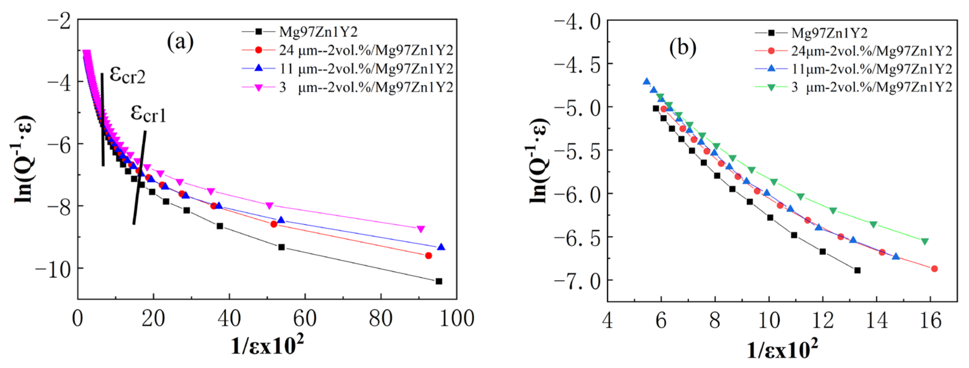
Figure 4 shows the strain amplitude vs. damping curves of the Grp/Mg97Zn1Y2 composite. During the strain amplitude-independent stage, the damping properties of the Grp/Mg97Zn1Y2 composites are higher than those of the Mg97Zn1Y2 alloy. As the size of graphite particles decreases, the damping properties of the Grp/Mg97Zn1Y2 composites improve. There are two reasons for this: First, the graphite particles have different intrinsic damping from the matrix, and the addition of graphite particles significantly improves the damping capacity of the composite material. Second, the different coefficients of thermal expansion between the matrix and the graphite particles result in higher residual stress around the graphite particles, causing high-density dislocations in the matrix around the graphite particles [28]. In other words, the smaller the graphite particles, the greater the dislocation density generated. Equation (2) shows that the strain amplitude-independent damping is positively correlated with the dislocation density. Therefore, when the graphite particle size was 3 μm, the composite had the best damping properties
The curve in Figure 4b is not a horizontal line and is different from stage I in Figure 3, making the damping strain amplitude of Grp /Mg97Zn1Y2 irrelevant. Theoretically, if the phase interface and crystal interface do not affect the dislocation damping of the material, then the “stage I” situation in Figure 3 will appear. However, the phase interface and the crystal interface are still weakly correlated with the damping strain amplitude. This result shows that there are some other damping mechanisms superimposed in addition to anelastic dislocation damping, such as grain boundary damping and secondary phase boundary damping. Under the superposition of multiple damping mechanism effects, Grp /Mg97Zn1Y2 exhibits the existing forms of damping at low strain amplitude.
When the strain amplitude is greater than the first critical strain amplitude value εcr1, the dislocations break away from the weak pinners and slip between the strong pinners, and the damping capacity of the material increases with increasing strain amplitude [17,18]. The strain-related partial damping capacity ( Q h 1 ) can be expressed as follows:
Q h 1 = C 1 ε exp C 2 ε
C 1 = ρ F B L N 3 6 b E L C 2 ; C 2 = F B b E L C
ln ( Q h 1 ε ) = ln C 1 C 2 / ε
where ρ is the density of a removable dislocation; L N and L c are the average distances between successive strong pinners and successive weak pinners, respectively; F B is binding force between the weak pinners and the dislocations; b is the Burgers vector; ε is the strain amplitude value; and E is the elastic modulus.
Figure 5a displays the G-L curve of the Grp/Mg97Zn1Y2 composite; the entire strain amplitude of the tested material was fitted to obtain εcr2. Figure 5b shows the fitted G-L curve of the Grp/Mg97Zn1Y2 composite when the strain amplitude is εcr1 < ε < εcr2. Figure 5b shows that the curve of the Mg97Zn1Y2 matrix material in this interval can be approximately fitted into a straight-line segment. Therefore, the damping mechanism of the Mg97Zn1Y2 matrix can be explained by the G-L model. However, the G-L plots of the composite deviate from the straight line, indicating that there are other damping mechanisms in the composite. Under the combined action of multiple damping mechanisms, such as dislocation damping, grain boundary damping, and interface damping, the damping properties of the composite were higher than those of the matrix material.
The overall damping capacity of the metal matrix composite is directly related to the damping capacity of each constituent. Due to the formation of the LPSO phase and the addition of graphite particles in the matrix, the huge difference in thermal expansion coefficient between the magnesium matrix and the secondary phase produces great thermal mismatch stress. Therefore, there is an increase in the number of dislocations at the interface [28]. Thus, the damping properties of the Grp/Mg97Zn1Y2 composite are higher than those of the Mg97Zn1Y2 alloy. Similarly, the addition of graphite particles in the matrix creates more damping interfaces, including LPSO/Mg, LPSO/Grp, and Grp/Mg, increasing its damping properties [29]. Additionally, the smaller the graphite particle size, the greater the number of interfaces. Furthermore, when preparing Grp/Mg97Zn1Y2 composites, graphite particles refine the metallic grains, increasing the number of grain boundaries and improving the grain boundary damping properties. The larger graphite particles yielded higher grain boundary damping capacities in the composites than the smaller ones because the smaller graphite particles gave the composite resistance to grain boundary sliding [30]. When the graphite particle size was 3 μm, the various damping mechanisms of composite materials had an excellent synergistic effect, and the 3 μm Grp/Mg97Zn1Y2 has the best damping properties.

3.4. Strain Amplitude-Dependent Damping in Microplastic Range

The damping related to the microplastic range in magnesium alloy is a dislocation mechanism due to the movement of the dislocations. At the initial stage of microplastic deformation-related damping, the strain amplitude is εcr2 < ε < εcr3, and the dislocations are unpinned from the strong pinners and the slip dislocations on the base surface [27]. The dislocation mobility is greater during the first stage compared to the second stage of microplastic deformation-related damping. When the strain amplitude is greater than εcr3, the dislocation lines slip on the base surface, gradually becoming entangled. Peguin et al. [31] first proposed a model to explain the damping phenomenon related to microplastic deformation and the various factors affecting the damping value at this stage. The microplastic-related damping can be expressed as follows:
Q p 1 = A π ε h exp ( B ε B ε p )
A = 2 ρ b v π f exp ( Q K T )
B = α V G K T
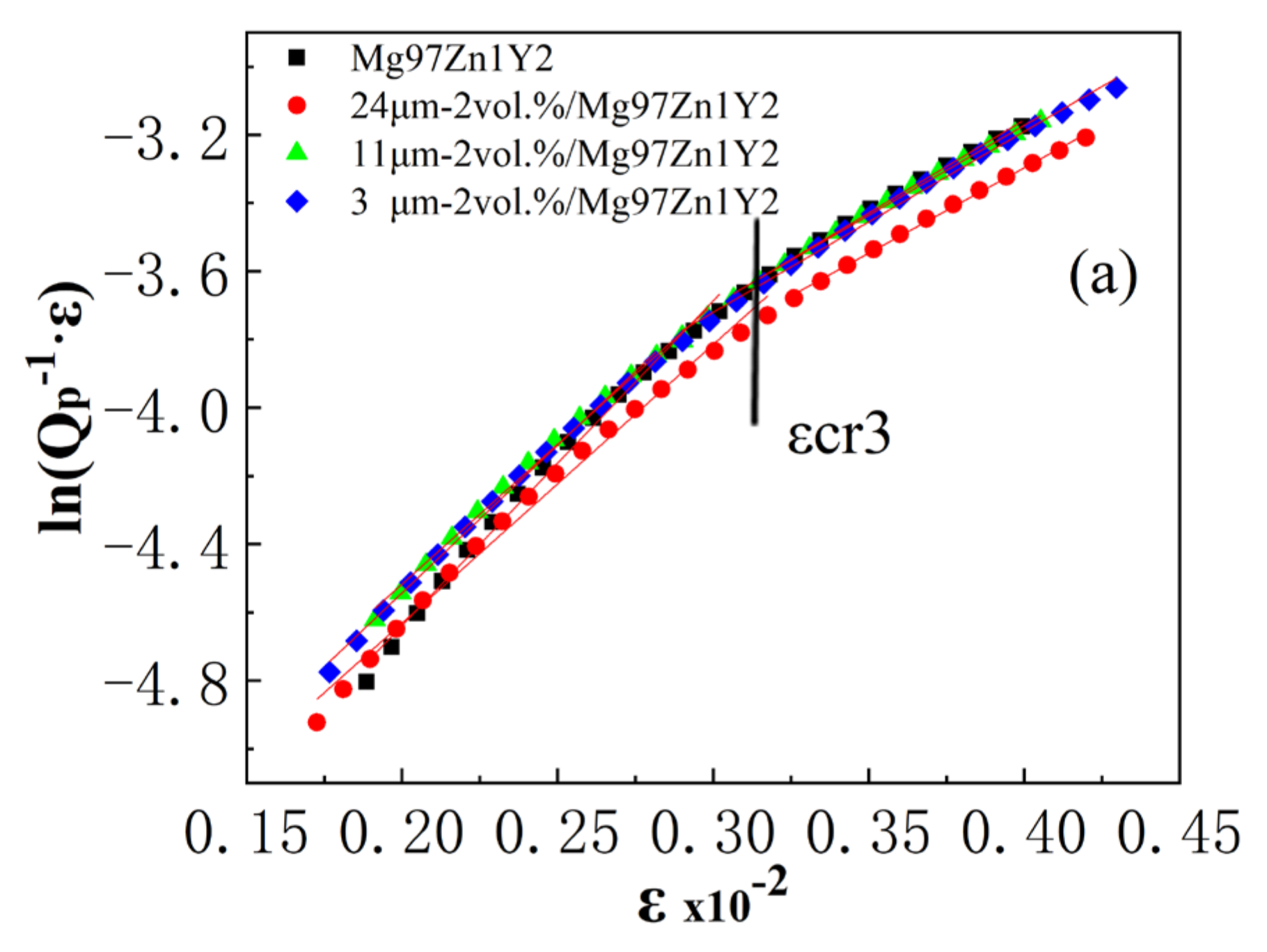
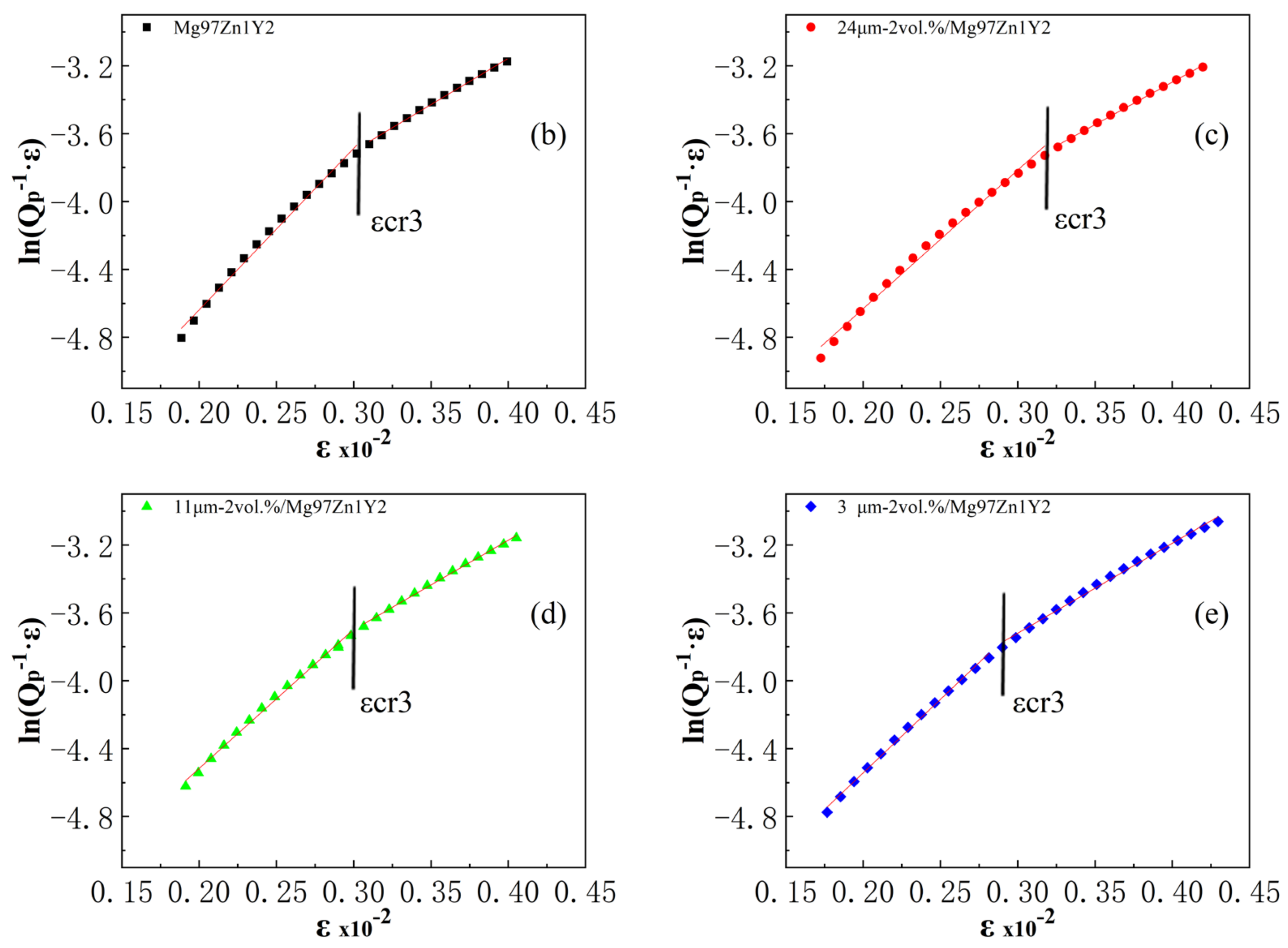
where h is a constant, ε p is the strain amplitude at the beginning of the microplastic deformation damping stage, ρ is the dislocation density, v is the intrinsic frequency of the dislocation, f is the test frequency, Q is the activation energy, α is the orientation factor, G is the elastic shear modulus, and V is the dislocation activation volume. According to Equation (6), Equation (9) can be obtained:
ln Q p 1 ε = B ε + C
Fitting the ln Q p 1 ε and ε curves gives a slope, B , used to calculate the slip dislocation activation volume change.
The material is in the microplastic deformation stage when the strain amplitude is greater than εcr2. In this stage, the dislocations are unpinned from the strong pinners, the G-L curve is no longer a straight line, and the damping curve of the composite above εcr2 is fitted, as shown in Figure 6. Figure 6 shows that the damping value of the matrix material is higher than the composite during the microplastic deformation stage. Table 1 lists the εcr3 value and B value of the composite. The composite’s value of B is smaller than that of the matrix material, and the B value decreases with the increase in the particle size. Equation (8) shows that B is directly proportional to the slip dislocation’s activation volume. Therefore, the larger the particle size, the smaller the slip dislocation’s activation volume in the material and the smaller the damping properties. The activation volume of the composite when the strain amplitude is higher than εcr3 is smaller than the activation volume when the critical strain amplitude is lower than εcr3. This phenomenon occurs because dislocations accumulate and entangle under high strain amplitude, decreasing the activation volume.

4. Conclusions

(1)
Composites consisting of different graphite particle sizes (24, 11, and 3 μm) were designed and prepared using the casting method. The graphite particles were successfully added into the Mg97Zn1Y2 matrix. Graphite particles do not easily react with molten magnesium.
(2)
The Grp/Mg97Zn1Y2 composite has the characteristics of high damping capacity. At the anelastic stage, the damping properties of the Grp/Mg97Zn1Y2 composites were found to be higher than those of the Mg97Zn1Y2 alloy. Furthermore, decreasing the graphite particle size was found to improve the damping properties of the Grp/Mg97Zn1Y2 composites. At the microplastic deformation stage, the damping properties of the Mg97Zn1Y2 alloy were found to be higher than those of the Grp/Mg97Zn1Y2 composites. Moreover, the damping properties of the Grp/Mg97Zn1Y2 composites were found to decrease with increasing graphite particle size.
(3)
The reason for the increased damping of the Grp/Mg97Zn1Y2 composites during the anelastic strain amplitude stage can be attributed to the increase in the number of damping sources and weak interactions among the dislocation damping mechanisms. At the microplastic strain amplitude stage, the damping properties of the composite are mainly affected by the activation volume of the slipped dislocation.

Author Contributions

Conceptualization, Y.X.; formal analysis, S.D.; funding acquisition, D.W.; investigation, Y.X.; data curation, Y.H.; methodology, J.H., S.D. and Y.H.; project administration, D.W., Y.H. and S.D.; software, Y.H.; supervision, G.H.; visualization, G.H.; writing-original draft preparation, S.D.; writing-review and editing, D.W. All authors have read and agreed to the published version of the manuscript.

Funding

This research was funded by the National Natural Science Foundation of China (51665012), the Jiangxi Province Science Foundation for Outstanding Scholarship (20171BCB23061, 2018ACB21020), and the Primary Research & Development Plan of Jiang Xi Province (2019BBEL50019).

Institutional Review Board Statement

Not applicable.

Informed Consent Statement

Not applicable.

Data Availability Statement

The data are provided within the article.

Acknowledgments

The authors would like to acknowledge the financial support of the National Natural Science Foundation of China (51665012), the Jiangxi Province Science Foundation for Outstanding Scholarship (20171BCB23061, 2018ACB21020), and the Primary Re-search & Development Plan of Jiang Xi Province (2019BBEL50019).

Conflicts of Interest

The authors declare no conflict of interest.

References

  1. Song, J.; She, J.; Chen, D.; Pan, F. Latest research advances on magnesium and magnesium alloys worldwide. J. Magnes. Alloy. 2020, 8, 1–41. [Google Scholar] [CrossRef]
  2. Catania, G.; Strozzi, M. Damping Oriented Design of Thin-Walled Mechanical Components by Means of Multi-Layer Coating Technology. Coatings 2018, 8, 73. [Google Scholar] [CrossRef]
  3. Su, J.-L.; Teng, J.; Xu, Z.-L.; Li, Y. Biodegradable magnesium-matrix composites: A review. Int. J. Miner. Met. Mater. 2020, 27, 724–744. [Google Scholar] [CrossRef]
  4. Cui, Y.; Li, Y.; Sun, S.; Bian, H.; Huang, H.; Wang, Z.; Koizumi, Y.; Chiba, A. Enhanced damping capacity of magnesium alloys by tensile twin boundaries. Scr. Mater. 2015, 101, 8–11. [Google Scholar] [CrossRef]
  5. Yu, L.; Ma, Y.; Zhou, C.; Xu, H. Damping efficiency of the coating structure. Int. J. Solids Struct. 2005, 42, 3045–3058. [Google Scholar] [CrossRef]
  6. Yu, W.; Li, X.; Vallet, M.; Tian, L. High temperature damping behavior and dynamic Young’s modulus of magnesium matrix composite reinforced by Ti2AlC MAX phase particles. Mech. Mater. 2019, 129, 246–253. [Google Scholar] [CrossRef]
  7. Wu, Y.; Wu, K.; Deng, K.-K.; Nie, K.B.; Wang, X.; Hu, X.; Zheng, M. Damping capacities and tensile properties of magnesium matrix composites reinforced by graphite particles. Mater. Sci. Eng. A 2010, 527, 6816–6821. [Google Scholar] [CrossRef]
  8. Liu, E.-Y.; Yu, S.-R.; Yuan, M.; Li, F.-G.; Zhao, Y.; Xiong, W. Effects of Semi-solid Isothermal Heat Treatment on Microstructures and Damping Capacities of Fly Ash Cenosphere/AZ91D Composites. Acta Met. Sin. (Engl. Lett.) 2018, 31, 953–962. [Google Scholar] [CrossRef]
  9. Chen, J.; Zhang, Q.; Li, Q. Microstructure and Mechanical Properties of AZ61 Magnesium Alloys with the Y and Ca Combined Addition. Int. J. Metalcast. 2018, 12, 897–905. [Google Scholar] [CrossRef]
  10. Kar, C.; Trishul, M. Experimentation and optimisation of wear parameters of glass fibre-graphite reinforced composite. Mater. Today Proc. 2020, 27, 1431–1434. [Google Scholar] [CrossRef]
  11. Luo, X.; Chung, D. Vibration damping using flexible graphite. Carbon 2000, 38, 1510–1512. [Google Scholar] [CrossRef]
  12. Hu, Y.; Deng, J.; Pan, F.; Zhang, D.; Chen, Y.; Wang, J. Study on damping capacity of graphite particle—reinforced AZ31 magnesium matrix composites. J. Compos. Mater. 2011, 45, 557–564. [Google Scholar] [CrossRef]
  13. Wu, Y.; Wu, K.; Deng, K.-K.; Nie, K.B.; Wang, X.; Zheng, M.; Hu, X. Damping capacities and microstructures of magnesium matrix composites reinforced by graphite particles. Mater. Des. 2010, 31, 4862–4865. [Google Scholar] [CrossRef]
  14. Wu, Y.; Wu, K.; Nie, K.; Deng, K.-K.; Hu, X.; Wang, X.; Zheng, M. Damping capacities and tensile properties in Grp/AZ91 and SiCp/Grp/AZ91 magnesium matrix composites. Mater. Sci. Eng. A 2010, 527, 7873–7877. [Google Scholar] [CrossRef]
  15. Madeira, S.; Carvalho, O.; Carneiro, V.; Soares, D.; Silva, F.; Miranda, G. Damping capacity and dynamic modulus of hot pressed AlSi composites reinforced with different SiC particle sized. Compos. Part B Eng. 2016, 90, 399–405. [Google Scholar] [CrossRef]
  16. Wang, C.-J.; Deng, K.-K.; Liang, W. High temperature damping behavior controlled by submicron SiCp in bimodal size particle reinforced magnesium matrix composite. Mater. Sci. Eng. A 2016, 668, 55–58. [Google Scholar] [CrossRef]
  17. Granato, A.V.; Lucke, K. Theory of Mechanical Damping Due to Dislocations. J. Appl. Phys. 1956, 27, 583–593. [Google Scholar] [CrossRef]
  18. Granato, A.V.; Lucke, K. Application of Dislocation Theory to Internal Friction Phenomena at High Frequencies. J. Appl. Phys. 1956, 27, 789–805. [Google Scholar] [CrossRef]
  19. Wang, J.; Lu, R.; Qin, D.; Yang, W.; Wu, Z. Effect of arc-bending deformation on amplitude-dependent damping in pure magnesium. Mater. Sci. Eng. A 2014, 615, 296–301. [Google Scholar] [CrossRef]
  20. Yu, L.; Yan, H.; Chen, J.; Xia, W.; Su, B.; Song, M. Effects of solid solution elements on damping capacities of binary magnesium alloys. Mater. Sci. Eng. A 2020, 772, 138707. [Google Scholar] [CrossRef]
  21. Wan, D.; Hu, J.; Hu, Y.; Wang, H. Anelastic and Microplastic Damping of an Mg–Zn–Y–Al Alloy. Met. Mater. Int. 2019, 26, 69–74. [Google Scholar] [CrossRef]
  22. Xie, Z.-K.; Tane, M.; Hyun, S.-K.; Okuda, Y.; Nakajima, H. Vibration–damping capacity of lotus-type porous magnesium. Mater. Sci. Eng. A 2006, 417, 129–133. [Google Scholar] [CrossRef]
  23. Kustov, S.; Golyandin, S.; Sapozhnikov, K.; Robinson, W. Amplitude-dependent internal friction, microplastic strain and recovery of lead at ambient temperature. Mater. Sci. Eng. A 1997, 237, 191–199. [Google Scholar] [CrossRef]
  24. Lü, S.; Wu, S.; Yang, X.; Hao, L.; Guo, W.; Fang, X. Microstructure and mechanical properties of Mg 97 Zn 1 Y 2 alloy reinforced with LPSO structure produced by semisolid squeeze casting. Mater. Sci. Eng. A 2018, 732, 359–367. [Google Scholar] [CrossRef]
  25. Suzawa, K.; Inoue, S.-I.; Nishimoto, S.; Fuchigami, S.; Yamasaki, M.; Kawamura, Y.; Yoshida, K.; Kawabe, N. High-strain-rate superplasticity and tensile behavior of fine-grained Mg97Zn1Y2 alloys fabricated by chip/ribbon-consolidation. Mater. Sci. Eng. A 2019, 764, 138–179. [Google Scholar] [CrossRef]
  26. Fu, H.; Liu, N.; Zhang, Z.; Peng, Q. Effect of super-high pressure on microstructure and mechanical properties of Mg97Zn1Y2 alloys. J. Magnes. Alloy. 2016, 4, 302–305. [Google Scholar] [CrossRef][Green Version]
  27. Puškár, A. Internal Friction of Materials; Cambridge International Science Publishing: Cambrigde, UK, 2001; pp. 234–324, ISBN-13/EAN: 9781898326502. [Google Scholar]
  28. Diqing, W.; Houbin, W.; Jiajun, H.; Yinglin, H.; Linsen, W.; Kangjin, F. Effect of the Secondary Phase on Mechanical and Damping Properties of Mg–Zn–Y–Si Alloy. Met. Mater. Int. 2021, 27, 838–842. [Google Scholar] [CrossRef]
  29. Garces, G.; Oñorbe, E.; Dobeš, F.; Pérez, P.; Antoranz, J.M.; Adeva, P. Effect of microstructure on creep behaviour of cast Mg97Y2Zn1 (at.%) alloy. Mater. Sci. Eng. A 2012, 539, 48–55. [Google Scholar] [CrossRef]
  30. Zhang, J.; Perez, R.J.; Wong, C.R.; Lavernia, E.J. Effects of secondary phases on the damping behaviour of metals, alloys and metal matrix composites. Mater. Sci. Eng. R Rep. 1994, 13, 325–389. [Google Scholar] [CrossRef]
  31. Peguin, P.; Perez, J.; Gobin, P. Amplitude-dependent part of the internal friction of aluminum. Aime Met. Soc. Trans. 1967, 239, 438–450. [Google Scholar]
Figure 1. The microstructure of as-cast Grp/Mg97Zn1Y2 under optical microscope: (a) as-cast Mg97Zn1Y2; (b) 24 μm graphite particle; (c) 11 μm graphite particle; (d) 3 μm graphite particle.
Figure 1. The microstructure of as-cast Grp/Mg97Zn1Y2 under optical microscope: (a) as-cast Mg97Zn1Y2; (b) 24 μm graphite particle; (c) 11 μm graphite particle; (d) 3 μm graphite particle.
Metals 11 01570 g001
Figure 2. TEM of 3 μm Grp /Mg97Zn1Y2 composite and corresponding elemental composition map.
Figure 2. TEM of 3 μm Grp /Mg97Zn1Y2 composite and corresponding elemental composition map.
Metals 11 01570 g002
Figure 3. The relationship of damping and strain amplitude.
Figure 3. The relationship of damping and strain amplitude.
Metals 11 01570 g003
Figure 4. Strain amplitude damping curve of graphite particle/Mg97Zn1Y2 composites: (a) the entire strain amplitude range; (b) ε < εcr1.
Figure 4. Strain amplitude damping curve of graphite particle/Mg97Zn1Y2 composites: (a) the entire strain amplitude range; (b) ε < εcr1.
Metals 11 01570 g004
Figure 5. Grp/Mg97Zn1Y2 composite G-L curve: (a) the entire strain amplitude range; (b) εcr1 < ε < εcr2.
Figure 5. Grp/Mg97Zn1Y2 composite G-L curve: (a) the entire strain amplitude range; (b) εcr1 < ε < εcr2.
Metals 11 01570 g005
Figure 6. Grp/Mg97Zn1Y2 composite material microplasticity curve: (a) all materials; (b) as-cast Mg97Zn1Y2; (c) 24 μm 2 vol.%/Mg97Zn1Y2; (d) 11 μm 2 vol.%/Mg97Zn1Y2; (e) 3 μm 2 vol.%/Mg97Zn1Y2.
Figure 6. Grp/Mg97Zn1Y2 composite material microplasticity curve: (a) all materials; (b) as-cast Mg97Zn1Y2; (c) 24 μm 2 vol.%/Mg97Zn1Y2; (d) 11 μm 2 vol.%/Mg97Zn1Y2; (e) 3 μm 2 vol.%/Mg97Zn1Y2.
Metals 11 01570 g006aMetals 11 01570 g006b
Table 1. Critical strain and B value of Grp/Mg97Zn1Y2 composite.
Table 1. Critical strain and B value of Grp/Mg97Zn1Y2 composite.
Various ValuesB1 102B2 102 ε c r 3   10 2
Material Type
Mg97Zn1Y29.51275.44820.3020
24 μm 2 vol.%/Mg97Zn1Y28.16245.00660.3175
11 μm 2 vol.%/Mg97Zn1Y28.19955.27480.2982
3 μm 2 vol.%/Mg97Zn1Y28.65675.30000.2901
Publisher’s Note: MDPI stays neutral with regard to jurisdictional claims in published maps and institutional affiliations.

Share and Cite

MDPI and ACS Style

Wan, D.; Dong, S.; Hu, Y.; Hu, J.; Xue, Y.; Han, G. Strain Amplitude Dependence of High Damping Grp/Mg97Zn1Y2 Composites Ranging from Anelastic to Microplastic. Metals 2021, 11, 1570. https://doi.org/10.3390/met11101570

AMA Style

Wan D, Dong S, Hu Y, Hu J, Xue Y, Han G. Strain Amplitude Dependence of High Damping Grp/Mg97Zn1Y2 Composites Ranging from Anelastic to Microplastic. Metals. 2021; 11(10):1570. https://doi.org/10.3390/met11101570

Chicago/Turabian Style

Wan, Diqing, Shaoyun Dong, Yinglin Hu, Jiajun Hu, Yandan Xue, and Guoliang Han. 2021. "Strain Amplitude Dependence of High Damping Grp/Mg97Zn1Y2 Composites Ranging from Anelastic to Microplastic" Metals 11, no. 10: 1570. https://doi.org/10.3390/met11101570

APA Style

Wan, D., Dong, S., Hu, Y., Hu, J., Xue, Y., & Han, G. (2021). Strain Amplitude Dependence of High Damping Grp/Mg97Zn1Y2 Composites Ranging from Anelastic to Microplastic. Metals, 11(10), 1570. https://doi.org/10.3390/met11101570

Note that from the first issue of 2016, this journal uses article numbers instead of page numbers. See further details here.

Article Metrics

Back to TopTop